Sangat Membantu

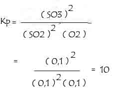
Rumus Kp


Kc Dan Kp Ekimia Web Id
ekimia.web.id

Pengertian Setimbang Tetapan Kc Dan Kp Youtube
www.youtube.com

Konstanta Kesetimbangan Rumus Soal Dan Jawaban Pinterpandai
www.pinterpandai.com

Equilibrium The Extent Of Chemical Reactions Ppt Download
slideplayer.info

Project On Business Model Of Google V4lo7okzdjqx
doku.pub

Hukum Termodinamika 1 Dan 2 Penjelasan Rumus Dan Contoh Pembahasan Soal Lengkap Pelajaran Sekolah Online
www.pelajaran.co.id

Rangkuman Materi 44 Contoh Soal Reaksi Kesetimbangan Dan Pembahasannya
tanya-tanya.com

Diketahui Reaksi Kesetimbangan Co G 2h2 G Ch3oh G A Rumus Kp B Hubungan Kp Dengan Kc Brainly Co Id
brainly.co.id

Hubungan Kuantitatif Antara Pereaksi Dan Hasil Reaksi Tetapan Kesetimbangan Berdasarkan Konsentrasi Kc Parsial Derajat Disosiasi Contoh Soal Rumus Kimia
www.nafiun.com

Sebanyak 6 Mol Gas Pcl Terurai Dalam Wadah Tertutup Sehingga Tercapai Reaksi Kesetimbangan Sebagai Brainly Co Id
brainly.co.id

Pada Suhu 25 Derajat Celcius Dan Tekanan Total 0 30 Atm Tekanan Parsial N2o4 Adalah 0 15 Maka Brainly Co Id
brainly.co.id

Uas Kimfis Pdf Document
vdokumen.com

Kesetimbangan Kimia Yeni Purwati
www.slideshare.net

Rangkuman Materi 44 Contoh Soal Reaksi Kesetimbangan Dan Pembahasannya
tanya-tanya.com

Tutorial Menjawab Soal Tentang Menghitung Konstanta Kesetimbangan Kc Dan Kp Your Chemistry A
www.avkimia.com

Hukum Hooke Pengertian Aplikasi Bunyi Rumus Contoh Soal
www.gurupendidikan.co.id

Desain Kendali Pid Dengan Metoda Ziegler Nichols Dan Cohen Coon Mengg
www.slideshare.net

Kesetimbangan Kimia Kesetimbangan Dinamik Dalam Sistem Kimia Ppt Download
slideplayer.info

Kesetimbangan Kimia Pengertian Rumus Kp Kc Faktor Contoh Soal
www.studiobelajar.com

Rangkuman Materi 44 Contoh Soal Reaksi Kesetimbangan Dan Pembahasannya
tanya-tanya.com

Harga Kp Pada Suhu 500 C Untuk Reaksi N2 G 3h2 G Lt Gt 2nh3 G Adalah 1 50 10 Berapa Brainly Co Id
brainly.co.id

Cara Menurunkan Rumus Hubungan Kc Dan Kp
id.scribd.com

Istilah Dalam Kesetimbangan Kimia
rumushitung.com

Rangkuman Materi 44 Contoh Soal Reaksi Kesetimbangan Dan Pembahasannya
tanya-tanya.com

Tentukan Rumus Kp Yang Berhubungan Dengan Kc Brainly Co Id
brainly.co.id

Diketahui Reaksi Kesetimbangan N G 3h G 2nh E Pada 400 K Mempunyai Nilai Kp 100 Brainly Co Id
brainly.co.id

Kesetimbangan Kimia Pengertian Rumus Soal
rumuspintar.com

Rumus Primoidal Triangle Rectangle
www.scribd.com

Termodinamika 5 A Kesetimbangan Kimia
www.slideshare.net

Kesetimbangan Kimia Sma Negeri 1 Bangkalan Ppt Download
slideplayer.info

Perhitungan Densitas Nuklida Essm366
essm366.wordpress.com

Konsep Kimia Kokim Tetapan Kesetimbangan
konsep-kimia.blogspot.com

Https Encrypted Tbn0 Gstatic Com Images Q Tbn 3aand9gcqqbagpsrg6tg8ewyrygxc9cyb2qs Iwgc8suzwforhw4izhyva Usqp Cau
encrypted-tbn0.gstatic.com

Kesetimbangan Kimia Pengertian Ciri Tetapan Perhitungan
rumusbilangan.com

Menghitung Tekanan Tanah Aktif Dan Pasif Gravity Wall
rumaheris.blogspot.com

Hubungan Antara Harga Kc Dengan Kp Tetapan Kesetimbangan Kimia Parsial Gas Contoh Soal Pembahasan
www.nafiun.com

Materi Annisa Rayhanny Jannah
sites.google.com

Equilibrium In Chemical Reaction Ppt Download
slideplayer.info

Kp Kc Rt N 3h 2nh
id.scribd.com

Kesetimbangan Kimia Pengertian Faktor Hukum Rumus Contoh
www.dosenpendidikan.co.id

Contoh Soal Dan Rumus Derajat Disosiasi Kesetimbangan Kimia Reaksi Pembahasan
www.nafiun.com

Cara Menentukan Kc Dan Kp 30 Contoh Soal Dan Pembahasanya Panduan Kimia Riset
www.panduankimia.net

Rumus
www.scribd.com

Turunan Rumus Antara Kesetimbangan Kimia Kp Dan Kc Apa Tolong Bantu Jawab Ya Brainly Co Id
brainly.co.id

Rangkuman Reaksi Kesetimbangan
dokumen.tips

Online Book Store Miskonsepsi Materi Kesetimbangan Kimia
cephy-net.blogspot.com

Hubungan Kc Dengan Kp Ardra Biz
ardra.biz

Kesetimbangan Kimia Pengertian Rumus Kp Kc Faktor Contoh Soal
www.studiobelajar.com

Contoh Perhitungan Skp Dan Nilai Capaian Skp Xlsx
www.scribd.com

Amonium Karbamat Nh4co2nh2 Mengurai Menurut Persamaan Berikut Nh4co2nh2 2nh2 G Co2 G Jika Brainly Co Id
brainly.co.id

Tetapan Kesetimbangan Berdasarkan Tekanan Persial Mindmeister Mind Map
www.mindmeister.com

Pdf Skp Kp Jumlah Phisik Paket Pekerjaan Yang Sedang Dilaksanakan Perhitungan Sisa Kemampuan Keuangan Skk Dengan Rumus Mk Fl X Kb Kk Fp X Mk Mk Modal
www.academia.edu

Rangkuman Reaksi Kesetimbangan Pdf
id.scribd.com

Kesetimbangan Reaksi Kimiaa
www.slideshare.net

Kesetimbangan Kimia Konsep Jenis Pergeseran Tetapan Dan Aplikasi
soalkimia.com

Pembahasan Soal Kesetimbangan Kc Level 1 Penting Youtube
www.youtube.com

Https Encrypted Tbn0 Gstatic Com Images Q Tbn 3aand9gcs7i0letl Vuvlyvg Brk4ayz8geiy5pnrwckckijga5 Kllses Usqp Cau
encrypted-tbn0.gstatic.com

Menentukan Rumus Konstanta Kesetimbangan Kc Youtube
www.youtube.com

Penentuan Tetapan Kesetimbangan
www.slideshare.net

Acrylamide Modified Poly Vinyl Alcohol Crystalline And Enhanced Water Solubility Rsc Advances Rsc Publishing
pubs.rsc.org

Rumus Lengkap Kimia
www.slideshare.net

Online Book Store Miskonsepsi Materi Kesetimbangan Kimia
cephy-net.blogspot.com

Cara Menentukan Kc Dan Kp 30 Contoh Soal Dan Pembahasanya Panduan Kimia Riset
www.panduankimia.net

1
encrypted-tbn0.gstatic.com

Kesetimbangan Kimia Pengertian Rumus Kp Kc Faktor Contoh Soal
www.studiobelajar.com

Rangkuman Materi 44 Contoh Soal Reaksi Kesetimbangan Dan Pembahasannya
tanya-tanya.com

Soal 11 20 Cara Mencari Kc Dan Kp Panduan Kimia Riset
www.panduankimia.net

Kesetimbangan Kimia Bab 6 Departemen Kimia Ppt Download
slideplayer.info

Kesetimbangan Kimia Pengertian Ciri Tetapan Perhitungan
rumusbilangan.com

Termodinamika 5 A Kesetimbangan Kimia
www.slideshare.net

Contoh Soal Cara Menentukan Harga Kc Dan Kp Mengenal Ilmu Sains Online
www.ilmusainsonline.com

Bab 4 Kesetimbangan Bisa Kimia
kimia2018.wordpress.com

1 8 Contoh Soal Kesetimbangan
id.scribd.com

2 Iodo 1 Octanol C8h17io Chemspider
www.chemspider.com

Reaksi Kesetimbangan Pcl5 G Pcl3 G Cl2 G Bila Harga Kc Pada Suhu 191 C Adalah 3 26 Mas Dayat
www.masdayat.net

Kesetimbangan Kimia Bab 6 Departemen Kimia Ppt Download
slideplayer.info

Jelaskan Perbedaan Antara Kesetimbangan Homogen Dan Kesetimbangan Heterogen Berikan Masing Masing Brainly Co Id
brainly.co.id

2012201595spbab2001 Page 8 Of 38
library.binus.ac.id

Contoh Soal Dan Pembahasan Kesetimbangan Kimia Pdf Document
fdokumen.com

Pembahasan Tetapan Kesetimbangan Kc Dan Kp Youtube
www.youtube.com

Tetapan Kesetimbangan Yang Dinyatakan Sebagai Kp Aka Depok
www.scribd.com

Kesetimbangan Kimia Pengertian Rumus Kp Kc Faktor Contoh Soal
www.studiobelajar.com

Cara Menghitung Tetapan Kesetimbangan Konsentrasi Kc Dan Kesetimbangan Parsial Kp Myrightspot Com
www.myrightspot.com

Chemistry Kesetimbangan Kimia
chemistryb15.blogspot.com

Rumus Lengkap Kimia
www.slideshare.net

Tutorial Menjawab Soal Tentang Menghitung Konstanta Kesetimbangan Kc Dan Kp Your Chemistry A
www.avkimia.com

Tutorial Menjawab Soal Tentang Menghitung Konstanta Kesetimbangan Kc Dan Kp Your Chemistry A
www.avkimia.com

Https Encrypted Tbn0 Gstatic Com Images Q Tbn 3aand9gctxlryh Pc B2tlqq6njkhz Kty675z81v9 Nyvlb9a Taorg4m Usqp Cau
encrypted-tbn0.gstatic.com

Kesetimbangan Kimia Chemistry Is My Life
ionkovalen.wordpress.com

Tolong Dibantu Besok Udh Dikumpul T T 1 Tuliskan Rumus Tetapan Kesetimbangan Kc Dan Kp Bila Ada Brainly Co Id
brainly.co.id

Chemistry Kesetimbangan Kimia
chemistryb15.blogspot.com

Rangkuman Materi 44 Contoh Soal Reaksi Kesetimbangan Dan Pembahasannya
tanya-tanya.com

Kesetimbangan Kimia Ppt Download
slideplayer.info

Tetapan Kesetimbangan Pada Tekanan Parsial Gas Kp Contoh Soal Pembahasan Kimia
www.nafiun.com

Cabwfyocqbf6om

Soal 21 30 Cara Mencari Kc Dan Kp Panduan Kimia Riset
www.panduankimia.net

Prediksi Rumus Hk 28 Mei 2020 Youtube
www.youtube.com

Perhitungan Densitas Nuklida Essm366
essm366.wordpress.com

Tetapan Kesetimbangan Pada Tekanan Parsial Gas Kp Contoh Soal Pembahasan Kimia
www.nafiun.com

Soal 11 20 Cara Mencari Kc Dan Kp Panduan Kimia Riset
www.panduankimia.net

Hubungan Antara Harga Kc Dengan Kp Tetapan Kesetimbangan Kimia Parsial Gas Contoh Soal Pembahasan
www.nafiun.com

Cara Mudah Mencari Kp Pada Reaksi Kesetimbangan Soal Kimia Sma Youtube
m.youtube.com

Rangkuman Materi 44 Contoh Soal Reaksi Kesetimbangan Dan Pembahasannya
tanya-tanya.com

Kesetimbangan Kimia Pengertian Hukum Rumus Contoh Soal
www.seputarpengetahuan.co.id

close