Sangat Membantu

Rumus Laju Reaksi Adalah


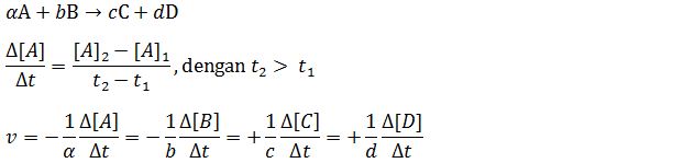
Laju Reaksi
passinggrade.co.id

Materi Laju Reaksi Laju Reaksi
sites.google.com

Faktor Faktor Yang Mempengaruhi Laju Reaksi
rumus.co.id

Pembahasan Persamaan Laju Reaksi Data Waktu Level 2 Youtube
m.youtube.com

Pengertian Kecepatan Reaksi Kimia Rumus Contoh Soal Faktor Tingkat Teori Tumbukan Energi Pengaktifan Aplikasi Pembahasan
www.nafiun.com

Rumus Persamaan Laju Reaksi Brainly Co Id
brainly.co.id

Soal Laju Reaksi
id.scribd.com

Suatu Reaksi Dengan Persamaan Reaksi A 2b Ab2 Mempunyai Rumus Laju Reaksi V A B Jika Brainly Co Id
brainly.co.id

Laju Reaksi Teori Persamaan Rumus Contoh Soal Faktor
www.gurupendidikan.co.id

Pembahasan Persamaan Laju Reaksi Level 1 Youtube
www.youtube.com

Tentukanlah A Persamaan Laju Reaksi B Harga Tetapan Laju Reaksi K Brainly Co Id
brainly.co.id

Laju Reaksi Orde Reaksi Faktor Yang Mempengaruhi Dan Katalis
soalkimia.com

Laju Reaksi Pengertian Rumus Contoh Soal
rumuspintar.com

Pelajaran Soal Rumus Konsentrasi Waktu Paruh Wardaya College
www.wardayacollege.com

Persamaan Laju Reaksi Kimia
www.slideshare.net

Faktor Yang Mempengaruhi Laju Reaksi Masyitah
masyitahkimia.wordpress.com

Pengertian Laju Reaksi Rumus Hukum Dan Faktor Pengaruhnya Ilmu Kimia
www.pakarkimia.com

Laju Reaksi
chembucket.byethost10.com

Orde Laju Reaksi Pengertian Rumus Faktor Yang Memengaruhi Dan Contoh Soalnya Lengkap Weschool Id
www.weschool.id

Apa Yang Dimaksud Dengan Laju Reaksi Dan Satuan Dari Laju Reaksi Brainly Co Id
brainly.co.id

Faktor Yang Mempengaruhi Laju Reaksi Rini Oktavia
rinioktavia19942.wordpress.com

Persamaan Laju Reaksi No Dg Br2 Tersebut Adalah Brainly Co Id
brainly.co.id

Pembahasan Perhitungan Laju Reaksi Pengaruh Suhu V T Youtube
www.youtube.com

Pengaruh Suhu Terhadap Laju Reaksi Materi Soal Dan Pembahasan Your Chemistry A
www.avkimia.com

Konsep Persamaan Laju Reaksi Kimia Pengertian Penjelasan Contoh Soal Perhitungan
ardra.biz

Contoh Soal Laju Reaksi Beserta Pembahasannya
www.kontensekolah.com

Orde Reaksi 0 1 2 Nol Satu Dua Negatif Persamaan Laju Reaksi Pengertian Grafik Rumus Contoh Soal Pembahasan Kimia
www.nafiun.com

Laju Reaksi Soal Orde Reaksi Persamaan Laju Reaksi Dan Harga K Kimia Sma Youtube
www.youtube.com

Pelajaran Soal Rumus Pendahuluan Laju Reaksi Wardaya College
www.wardayacollege.com

Soal Sbmptn Laju Reaksi Guru Ilmu Sosial
www.ilmusosial.id

Chemistry S World Bab 3 Laju Reaksi
chemistrysworld17.blogspot.com

Persamaan Laju Reaksi Dan Grafik Orde Konsep Mudah Youtube
www.youtube.com

Persamaan Laju Reaksi Istana Mengajar
istanamengajar.wordpress.com

Https Encrypted Tbn0 Gstatic Com Images Q Tbn 3aand9gcqm4o1ietgmuzzgtlr3qh20po02bwn58hyrfy06irpk6wmfnfts Usqp Cau
encrypted-tbn0.gstatic.com

Laju Reaksi Persamaan Teori Contoh Soal Hukum Dan Faktorn
www.dosenpendidikan.co.id

Laju Reaksi
passinggrade.co.id

4 Zosv6l2k Otm

Kumpulan Soal Kimia Sma Tentang Laju Reaksi Myrightspot Com
www.myrightspot.com

Rumus Laju Reaksi Final Project
tugaskimiakami.wordpress.com

Doc Pilihan Ganda Latihan Contoh Soal Laju Reaksi Lhueylhuk Mhachi Thayankchieydhiya Academia Edu
www.academia.edu

Persamaan Laju Reaksi Kimia
www.slideshare.net

Cara Menentukan Persamaan Laju Reaksi Berdasar Mekanisme Reaksi 1 Urip Dot Info
www.urip.info

Pin Di Lks Laju Reaksi
www.pinterest.com

Persamaan Laju Reaksi Kimia
www.slideshare.net

Metode Aljabar Untuk Penentuan Orde Reaksi Dua Zat Dengan Data Konsentrasi Berbeda Beda Pada Laju Reaksi Urip Dot Info
www.urip.info

Laju Reaksi Pengertian Rumus Penerapan Dan Contoh
blog.edukasystem.com

Doc Materi Kinetika Kimia Bella Arvianti Academia Edu
www.academia.edu

Persamaan Laju Reaksi Dan Orde Reaksi Your Chemistry A
www.avkimia.com

Pelajaran Soal Rumus Persamaan Laju Reaksi Wardaya College
www.wardayacollege.com

Https Encrypted Tbn0 Gstatic Com Images Q Tbn 3aand9gcrbxatwl Bn9gbbma55vcodekx9pyde7xu0z4aqnl89fxkb3iac Usqp Cau
encrypted-tbn0.gstatic.com

2

Terlengkap Rangkuman Contoh Soal Laju Reaksi Pembahasan
tanya-tanya.com

Laju Reaksi 30 Contoh Soal Dan Pembahasan Laju Reaksi Panduan Kimia Riset
www.panduankimia.net

Kelas 11 Ini Hal Hal Penting Yang Perlu Kamu Tahu Tentang Kelajuan Reaksi
www.quipper.com

Laju Reaksi Persamaan Laju Reaksi Dan Orde Reaksi Kimia
jempolkimia.com

Contoh Video 100institute
www.seratusinstitute.com

Laju Reaksi Konsep Laju Reaksi Ppt Download
slideplayer.info

Laju Reaksi Pengertian Rumus Dan Faktornya Lengkap
saintif.com

Pengertian Laju Reaksi Dan Cara Menyelesaikan Persamaan Laju Reaksi
segalaserbaserbi.blogspot.com

Laju Reaksi Pengertian Faktor Persamaan Rumus Dan Soal
rumus.co.id

Persamaan Laju Reaksi Penjelasan Rumus Contoh Soal Dan Jawaban Di 2020 Kimia Persamaan Rumus Kimia
id.pinterest.com

2

3 Laju Reaksi Ppt Download
slideplayer.info

Laju Reaksi Pengertian Rumus Dan Faktornya Lengkap
saintif.com

Laju Reaksi Pengertian Rumus Dan Faktornya Lengkap
saintif.com

Soal Laju Reaksi
id.scribd.com

Persamaan Laju Reaksi Penjelasan Rumus Contoh Soal Dan Jawaban
www.pinterpandai.com

Laju Reaksi To Illona Putri S Website
illonaputri.wordpress.com

Pembahasan Persamaan Laju Reaksi Level 3 Youtube
www.youtube.com

Bab Vi Kinetika Reaksi Kimia Selama 55 Menit Maka Rumus Laju Reaksi Apabila Nilai K 0 042 Adalah Pdf Document
fdokumen.com

Laju Reaksi Rumus Laju Reaksi Orde Laju Reaksi Un Kimia 2016 Pembahasan 23 Youtube
www.youtube.com

Laju Reaksi
passinggrade.co.id

Laju Reaksi Pengertian Faktor Rumus Persamaan Contoh
rollingstone.co.id

Rumus Laju Reaksi Persamaan Faktor Orde Dan Contoh Soal
pakdosen.pengajar.co.id

Orde Laju Reaksi Pengertian Rumus Dan Faktor Yang Memengaruhi Teks Co Id
teks.co.id

Soal Pembahasan Rumus Persamaan Laju Reaksi Gupak Com
www.gupak.com

Laju Reaksi Pengertian Rumus Dan Contoh Soal Laju Reaksi
jempolkimia.com

Kelas 11 Ini Hal Hal Penting Yang Perlu Kamu Tahu Tentang Kelajuan Reaksi
www.quipper.com

Laju Reaksi Konsep Laju Reaksi Ppt Download
slideplayer.info

Kelas 11 Ini Hal Hal Penting Yang Perlu Kamu Tahu Tentang Kelajuan Reaksi
www.quipper.com

Kelas 11 Ini Hal Hal Penting Yang Perlu Kamu Tahu Tentang Kelajuan Reaksi
www.quipper.com

Persamaan Laju Reaksi Dan Orde Reaksi Rini Oktavia
rinioktavia19942.wordpress.com

Laju Reaksi Pengertian Rumus Penerapan Dan Contoh
blog.edukasystem.com

Contoh Soal Laju Reaksi Laju Reaksi
sites.google.com

Pembahasan Soal Un Kimia 2011 7 Blog Urip Guru Kimia
urip.wordpress.com

60 Soal Laju Reaksi Pilihan Ganda Dan Jawaban Pembahasan
soalkimia.com

Ketahui Hal Penting Tentang Kelajuan Reaksi Kelas 11 Rumushitung Com
rumushitung.com

Soal Essay Kimia Tentang Laju Reaksi
docs.google.com

Pengertian Persamaan Laju Reaksi Kimia Materi Kimia
materikimia.com

Materi Kinetika Kimia
www.slideshare.net

Persamaan Laju Reaksi Kimia
pt.slideshare.net

Jika Tetapan Laju Reaksinya K Maka Persamaan Laju Reaksi V Dari P Dan Q Adalah Mohon Dijawab Brainly Co Id
brainly.co.id

Laju Reaksi Konsep Tori Persamaan Dan Contoh Soal Tambah Pinter
tambahpinter.com

Persamaan Laju Reaksi Dan Orde Reaksi Masyitah
masyitahkimia.wordpress.com

Contoh Soal Laju Reaksi
id.scribd.com

Pengertian Laju Reaksi Faktor Rumus Orde Dan Teladan Soal Laju Reaksi Cara Ampuh Memahami Matematika Dengan Mudah
lincahmatematika.blogspot.com

Laju Reaksi Ppt Download
slideplayer.info

Laju Reaksi Pengertian Rumus Faktor Yang Mempengaruhi
www.studiobelajar.com

Laju Reaksi
passinggrade.co.id

Menghitung Energi Aktivasi Reaksi Kimia Sains Teknologi Dan Bisnis
www.caesarvery.com

Laju Reaksi Pengertian Faktor Teori Tumbukan Hukum Rumus
seputarilmu.com

Penjelasan Kemolaran Dan Pengertian Laju Reaksi Serta Persamaannya Pelajaran Sekolah Online
www.pelajaran.co.id

close