Sangat Membantu

Rumus Lengkap Trigonometri Kelas 11


Minta Rumus Fungsi Trigonometri Kelas Xi Dong Kak Yang Lengkap Brainly Co Id
brainly.co.id

Smart Blog Rumus Trigonometri Sma Lengkap
nurdiatamablog.blogspot.com

Belajar Matematika Online Rumus Rumus Trigonometri
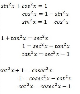
soulmath4u.blogspot.com

Turunan Trigonometri Pengertian Rumus Dan Contoh Soalnya
rumusrumus.com

Https Encrypted Tbn0 Gstatic Com Images Q Tbn 3aand9gcs8wbr0 Xif1hurfqvdznarok2iehv26yhmnbwwfy7zqlklvhit Usqp Cau
encrypted-tbn0.gstatic.com

Identitas Trigonometri Sudut Istimewa Sifat Rumus Dan Contoh
www.dosenpendidikan.co.id

Cara Mengerjakan Perbandingan Trigonometri Guru Ilmu Sosial
www.ilmusosial.id

2

Rpp 9 Identitas Trigonometri
id.scribd.com

Tabel Trigonometri Terlengkap Dari 0 Sampai 360ยบ Kelas Pintar
www.kelaspintar.id

Rumus Trigonometri Dan Fungsi Trigonometri Matematika
rumusrumus.com

Kumpulan Rumus Trigonometri Contoh Soal Jawaban Lengkap
ayoksinau.teknosentrik.com

Contoh Soal Dan Pembahasan Tentang Trigonometri Ajar Hitung
www.ajarhitung.com

Rumus Trigonometri Serta Cara Memperolehnya Rumus Matematika
rumus-matematika.com

Http Sandra Anggia Blogspot Com 2013 11 Materi Pelajaran Matematika Tentang Html

Rumus Perkalian Trigonometri Sinus Dan Cosinus Sains Seru
www.sainsseru.com

Rumus Trigonometri Ulasan Dan Berbagai Contoh Soalnya Kelas Pintar
www.kelaspintar.id

Limit Fungsi Trigonometri Materi Lengkap Matematika
www.materimatematika.com

Contoh Soal Dan Pembahasan Identitas Trigonometri Guru Ilmu Sosial
www.ilmusosial.id

Rumus Trigonometri Sma Lengkap Docx Document
fdokumen.com

Turunan Trigonometri Matematika Kelas 11 Quipper Blog
www.quipper.com

Identitas Trigonometri Ppt Download
slideplayer.info

Kumpulan Soal Pembuktian Identitas Trigonometri
maths.id

Turunan Trigonometri Matematika Kelas 11 Quipper Blog
www.quipper.com

Sma Negeri 15 Tangerang Trigonometri Matematika Sma Ppt Download
slideplayer.info

Rumus Cepat Trigonometri Guru Ilmu Sosial
www.ilmusosial.id

Soal Dan Pembahasan Trigonometri Kelas Xi Ipa
id.scribd.com

Rumus Identitas Trigonometri Lengkap Idschool
idschool.net

Belajar Matematika Online Limit Fungsi Trigonometri
soulmath4u.blogspot.com

Contoh Soal Limit Trigonometri Terbaru Kelas 11 12
rumusrumus.com

Persamaan Trigonometri Materi Lengkap Matematika
www.materimatematika.com

Identitas Grafik Fungsi Dan Persamaan Trigonometri Blog Belajar Mas Mico Arrafi
micoarrafi.wordpress.com

2

Matematika Kelas 10 Apa Itu Trigonometri
blog.ruangguru.com

Trigonometri Pengertian Identitas Fungsi Rumus Dan Contoh
4winmobile.com

Rumus Identitas Trigonometri Lengkap Idschool
idschool.net

Doc Rpp Trigonometri Meera Moonligt Academia Edu
www.academia.edu

Rangkuman Trigonometri
maths.id

Turunan Fungsi Trigonometri Dan Contoh Soalnya Rumus Co Id
rumus.co.id

Trigonometri Identitas Rumus Turunan Tabel Contoh Soal
www.yuksinau.id

Https Encrypted Tbn0 Gstatic Com Images Q Tbn 3aand9gcrftenkslrdkjonfkj2mrdmjcsuckgkm3bykbsdwgsyjkyykhfk Usqp Cau
encrypted-tbn0.gstatic.com

Doc Kumpulan Rumus Trigonometri Kelas Xi Sma Fikri Nurham Academia Edu
www.academia.edu

Https Encrypted Tbn0 Gstatic Com Images Q Tbn 3aand9gcqnsustzewhgv5eb 6qdfegmkz1br8pdvm4sfgzmhxzx9zwpi3d Usqp Cau
encrypted-tbn0.gstatic.com

Perbandingan Trigonometri Sudut Istimewa Materi Lengkap Matematika
www.materimatematika.com

Limit Trigonometri Pengertian Rumus Identitas Fungsi Contoh Soal
rumus.co.id

Rumus Matematika Sma For Android Apk Download
apkpure.com

Rangkuman Contoh Soal Pembahasan Trigonometri
tanya-tanya.com

Limit Fungsi Trigonometri Makalah Rumus Teorema Contoh Soal
rumusrumus.com

Rumus Lengkap Trigonometri Disertai Dengan Contohnya Myrightspot Com
www.myrightspot.com

Rumus Identitas Trigonometri Pengertian Dan Fungsinya Lengkap Tutorialbahasainggris Co Id
tutorialbahasainggris.co.id

Kumpulan Soal Pembuktian Identitas Trigonometri
maths.id

Kumpulan Contoh Soal Contoh Soal Identitas Trigonometri Kelas Xi
bakingupforlosttime.blogspot.com

Contoh Soal Persamaan Trigonometri Pilihan Ganda Pembahasan
soalkimia.com

Penurunan Rumus Trigonometri Sudut Ganda Pdf Document
fdokumen.com

Rumus Identitas Trigonometri Lengkap Contoh Soal Dan Pembahasan
saintif.com

Rumus Identitas Trigonometri Lengkap Idschool
idschool.net

Rumus Trigonometri Kelas 11 Lengkap Beserta Contohnya Sains Seru
www.sainsseru.com

Kumpulan Rumus Trigonometri Kelas Xi Sma Eka Yuni
ekakayun.wordpress.com

Matematika Kelas 10 Apa Itu Trigonometri
blog.ruangguru.com

Https Core Ac Uk Download Pdf 230384257 Pdf

Latihan Soal Penilaian Tengah Semester Gasal Matematika Minat Kelas Xii Tahun 2018 2019 Tri Khidayanti
www.trikhidayanti.web.id

Pengertian Trigonometri Fungsi Rumus Dan Contoh Soal Rumuspelajaran Com
www.rumuspelajaran.com

Makalah Matematika Trigonometri Pdf Free Download
docplayer.info

Tentang Matematika Rumus Dasar Limit Fungsi Trigonometri Yang Memuat Identitas Trigonometri
matematikasma12mks.blogspot.com

Pengertian Trigonometri Sejarah Fungsi Rumus Dan Contoh Soal Di 2020 Sejarah Mesopotamia Matematika
id.pinterest.com

Rumus Trigonometri Ulasan Dan Berbagai Contoh Soalnya Kelas Pintar
www.kelaspintar.id

Pengertian Identitas Trigonometri
rumusbilangan.com

Soal Soal Trigonometri Matematika Sma Kelas Xi
id.scribd.com

Identitas Trigonometri Lengkap Pengertian Rumus Contoh Soal
rumus.co.id

Trigonometri Matematika Kelas 11
mymathemathicsfor11thgrade.weebly.com

Materi Lengkap Trigonometri Dengan Fungsi Rumus Dan Pembahasan Contoh Soal Pelajaran Sekolah Online
www.pelajaran.co.id

Trigonometri Rumus Jumlah Dan Selisih Sudut Pada Sinus Youtube
www.youtube.com

Rumus Trigonometri Kelas 11
alkhodry.co.id

2

Peta Konsep Trigonometri
www.slideshare.net

Rumus Trigonometri Ulasan Dan Berbagai Contoh Soalnya Kelas Pintar
www.kelaspintar.id

Identitas Trigonometri
www.slideshare.net

Identitas Trigonometri Pendidikan Matematika
yos3prens.wordpress.com

Materi Lengkap Trigonometri Matematika Sma Kelas 11 Magister Matematika
www.magistermatematika.com

Rpp Smp Rumus Trigonometri Sudut Ganda
id.scribd.com

1
encrypted-tbn0.gstatic.com

Rumus Cepat Trigonometri Kelas X Guru Ilmu Sosial
www.ilmusosial.id

Kumpulan Rumus Matematika Lengkap Trigonometri
id.123dok.com

Soal Dan Jawaban Trigonometri Guru Ilmu Sosial
www.ilmusosial.id

Rumus Trigonometri Contoh Soal Pembahasannya Lengkap
www.nesabamedia.com

Rpp Matematika Sma Trigonometri Ipa
www.slideshare.net

Rumus Matematika Trigonometri Sma
www.slideshare.net

Trigonometri
www.slideshare.net

Identitas Trigonometri Rumus Penjelasan Pembuktian Soal Jawaban
www.pinterpandai.com

Integral Trigonometri Rumus Integral Cos Soal Pembahasan
www.dosenpendidikan.co.id

Kumpulan Soal Pembuktian Identitas Trigonometri
maths.id

Identitas Trigonometri Ppt Download
slideplayer.info

Turunan Trigonometri Matematika Kelas 11 Quipper Blog
www.quipper.com

Contoh Soal Pertidaksamaan Trigonometri Kumpulan Soal Pelajaran 5
kumpulansoal-115.blogspot.com

Menghitung Tinggi Pohon Menggunakan Rumus Identitas Trigonometri
www.quipper.com

Kumpulan Contoh Soal Contoh Soal Identitas Trigonometri
bakingupforlosttime.blogspot.com

Rumus Penjumlahan Dan Pengurangan Fungsi Sin Dan Cos Idschool
idschool.net

Rumus Contoh Soal Identitas Trigonomentri Pembahasan Pembuktian Persamaan Matematika
www.nafiun.com

Bentuk Persamaan Trigonometri Dan Cara Menyelesaikannya
rumusbilangan.com

Mengenal Fungsi Dan Rumus Trigonometri Matematika
rumusbilangan.com

Rumus Trigonometri Sma Lengkap
dokumen.tips

Contoh Soal Trigonometri Sudut Pertengahan Guru Ilmu Sosial
www.ilmusosial.id

Matematika Kelas 10 Apa Itu Trigonometri
blog.ruangguru.com

Limit Trigonometri Rumushitung Com
rumushitung.com

close