Sangat Membantu

Rumus Matematika Persamaan Kuadrat


Menyelesaikan Persamaan Kuadrat Dengan Rumus Abc Edscyclopedia Com
edscyclopedia.com

Persamaan Kuadrat Wikipedia Bahasa Indonesia Ensiklopedia Bebas
id.wikipedia.org

Rumus Abc Pengertian Soal Dan Pembahasan
saintif.com

Bab 3 Persamaan Kuadrat Dan Pertidaksamaan Kuadrat
studylibid.com

Ppt Bentuk Umum Persamaan Kuadrat Menyelesaikan Persamaan Kuadrat Memfaktorkan Powerpoint Presentation Id 3845120
www.slideserve.com

Persamaan Kuadrat Lengkap Pengertian Rumus Contoh Soal
saintif.com

Akar Akar Persamaan Kuadrat
maths.id

Rumus Abc Untuk Menyelesaikan Persamaan Kuadrat Idschool
idschool.net

Akar Akar Persamaan Kuadrat
maths.id

Ulangan Harian Persamaan Kuadrat
studylibid.com

Menentukan Akar Akar Persamaan Kuadrat Pk Konsep Matematika Koma
www.konsep-matematika.com

Rumus Abc Untuk Menyelesaikan Persamaan Kuadrat Idschool
idschool.net

Pelajaran Soal Rumus Memfaktorkan Persamaan Kuadrat Wardaya College
www.wardayacollege.com

3 Cara Sederhana Menentukan Akar Persamaan Kuadrat Kelas Pintar
www.kelaspintar.id

Invers Fungsi Kuadrat Bimbel Tridaya Online
www.tridayaonline.com

Deduccion De La Formula De Bhaskara Persamaan Kuadrat Rumus Nol Fungsi Pemecahan Persamaan Matematika La Formula Formula De Png Pngegg
www.pngegg.com

Materi Persamaan Kuadrat Rumus Akar Contoh Soal
edutore.com

3 Cara Untuk Menyelesaikan Persamaan Kuadrat Wikihow
id.wikihow.com

Pdf Pengembangan Bahan Ajar Materi Persamaan Kuadrat Berbantuan Rumus Cepat
www.researchgate.net

Cara Mengerjakan Persamaan Kuadrat Guru Ilmu Sosial
www.ilmusosial.id

Matematika Xi Rumus Jumlah Dan Hasil Kali Akar Akar Persamaan Kuadrat Puguh Kristanto S Pd
puguhkristanto.my.id

Rumus Jumlah Dan Hasil Kali Persamaan Kuadrat
www.utakatikotak.com

Rangkuman Rumus Dan Soal Matematika Persamaan Kuadrat Materi Belajar Dari Rumah Smp Semua Halaman Bobo
bobo.grid.id

Persamaan Kuadrat Rumus Abc Matematika Ku Persamaan Kuadrat Ax2 Bx C 0 Dimana A 0 Maka Akar Akarnya
pdfslide.tips

Belajar Matematika Rumus Cepat Menyusun Persamaan Kuadrat Gres Hanya 10 Detik Belajar Matematika Dasar
belajarmatematikadasar21.blogspot.com

Menyelesaikan Persamaan Kuadrat Dengan Rumus Kuadrat Pendidikan Matematika
yos3prens.wordpress.com

Contoh Soal Persamaan Kuadrat Akar Akarnya Contohsoal Net
contohsoal.net

Persamaan Kuadrat Pengertian Macam Sifat Rumus Contoh Soal
rumus.co.id

Persamaan Kuadrat Fungsi Kuadrat Rumus Kuadratik Matematika Sudut Putih Png Pngegg
www.pngegg.com

Fungsi Kuadrat Fungsi Rumus Grafik Parabola Soal
www.yuksinau.id

Search Q Akar Rumus Persamaan Kuadrat Tbm Isch

Kumpulan Rumus Cepat Matematika Pages 1 50 Text Version Anyflip
anyflip.com

Rumus Abc Pengertian Soal Pembahasan Dosenpintar
dosenpintar.com

Simak Cara Seru Soal Dan Pembahasan Persamaan Kuadrat
www.quipper.com

Materi Persamaan Kuadrat Rumus Akar Contoh Soal
edutore.com

Rumus Abc Matematika Pembuktian Pengertian Penggunaan
rumus.co.id

Persamaan Dan Fungsi Kuadrat
www.slideshare.net

Menyelesaikan Persamaan Kuadrat Dengan Rumus Kuadrat Pendidikan Matematika
yos3prens.wordpress.com

Menyelesaikan Persamaan Kuadrat Dan Jenisnya Ilmu Hitung
ilmuhitung.com

Rumus Persamaan Kuadrat Matematika Lengkap
rumusrumus.com

Pelajaran Soal Rumus Diskriminan Persamaan Kuadrat Wardaya College
www.wardayacollege.com

Materi Persamaan Kuadrat Rumus Akar Contoh Soal
edutore.com

Rumus Abc Persamaan Kuadrat Kelas 9 Youtube
m.youtube.com

Matematika Kelas 9 Menyelesaikan Persamaan Kuadrat
blog.ruangguru.com

Menyelesaikan Persamaan Kuadrat Materi Lengkap Matematika
www.materimatematika.com

Penyelesaian Persamaan Kuadrat Rumus Abc Di Excel Cara Aimyaya Cara Semua Cara
www.cara.aimyaya.com

Rumus Abc Contoh Soal Dan Sifat Persamaan Kuadrat Haloedukasi Com
haloedukasi.com

Rumus Abc Untuk Menentukan Akar Akar Persamaan Kuadrat Matematika Kelas 9 Youtube
www.youtube.com

Pengertian Rumus Abc Syarat Contoh Soal Pembahasan Ilmupelajaran Com
www.ilmupelajaran.com

Menentukan Akar Akar Persamaan Kuadrat Dengan Rumus Abc Madematika
www.madematika.net

Penyelesaian Persamaan Dengan Rumus Abc Rumushitung Com
rumushitung.com

Cara Mencari Nilai Diskriminan Persamaan Kuadrat
www.dosenmatematika.co.id

Menentukan Akar Akar Persamaan Kuadrat Menggunakan Rumus Abc Cute766
cute766.info

Persamaan Kuadrat Fungsi Kuadrat Matematika Rumus Kuadratik Matematika Biru Sudut Teks Png Pngwing
www.pngwing.com

Persamaan Kuadrat Matematika Kelas 9 Quipper Blog
www.quipper.com

Rumus Persamaan Kuadrat Skema Tugas Penyelesaian Latar Belakang Trigonometri Pendidikan Stok Vektor C Krupenikova Olga Gmail Com 388297408
id.depositphotos.com

Menyelesaikan Persamaan Kuadrat Dengan Rumus Kuadrat Pendidikan Matematika
yos3prens.wordpress.com

Persamaan Kuadrat Menyelesaikan Persamaan Kuadrat Memfaktorkan Ppt Download
slideplayer.info

Https Encrypted Tbn0 Gstatic Com Images Q Tbn 3aand9gcqv3qt Rrelxas4alnb87rhxiha6odxea5hxczf73xkj3w4quet Usqp Cau
encrypted-tbn0.gstatic.com

Belajar Matematika Materi Penyelesaian Persamaan Kuadrat Dengan Kuadrat Sempurna Belajar Matematika Dasar
belajarmatematikadasar21.blogspot.com

Rumus Fungsi Persamaan Kuadrat Matematika
www.slideshare.net

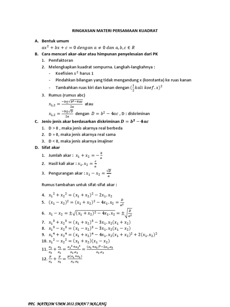
Ringkasan Materi Persamaan Kuadrat
id.scribd.com

Jawaban Soal Tentukan Penyelesaian Persamaan Kuadrat Belajar Dari Rumah Tvri Sma Kamis 30 April Tribunnews Com Mobile
m.tribunnews.com

Tentukan Akar Akar Persamaan Kuadrat Ini Dengan Cara Memfaktorkan Perlengkapan Kuadrat Dan Rumus Brainly Co Id
brainly.co.id

Rumus Cepat Persamaan Kuadrat Sma Guru Ilmu Sosial
www.ilmusosial.id

Persamaan Kuadrat Rumus Abc Akar Akar Pk Baru Contoh Soal
www.studiobelajar.com

Contoh Soal Dan Pembahasan Persamaan Kuadrat Rumus Matematika
rumus-matematika.com

Memahami Rumus Persamaan Kuadrat Dalam Ilmu Matematika
rumusrumus.com

Jumlah Dan Hasil Kali Akar Persamaan Kuadrat Idschool
idschool.net

Persamaan Kuadrat Matematika Kelas 9 Quipper Blog
www.quipper.com

Https Encrypted Tbn0 Gstatic Com Images Q Tbn 3aand9gcrwosd6 Nia6k9dfqhw6z2ld Fswsgcldpzsmu539px Tkdwl9i Usqp Cau
encrypted-tbn0.gstatic.com

Rumus Praktis Persamaan Kuadrat Istiyanto Com
istiyanto.com

Rpp Dan Lks Materi Persamaan Kuadrat
www.slideshare.net

Rumus Jumlah Dan Hasil Kali Akar Persamaan Kuadrat
hindayani.com

Rumus Abc Persamaan Kuadrat Dumatika Id
dumatika.id

Persamaan Kuadrat 2 Ppt Download
slideplayer.info

Rumus D Fungsi Kuadrat Lengkap Dengan Contoh Soal Dan Penyelesaian Rumusrumus Com
rumusrumus.com

Cara Menentukan Persamaan Kuadrat Baru Idschool
idschool.net

Rumus Abc Dalam Persamaan Kuadrat Contoh Soalnya Lengkap
www.nesabamedia.com

Menyelesaikan Persamaan Kuadrat Dengan Rumus Abc
www.kimiamath.com

Persamaan Kuadrat Pengertian Macam Sifat Fungsi Contoh Akar
materibelajar.co.id

Pengertian Dan Metode Penyelesaian Persamaan Kuadrat Rumus Matematika
id.scribd.com

Rumus Persamaan Kuadrat Penyelesaian Akar Dan Contoh Soal
www.dosenpendidikan.co.id

Persamaan Kuadrat Pengertian Macam Sifat Rumus
www.seputarpengetahuan.co.id

Bank Soal Dan Pembahasan Matematika Dasar Persamaan Kuadrat 27 Defantri Com
www.defantri.com

Matematika Kelas 9 100institute
dev2.seratusinstitute.com

Persamaan Kuadrat Pengertian Rumus Contoh Soal
rumuspintar.com

Matematika Kelas 9 Menyelesaikan Persamaan Kuadrat
blog.ruangguru.com

Persamaan Kuadrat Dan Penyelesaiannya Portal Ilmu Com
portal-ilmu.com

Persamaan Kuadrat Pengertian Rumus Contoh Soal
rumuspintar.com

Aljabar Persamaan Kuadrat Fungsi Kuadrat Gambar Png
www.pngdownload.id

Rumus The King Persamaan Kuadrat Belajar Tumbuh Berbagi
ridwansoleh.com

Rumus Persamaan Kuadrat Rumushitung Com
rumushitung.com

Persamaan Kuadrat Matematika Sma Super Matematika
supermatematika.com

Doc Rencana Pelaksanaan Pembelajaran Materi Akar Persamaan Kuadrat Abbas Usn Academia Edu
www.academia.edu

Persamaan Kuadrat Dan Penyelesaiannya Portal Ilmu Com
portal-ilmu.com

Nomor Persamaan Kuadrat Persamaan Gambar Png
www.pngdownload.id

Persamaan Kuadrat Menggunakan Rumus Abc Hasil Dari 3x 5x 2 0 Brainly Co Id
brainly.co.id

Belajar Matematika Materi Akar Akar Persamaan Kuadrat Dengan Rumus Abc Belajar Matematika Dasar
belajarmatematikadasar21.blogspot.com

Contoh Soal Rumus Abc Dan Pembahasannya Soalfismat Com
soalfismat.com

Menentukan Akar Persamaan Kuadrat Jawaban Soal Tvri 21 Juli Halaman All Kompas Com
www.kompas.com

Persamaan Kuadrat Ismi Kuswardani
ismimathskanda.wordpress.com

Persamaan Kuadrat Pengertian Rumus Contoh Soal Pembahasan
www.yuksinau.id

close