Sangat Membantu

Rumus Mencari Cepat Rambat Gelombang


Rumus Cepat Rambat Gelombang Dan Contoh Soalnya
www.utakatikotak.com

Contoh Soal Hubungan Antara Panjang Gelombang Frekuensi Cepat Rambat Dan Periode Gelombang
www.materikelasipa.net

Gelombang Stasioner
sumberbelajar.belajar.kemdikbud.go.id

Materi Gelombang Mekanik
fisikakontekstual.com

Cepat Rambat Gelombang
www.slideshare.net

Https Ojs Unsiq Ac Id Index Php Ppkm Article Download 359 188

Gelombang Bunyi 8 Smp Smp5 Cepat Rambat Bunyi Di Udara Adalah 320 M S Tentukan Jarak Sumber
pdfslide.tips

Kunci Jawaban Sebuah Kolom Udara Memiliki Panjang 40 Cm Jika Garpu Tala Mempunyai Frekuensi 320 Hz Rofa Education Centre
rofaeducationcentre.blogspot.com

4 Soal Dan Jawaban Cepat Rambat Gelombang Fisika Dan Matematika
fismath.com

Gelombang Asyiknya Belajar Sains
arifkristanta.wordpress.com

Cepat Rambat Bunyi Pengertian Rumus Faktor Dan Contoh
ayoksinau.teknosentrik.com

Cepat Rambat Bunyi Klasifikasi Rumus Faktor Dan Contoh
www.dosenpendidikan.co.id

Cepat Rambat Gelombang Transversal Pada Dawai Atau Senar Fokus Fisika
fokusfisika.com

Pengertian Frekuensi Dan Gelombang Halaman All Kompas Com
www.kompas.com

Inilah Rumus Cepat Rambat Gelombang Pinterkelas
pinterkelas.com

Contoh Soal Dan Rumus Gelombang Dalam Ilmu Fisika Blog Teknisi
blogteknisi.com

Https Journal Untar Ac Id Index Php Jmts Article Download 3425 1992

Gelombang Bunyi 8 Smp Smp5 Cepat Rambat Bunyi Di Udara Adalah 320 M S Tentukan Jarak Sumber Pdf Document
fdokumen.com

Rumus Mencari Cepat Rambat Gelombang Air Laut Guru Ilmu Sosial
www.ilmusosial.id

Rumus Gelombang Transversal Dan Contoh Soalnya Lengkap
www.mistamajahp.com

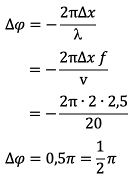
Suatu Gelombang Dengan Frekuensi Sebesar 2 5 Hz Bergerak Dalam Arah X Dengan Cepat Rambat 20 M S Mas Dayat
www.masdayat.net

Gelombang Longitudinal Pengertian Rumus Soal Dan Pembahasannya
www.amongguru.com

Rumus Periode Dan Cepat Rambat Gelombang Guru Ilmu Sosial
www.ilmusosial.id

Gelombang Mekanik Transversal Longitudinal Cepat Rambat Panjang
www.studiobelajar.com

Cepat Rambat Bunyi
www.informasi-pendidikan.com

Https Encrypted Tbn0 Gstatic Com Images Q Tbn 3aand9gctef9fag2bpzkqxdankqenz76moopkcdjbzfwpof3kix78e2 6w Usqp Cau
encrypted-tbn0.gstatic.com

Materi Gelombang Bunyi Kelas 8 Idschool
idschool.net

Rumus Gelombang Berjalan Dan Pengertian Serta Contoh Soal
rumusrumus.com

Doc Fisika Study Center Sutong Suyan Academia Edu
www.academia.edu

Materi Gelombang Bunyi Kelas 8 Idschool
idschool.net

Rumus Cepat Rambat Gelombang Transversal Pada Tali Fisika Dan Matematika
fismath.com

Rumus Panjang Gelombang Untuk Laju Dan Frekuensi Rumus Dasar
rumusdasar.com

Periode Gelombang Pengertian Frekuensi Cepat Ramba
www.seputarpengetahuan.co.id

Contoh Soal
id.scribd.com

Gelombang Mekanik Phyiscs By Rangga Agung S Team
physicsranggaagung.wordpress.com

Https Encrypted Tbn0 Gstatic Com Images Q Tbn 3aand9gct799xvg8uzxpglczs330xdu3sm 1jy 5pvedv2qbeil66 Oflu Usqp Cau
encrypted-tbn0.gstatic.com

Gelombang Berjalan Rumus Dan Contoh Soal
rumushitung.com

Materi Gelombang Bunyi Kelas 8 Idschool
idschool.net

Gelombang Sinus Sinusoidal Rumus Contoh Soal Dan Jawaban
www.pinterpandai.com

Greatedu
greatedu.co.id

Gelombang Mekanik Rumus Pdf Free Download
docplayer.info

Gelombang Elektromagnetik Rumus Manfaat Sifat Spektrum Contohnya
laelitm.com

Https Ejournal Upi Edu Index Php Wafi Article Download 11078 Pdf

Bimbim Melakukan Percobaan Untuk Menghasilkan Gelombang Transversal Dengan Menggunakan Tali Hasil Brainly Co Id
brainly.co.id

Cepat Rambat Gelombang
www.slideshare.net

Gelombang Bunyi Fisika Kelas 11 Quipper Blog
www.quipper.com

Pengertian Dan Rumus Cepat Rambat Bunyi Di Udara Serta Contoh Soal Cepat Rambat Gelombang Bunyi Berpendidikan Com
www.berpendidikan.com

Segitiga Rumus Cepat Rambat Gelombang 2 Segitiga Rumus
segitigarumus.wordpress.com

Rumus Getaran Dan Gelombang
www.utakatikotak.com

Contoh Soal Dawai Dan Penyelesaiannya Soalfismat Com
soalfismat.com

Gelombang Transversal Cepat Rambat Panjang Gelombang Frekuensi Periode Soal Dan Jawaban Un 2013 Gurumuda Net
gurumuda.net

Perhatikan Gambar Berikut Kemudian Tentukan Besarnya Frekuensi Getaran Paniang Gelombang Dan Brainly Co Id
brainly.co.id

Rumus Cepat Rambat Gelombang Dan Contoh Soal
rumus.co.id

Lengkap Teori Sifat Rumus Dan Contoh Gelombang Elektromagnetik
cerdika.com

Pengertian Bunyi Syarat Sifat Rumus Cepat Rambat Bunyi Dan Jenis Bunyi Lengkap Pelajaran Sekolah Online
www.pelajaran.co.id

Gelombang Bunyi Cepat Rambat Bunyi Di Udara Yang Dipengaruhi Oleh Tekanan Dinyatakan Dengan Persamaan Pada Gas Ideal M Pdf Download Gratis
docplayer.info

Cepat Rambat Panjang Gelombang Transversal Pembahasan Un Fisika Sma 2017 No 29 Samasaya Belajar Youtube
www.youtube.com

Cepat Rambat Gelombang Pada Dawai Gurumuda Net
gurumuda.net

Menghitung Cepat Rambat Gelombang Bunyi Di Udara
id.scribd.com

Rumus Panjang Gelombang Halaman 1 Kompasiana Com
www.kompasiana.com

Gelombang Bunyi Karakteristik Sifat Contoh Frekuensi
www.gurupendidikan.co.id

Rumus Cepat Rambat Gelombang Contoh Soal Pembahasan
www.nesabamedia.com

Https Encrypted Tbn0 Gstatic Com Images Q Tbn 3aand9gcqmje42shvcfhcmhiwzpeosh9vznb8biqkex6mn5xk Usqp Cau
encrypted-tbn0.gstatic.com

Rumus Cepat Rambat Bunyi Dalam Zat Padat Cair Dan Gas Guru Paud
www.gurupaud.my.id

Gelombang Mekanink Pengertian Rumus Contoh Soal
rumuspintar.com

Gelombang Pengertian Bunyi Jenis Sifat Rumus Contoh
www.gurupendidikan.co.id

Rumus Cepat Rambat Gelombang Transversal Dan Longitudinal
rumusrumus.com

Cepat Rambat Gelombang Transversal Contoh Soal Un Gurumuda Net
gurumuda.net

Cara Menghitung Cepat Rambat Gelombang Seperti Di Gambar Dan Penjelasannya Dan Rumus Ya Brainly Co Id
brainly.co.id

6 Rumus Gelombang Dan Bunyi Smp Kelas 8 Semester 2 Kurikulum 2013 Materikimia
materikimia.com

Cara Menghitung Panjang Gelombang Dan Kecepatan Gelombang Frekuensi Teknik Elektronika
teknikelektronika.com

Resonansi Bunyi Dengan Garpu Tala Pages 1 5 Flip Pdf Download Fliphtml5
fliphtml5.com

Cara Mudah Menghitung Cepat Rambat Gelombang Lpc Jepara Youtube
www.youtube.com

Memperkenalkan Rumus Panjang Gelombang Di Smp Halaman All Kompasiana Com
www.kompasiana.com

Rumus Cepat Rambat Gelombang Dan Contoh Soalnya
www.utakatikotak.com

Rumus Cepat Rambat Gelombang Transversal Dan Contoh Soalnya Pak Mono
www.pakmono.com

2 Mencari Cepat Rambat Gelombang Transversal Fisika Dan Matematika
fismath.com

Rumus Cepat Rambat Gelombang Dan Cara Menghitungya
saintif.com

Rumus Cepat Rambat Bunyi Pada Zat Padat Cair Dan Gas Guru Paud
www.gurupaud.my.id

Cepat Rambat Bunyi Pada Mediumnya
blog.ruangguru.com

Contoh Soal Hots Unbk Sma Soal Contoh Soal Fisika Gelombang Kelas 11
contohsoalhotsunbksma.blogspot.com

Rumus Gelombang Pengertian Sifat Macam Contoh Soal
seputarilmu.com

Gelombang Longitudinal Pengertian Rumus Dan Contoh Soal Haloedukasi Com
haloedukasi.com

Cepat Rambat Gelombang Berdasarkan Grafik Tersebut Adalah Brainly Co Id
brainly.co.id

Cepat Rambat Gelombang Bunyi Transversal Dawai Zat Padat Cair Dan Gas Rumus Fisika Contoh Soal Jawaban
www.nafiun.com

Gelombang Berjalan Rumus Dan Contoh Soal
rumushitung.com

Cepat Rambat Gelombang Bunyi
mafia.mafiaol.com

Tutorial Gelombang Berjalan 2 Cara Cepat Menghitung Cepat Rambat Gelombang Berjalan Youtube
www.youtube.com

Https Core Ac Uk Download Pdf 11066362 Pdf

Gelombang Berjalan Dan Stasioner Fisika Kelas 11 Quipper Blog
www.quipper.com

Rumus Cepat Rambat Gelombang Dan Cara Menghitungya
saintif.com

Laporan Fisika Dasar Ii Gelombang Stasio
www.slideshare.net

Gelombang Transversal Rumus Cepat Rambat Gambar Contoh Soal
rumus.co.id

Getaran Dan Gelombang
fisikastudycenter.com

Https Encrypted Tbn0 Gstatic Com Images Q Tbn 3aand9gcsczrvam5yrwqlpar48 Krmbxf5ydrhm9teqsy8fxfunswy5rpe Usqp Cau
encrypted-tbn0.gstatic.com

Resonansi Bunyi Dengan Garpu Tala Pages 1 5 Flip Pdf Download Fliphtml5
fliphtml5.com

Cepat Rambat Bunyi Pada Mediumnya
blog.ruangguru.com

Rumus Cepat Rambat Gelombang Dan Cara Menghitungya
saintif.com

2 Ppkm V2 3 Sri Jumini Pengaruh Cepat Rambat Gelombang Terhadap Frekuensi Pada Tali
studylibid.com

Contoh Cepat Rambat Gelombang Dan Pembahasannya Soalfismat Com
soalfismat.com

Rumus Panjang Gelombang Pengertian Cara Menghitung Contoh Soal
rumus.co.id

Rangkuman Contoh Soal Gelombang Pembahasan Jawaban
tanya-tanya.com

Rumus Periode Dan Cepat Rambat Gelombang Tersebut Adalah Guru Ilmu Sosial
www.ilmusosial.id

Jenis Jenis Gelombang Pengertian Sifat Rumus Contohnya
materi.co.id

close