Sangat Membantu

Rumus Mencari Kuartil 1 2 3


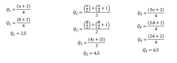
Prolog Materi Rumus Kuartil Data Kelompok Contoh Soal Pembahasan Zenius Education
www.zenius.net

1
encrypted-tbn0.gstatic.com

45 Contoh Soal Statistika Dan Jawaban Pembahasan
soalkimia.com

Carilah Kuartil Atas Bawah Dan Tengah Dari Tabel Tersebut Brainly Co Id
brainly.co.id

Doc Kuartil Jihan Marssy Academia Edu
www.academia.edu

Statistika Quartil Desil Dan Persentil
id.scribd.com

Pengertian Dan Rumus Cara Menghitung Dan Mencari Kuartil Bawah Tengah Dan Kuartil Atas Beserta Contoh Soal Kuartil Berpendidikan Com
www.berpendidikan.com

5 Kuartil
www.slideshare.net

Rumus Kuartil Desil Persentil Simpangan Dan Contoh Soal
www.gurupendidikan.co.id

Statistika Quartil Desil Dan Persentil
id.scribd.com

Cara Mengerjakan Kuartil Tabel Guru Ilmu Sosial
www.ilmusosial.id

Rumus Kuartil Pengertian Cara Menentukan Dan Contoh Soal
rumusbilangan.com

Cara Menghitung Median Modus Atau Mode Kuartil Dan Desil
www.utakatikotak.com

Rumus Kuartil Pengertian Cara Menentukan Dan Contoh Soal
rumusbilangan.com

Kuartil Dan Desil Data Tunggal Data Kelompok Dan Contoh Soal
materibelajar.co.id

Ukuran Letak Statistik Dasar Pubykarmatoli Net
12puby.wordpress.com

Kegiatan Belajar 6 Kuartil Desil Dan Persentil Statistika Deskriptif
belajarstatistikadeskriptif.wordpress.com

Rumus Kuartil Desil Persentil Simpangan Dan Contoh Soal
www.gurupendidikan.co.id

Simpangan Kuartil Pengertian Rumus Bentuk Contoh Soal
rumus.co.id

Rumus Kuartil Pengertian Jenis Jenis Cara Menghitung Contoh Soal
rumus.co.id

Rumus Kuartil Desil Dan Persentil Contoh Soal Dan Jawaban
www.dosenpendidikan.co.id

Simpangan Kuartil Pengertian Rumus Bentuk Contoh Soal
rumus.co.id

Rumus Kuartil Desil Persentil Simpangan Dan Contoh Soal
www.gurupendidikan.co.id

Cara Mengerjakan Kuartil Bawah Data Kelompok Guru Ilmu Sosial
www.ilmusosial.id

Rumus Kuartil Desil Dan Persentil Rumus Kuartil Desil Dan Persentil Data Tunggal Rumus Kuartil Desil Dan Persentil Untuk Data Tunggal Merupakan Tiga Ppt Download
slideplayer.info

Tutorial Cara Mudah Menentukan Kuartil Atas Dari Tabel Distribusi Frekuensi 1 Youtube
www.youtube.com

Rumus Kuartil Pengertian Cara Menentukan Dan Contoh Soal
rumusbilangan.com

Kuartil Nilai Rata Rata Ukur Dan Nilai Rata Rata Harmonik Bellayupi S
bellashabrina.wordpress.com

Cara Menentukan Jangkauan Interkuartil Dan Simpangan Kuartil
mafia.mafiaol.com

Rumus Kuartil Desil Dan Persentil Idschool
idschool.net

Rumus Kuartil Desil Persentil Simpangan Dan Contoh Soal
www.gurupendidikan.co.id

Rumus Kuartil Desil Persentil Simpangan Dan Contoh Soal
www.gurupendidikan.co.id

Pengertian Kuartil Beserta Rumus Kuartil Dan Contoh Kuartil Quartile
teknikelektronika.com

Contoh Soal Kuartil Dan Penyelesaiannya Soalfismat Com
soalfismat.com

Kumpulan Cara Cepat Menyelesaikan Kuartil Data Berkelompok
www.dosenmatematika.co.id

Pengertian Dan Rumus Cara Menghitung Dan Mencari Kuartil Bawah Tengah Dan Kuartil Atas Beserta Contoh Soal Kuartil Berpendidikan Com
www.berpendidikan.com

Menghitung Kuartil Data Tunggal Dengan Excel Fii Excel
fiiexcel.wordpress.com

Pelajaran Soal Rumus Kuartil Data Berkelompok Wardaya College
www.wardayacollege.com

Cara Mengerjakan Kuartil Bawah Guru Ilmu Sosial
www.ilmusosial.id

Rumus Kuartil Pengertian Cara Menentukan Dan Contoh Soal
rumusbilangan.com

Simpangan Kuartil Data Berkelompok Q3 Q1 Cara Mudah Youtube
www.youtube.com

Mudahnya Belajar Statistika Bagian Iii Cara Menghitung Median Kuarti
www.slideshare.net

Blajar Pintar Quartil Dari Data Tunggal Dan Data Kelompok
blajar-pintar.blogspot.com

Kuartil Desil Simpangan Baku Varian Dsb Rumus Contoh Soal
www.studiobelajar.com

Contoh Soal Kuartil Dan Penyelesaiannya Soalfismat Com
soalfismat.com

Rumus Kuartil Lengkap Dengan Contoh Soal
laelitm.com

Rumus Kuartil Pengertian Jenis Jenis Cara Menghitung Contoh Soal
rumus.co.id

Rpp Simpangan Kuartil
www.slideshare.net

Ukuran Pemusatan Data Kuartil Desil Dan Persentil Rumushitung Com
rumushitung.com

Simpangan Kuartil Data Tunggal Tabel To Dki Smk 2019 Youtube
m.youtube.com

Rumus Kuartil Desil Persentil Simpangan Dan Contoh Soal
www.gurupendidikan.co.id

Bab V Kuartil Nilai Rata Ukur Dan Nilai Rata Harmonik My World
vebrianaparmita.wordpress.com

Mencari Simpangan Kuartil Youtube
m.youtube.com

Ukuran Pemusatan Data Kuartil Desil Dan Persentil Rumushitung Com
rumushitung.com

Cara Menghitung Mean Median Modus Jangkauan Kuartil Desil Dan Persentil Ukuran Dan Satuan
ukurandansatuan.com

Penjelasan Kuartil Desil Dan Persentil
edukasi-pedia.blogspot.com

Kuartil Dan Desil Data Tunggal Data Kelompok Dan Contoh Soal
materibelajar.co.id

3 Berikut Disajikan Berat Badan Siswa Kelas Viii D Tentukan Median Kuartil Atas Dan Kuartil Bawah Brainly Co Id
brainly.co.id

Rumus Kuartil Desil Dan Persentil Idschool
idschool.net

Simpangan Kuartil Cara Mencari Rumus Dan Contoh Soal
materibelajar.co.id

Rumus Kuartil Desil Dan Persentil Contoh Soal Dan Jawaban
www.dosenpendidikan.co.id

Rumus Kuartil Pengertian Jenis Jenis Cara Menghitung Contoh Soal
rumus.co.id

Contoh Soal Kuartil Kumpulan Soal Pelajaran 3
kumpulansoal-113.blogspot.com

Statistika Ukuran Letak Data Kuartil Desil Persentil Penjelasan Rumus Dan Contoh Soal Pelajaran Sekolah Online
www.pelajaran.co.id

Rumus Kuartil Desil Dan Persentil Rumus Kuartil Desil Dan Persentil Data Tunggal Rumus Kuartil Desil Dan Persentil Untuk Data Tunggal Merupakan Tiga Ppt Download
slideplayer.info

Cara Mudah Mencari Kuartil Bawah Q1 Try Out Matematika Sma Ipa 2019 Mgmp Dki Samasaya Belajar Youtube
www.youtube.com

Tutorial Cara Mudah Menentukan Kuartil Bawah Pada Data Berkelompok Bentuk Tabel Distribusi Frekuensi Youtube
www.youtube.com

Ukuran Pemusatan Data Kuartil Desil Dan Persentil Rumushitung Com
rumushitung.com

Https Encrypted Tbn0 Gstatic Com Images Q Tbn 3aand9gcscetnsrnptby6xdqbdijbtgezuz2spqpup Knqemhv 2lky2a9 Usqp Cau
encrypted-tbn0.gstatic.com

Ukuran Pemusatan Quartil Desil Dan Persentil Mic Excel Swanstatistics
swanstatistics.com

Statistika Kuartil Desil Prsentil Dat Kelompok Dan Persentil Data Berkelompok Telah Kita Cari Pdf Document
fdokumen.com

Rumus Kuartil Desil Dan Persentil Contoh Soal Dan Jawaban
www.dosenpendidikan.co.id

Cara Mengerjakan Kuartil Bawah Guru Ilmu Sosial
www.ilmusosial.id

Simpangan Kuartil Dari 7 4 5 6 7 4 5 7 8 9 6 Adalah Brainly Co Id
brainly.co.id

Rumus Kuartil Desil Dan Persentil
www.utakatikotak.com

Cara Mencari Menghitung Dan Menentukan Nilai Kuartil Quartil Data Tunggal Pintar Matematika
bukumaterimatematika.blogspot.com

Blajar Pintar Quartil Dari Data Tunggal Dan Data Kelompok
blajar-pintar.blogspot.com

Penjelasan Kuartil Desil Dan Persentil
edukasi-pedia.blogspot.com

Rumus Kuartil Desil Persentil Simpangan Dan Contoh Soal
www.gurupendidikan.co.id

Rumus Kuartil Desil Dan Persentil Idschool
idschool.net

Statistik Sma 1 Kuartil Atas Bawah Tengah Paham Youtube
www.youtube.com

Rumus Persentil Kuartil Dan Desil Beserta Contoh Soalnya
rumusrumus.com

Penjelasan Kuartil Desil Dan Persentil
edukasi-pedia.blogspot.com

Rumus Kuartil Pengertian Cara Menentukan Dan Contoh Soal
rumusbilangan.com

Penjelasan Kuartil Desil Dan Persentil
edukasi-pedia.blogspot.com

Ukuran Letak Kuartil Desil Dan Persentil 1 Kuartil Q A Kuartil Data Tunggal
id.scribd.com

Penentuan Kuartil Belajar Matematika Dan Sains Smp Sma
basukiraharja.wordpress.com

Rumus Kuartil Desil Dan Persentil Idschool
idschool.net

Mencari Kuartil Bawah Atas Dan Median Brainly Co Id
brainly.co.id

Contoh Soal Menghitung Kuartil Pada Data Tunggal Danioyo
danioyo.wordpress.com

Rumus Kuartil Desil Persentil Simpangan Dan Contoh Soal
www.gurupendidikan.co.id

Pengertian Kuartil Beserta Rumus Kuartil Dan Contoh Kuartil Quartile
teknikelektronika.com

Rumus Simpangan Kuartil Pengertian Jenis Dan Contoh
www.seputarpengetahuan.co.id

Cara Menghitung Median Modus Mode Kuartil Dan Desil Emerer Com
emerer.com

Cara Menentukan Kuartil Dari Suatu Data
mafia.mafiaol.com

Rumus Kuartil Pengertian Cara Menentukan Dan Contoh Soal
rumusbilangan.com

Rumus Kuartil Desil Dan Persentil Rumus Kuartil Desil Dan Persentil Data Tunggal Rumus Kuartil Desil Dan Persentil Untuk Data Tunggal Merupakan Tiga Ppt Download
slideplayer.info

Pengertian Kuartil Beserta Rumus Kuartil Dan Contoh Kuartil Quartile
teknikelektronika.com

Cara Menghitung Kuartil Atas 13 Langkah Wikihow
id.wikihow.com

Cara Mengerjakan Kuartil Bawah Guru Ilmu Sosial
www.ilmusosial.id

Http Imathsolution Blogspot Com 2018 09 Cara Mudah Menentukan Kuartil Atas Dan Html

Kuartil Pengertian Rumus Jenis Kuartil Contoh Soal Latihan
bacaboy.com

close