Sangat Membantu

Rumus Molekul Nh3 Adalah


Diketahui Empat Senyawa Memiliki Rumus Kimia Sebagai Berikut H2o Ch4 Nh3 Co2a Tentukan Jumlah Pei Brainly Co Id
brainly.co.id

Amonia Amoniak Amonium Hidroksida Nh3 Nh4oh 25 500 Ml Shopee Indonesia
shopee.co.id

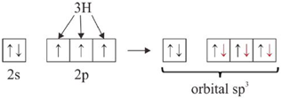
Bentuk Molekul Teori Domain Elektron Teori Ikatan Valensi Hibridisasi
soalkimia.com

Pengertian Gaya Antar Molekul Struktur Sifat Sifat Bentuk Contoh Soal Teori Domain Elektron Ikatan Valensi Dan Hibridisasi
www.nafiun.com

Cara Mudah Menentukan Bentuk Molekul Suatu Senyawa Urip Dot Info
www.urip.info

Ikatan Kimia Ppt Download
slideplayer.info

Ikatan Kimia Ppt Download
slideplayer.info

Gas Metana Dan Amonia Memiliki Rumus Molekul Ch4 Dan Nh3 Biladigambarkan Partikelnya Sesuai Nomor Brainly Co Id
brainly.co.id

Bentuk Molekul Pegembangan Pembelajaran Hots Rpp Lks
www.slideshare.net

1 Dari Rumus Kimia Dibawah Ini
studylibid.com

Bahan Baku Amonium Nitrat Undip Studocu
www.studocu.com

Senyawa Koordinasi Teknik Kimia Undip
studylibid.com

Doc Kimia X Gabungan Hendi Hendriansyah Academia Edu
www.academia.edu

Berapa Hasil Ikatan Kovalen Dari Nh3 Brainly Co Id
brainly.co.id

Gambar Struktur Lewis Dari Nh3 Brainly Co Id
brainly.co.id

Documents Tips Kimia 56bfa62c9d100 Docx
id.scribd.com

Http Tekim Undip Ac Id Staf Istadi Files 2012 10 Ayufitriana 21030112130095 Rabu Pdf

Mengapa H Pada H2o Ditulis Di Awal H Pada Nh3 Ditulis Di Akhir Urip Dot Info
www.urip.info

Https Inis Iaea Org Collection Nclcollectionstore Public 45 095 45095740 Pdf

Penangas Kimia Dasar
sandraxequ.25u.com

Amonia Nh3 Resep Kimia Industri
resepkimiaindustri.blogspot.com

Interaksi Antarmolekul Nh3 Nh3 Intermolecular Chemistry
imc.kimia.fsm.undip.ac.id

Rumus Kimia Tatanama Dan Pers Reaksi
www.slideshare.net

Apa Bentuk Molekul Nh3 Nomer Atom N 7 H Brainly Co Id
brainly.co.id

Hibridisasi Kimia Kelas 10 Pengertian Tipe Cara Menentukan Dan Contoh Soal
www.quipper.com

Jenis Jenis Molekul Dan Bentuk Molekul
ratukemalalaura.blogspot.com

Ikatan Koordinasi Pdf Document
fdokumen.com

Tentukan Jenis Hibridisasi Dan Bentuk Molekul Senyawa Berikut 1 Nh3 2 H2o 3 Becl2 4 If3 5 Ccl4 Brainly Co Id
brainly.co.id

13 Soal Hukum Avogadro
id.scribd.com

Ikatan Kimia Ppt Download
slideplayer.info

Enter Ppt Download
slideplayer.info

Amonia Nh3 Kimia Gambar Gratis Di Pixabay
pixabay.com

Geometri Molekul Bentuk Molekul Untuk Menentukan
studylibid.com

Gambarkan Rumus Titik Elektron Dark Molekul Nh3 Dan Molekul Bf3 Serta Molekul Nh3bf3 Brainly Co Id
brainly.co.id

Gaya Intra Antar Molekul Ppt Download
slideplayer.info

Nh3 Stok Vektor Ilustrasi Nh3 Bebas Royalti Depositphotos
id.depositphotos.com

Contoh Soal Ikatan Kovalen Rumus Lewis Lambang Titik Elektron Nh3 Ardra Biz
ardra.biz

Rumus Kimia Amonia Dan Reaksinya My Stupid Theory
mystupidtheory.com

Latihan Soal Ipa Klasifikasi Materi Dan Perubahannya
id.scribd.com

Rumus Kimia Konsep Mol Dan Empiris For Android Apk Download
apkpure.com

Gambar Rumus Lewis Dalam Moleku Molekul A Cs2 B H2s C Nh3 D Hcn E H2o Brainly Co Id
brainly.co.id

Soal Bentuk Molekul Senyawa Nh3 Oktahedral Gupak Com
www.gupak.com

Nh3 Terdapat 0 09 Mol Atom Hidrogen Masaa Molekul Nh3 Adalah Ar N 14 H 1 Brainly Co Id
brainly.co.id

87 Gambar Bentuk Molekul Nh3 Paling Keren Gambar Pixabay
www.gambar.pro

Amonia Wikipedia Bahasa Indonesia Ensiklopedia Bebas
id.wikipedia.org

Bentuk Molekul
riri-kimia.blogspot.com

Ion Kompleks Kimia Unsur Amaldoft
amaldoft.wordpress.com

Amonia Adalah Senyawa Kimia Dengan Rumus Nh3
id.scribd.com

Bentuk Molekul Teori Domain Elektron Tolakan Pasangan Notasi Vsepr Hibridisasi Contoh Soal Pembahasan Kimia
www.nafiun.com

Struktur Dan Gaya Antar Molekul Romiyafadila
romiyafadila.wordpress.com

87 Gambar Bentuk Molekul Nh3 Paling Keren Gambar Pixabay
www.gambar.pro

4 Tata Nama Senyawa Dewi Silvia Zega
yudistiadewisilvia.wordpress.com

Ion Kompleks Kimia Unsur Amaldoft
amaldoft.wordpress.com

Mengapa H Pada H2o Ditulis Di Awal H Pada Nh3 Ditulis Di Akhir Urip Dot Info
www.urip.info

Hibridisasi Kimia Kelas 10 Pengertian Tipe Cara Menentukan Dan Contoh Soal
www.quipper.com

Stoikiometri
studylibid.com

Rumus Kimia Amonia Sifat Manfaat Dan Reaksinya
rumusrumus.com

Struktur Lewis Pengertian Lambang Cara Menggambarkan Dan Contohnya Blog Kimia
blogmipa-kimia.blogspot.com

Http Tekim Undip Ac Id Staf Istadi Files 2012 10 Arianaaisa 21030112130102 Rabupagi Pdf

Senyawa Koordinasi Senyawa Kompleks
studylibid.com

Maret 2014 Blog Urip Guru Kimia
urip.wordpress.com

Senyawa Koordinasi Teknik Kimia Undip
studylibid.com

Gaya Antar Molekul Nh3 Rumus Co Id
rumus.co.id

Ikatan Kimia Bentuk Molekul Ppt Download
slideplayer.info

Amonia Adalah Senyawa Kimia Dengan Rumus Nh3
id.scribd.com

Ion Kompleks
pt.slideshare.net

Perbedaan Antara Amonia Dan Amonium Hidroksida 2020
id.bccrwp.org

Bentuk Molekul Berdasarkan Teori Domain Elektron Teori Vsepr Materi Kimia
materikimia.com

Sekolah Menengah Atas Negeri 7
studylibid.com

Alwi Meidianto 21030112130103 Rabu 10 30
id.scribd.com

Bentuk Molekul Teori Domain Elektron Teori Ikatan Valensi Hibridisasi
soalkimia.com

Amonia Tribunnewswiki Com Mobile
www.tribunnewswiki.com

Ammonia Nh3
id.scribd.com

Bentuk Molekul Pegembangan Pembelajaran Hots Rpp Lks
www.slideshare.net

Https Encrypted Tbn0 Gstatic Com Images Q Tbn 3aand9gcrlhrw4bi0hekevwtipeudpzuezvhc0ll08 Qnizcyzafxh80gi Usqp Cau
encrypted-tbn0.gstatic.com

Kelas X Arsip Laman 2 Dari 39 Materikimia
materikimia.com

Rangkuman Kimia Terapan David
www.slideshare.net

Klasifikasi Materi Dan Perubahannya Kelas 7 Quizizz
quizizz.com

Struktur Lewis Kelompok61ka5blog
kelompok61ka5blog.wordpress.com

Jual Ammonia Amoniak Nh3 Nh4oh Pro Analis 25 250 Ml Kota Bandung Rofa Laboratorium Centre Tokopedia
www.tokopedia.com

Rumus Kimia Tatanama Dan Pers Reaksi
www.slideshare.net

Https Encrypted Tbn0 Gstatic Com Images Q Tbn 3aand9gcr23qd09yo2txuvlgfeocgrktxcxuyuscrfrtnerhvdtrb7mjrl Usqp Cau
encrypted-tbn0.gstatic.com

Molekul Nh3 Dapat Bergabung Dengan Molekul Bf3 Membentuk Nh3bf3 Gambarkan Rumus Titik Elektron Brainly Co Id
brainly.co.id

Tugas Akhir Kimia
studylibid.com

Bentuk Molekul Berdasarkan Teori Domain Elektron Ilmu Kimia Untuk Indonesia
kimiaekspansi.blogspot.com

Tugas Pik 1 4 Sekar Utami Nh3
id.scribd.com

Tugas Kimia Tik Prof Edi Cahyono M Si Ppt Download
slideplayer.info

Komponen Komponen Materi Ppt Download
slideplayer.info

Bentuk Molekul
riri-kimia.blogspot.com

Hibridisasi Kimia Kelas 10 Pengertian Tipe Cara Menentukan Dan Contoh Soal
www.quipper.com

Amonia Adalah Senyawa Kimia Dengan Rumus Nh3
pdfslide.tips

Rumus Kimia Dari Nh3 Cu Oh Ca Oh 2 Ba Oh 2 Brainly Co Id
brainly.co.id

Coordination Compounds
studylibid.com

Gambarkan Struktur Lewis Dari Molekul Bf3 Nh3 Serta Tunjukkanlah Jenis Jenis Ikatan Yang Terdapat Brainly Co Id
brainly.co.id

Bentuk Molekul
riri-kimia.blogspot.com

Struktur Lewis Nh3 Blog Urip Guru Kimia
urip.wordpress.com

Arianaaisa 21030112130102 Rabupagi Teknik Kimia Undip
www.yumpu.com

Soal Bentuk Molekul Senyawa Nh3 Oktahedral Gupak Com
www.gupak.com

Cara Menentukan Pei Dan Peb Dalam Kimia Materikimia
materikimia.com

Ramalkan Bentuk Molekul Nh3 Nomor Atom N 7 H 1 Brainly Co Id
brainly.co.id

Gambar Struktur Lewis Dari A Hf C H2so4 B Nh3 D Ch4 Brainly Co Id
brainly.co.id

Tentukan Kepolaran Dari Senyawa Nh3 Brainly Co Id
brainly.co.id

close