Sangat Membantu

Rumus Momen Inersia Batang


Contoh Soal Momen Inersia Batang Homogen Lengkap Dengan Pembahasannya Soal 3 Youtube
www.youtube.com

Momen Inersia Pengertian Konsep Rumus Contoh Tabel
www.gurupendidikan.co.id

Momen Inersia
pdfslide.tips

Momen Inersia
id.scribd.com

Rumus Momen Inersia Beserta Faktor Dan Contoh Soalnya
rumus.co.id

Pengertian Momen Inersia Rumus Contoh Dan Pembahasannya Pelajaran Sekolah Online
www.pelajaran.co.id

Momen Inersia Konsep Rumus Contoh Soal Momen Inersia
www.studiobelajar.com

Momen Inersia Penampang
share.its.ac.id

Konsep Rumus Contoh Soal Momen Inersia Fouronstate
fouronstate.com

Momen Gaya Momen Inersia
fisikastudycenter.com

Https Encrypted Tbn0 Gstatic Com Images Q Tbn 3aand9gctnymilhk51nruuloe5mamcq8rkmts2hpu9wyxu0aurib5v6lxq Usqp Cau
encrypted-tbn0.gstatic.com

Contoh Soal Momen Inersia Dan Penyelesaiannya Pembahasan Soalfismat Com
soalfismat.com

Momen Inersia Pengertian Penerapan Rumus Dan Contoh Soalnya
4winmobile.com

Penurunan Rumus Momen Inersia Berbagai Benda Lengkap Dengan Penjelasannya Fisika
filosofiberselimutmatematika.blogspot.com

Dinamika Rotasi Dan Kesetimbangan
studylibid.com

Momen Inersia Pengertian Rumus Tabel Contoh Dan Konsep
www.pintarnesia.com

Doc Contoh Momen Inersia Di Semua Bidang Fauzan Bagas Academia Edu
www.academia.edu

Konsep Momen Inersia Atau Kelembaman Pada Gerak Translasi
www.utakatikotak.com

Momen Inersia 4muda Com
www.4muda.com

Pengertian Dan Rumus Momen Inersia Serta Contohnya
www.isplbwiki.net

Momen Inersia Pengertian Dan Contoh Soal Momen Inersia Lengkap
gurusekolah.co.id

Konsep Momen Inersia Atau Kelembaman Pada Gerak Translasi
www.utakatikotak.com

Momen Inersia Dan Tenaga Kinetik Rotasi
fisikazone.com

Kumpulan Rumus Momen Inersia Untuk Beberapa Benda Khusus
www.edutafsi.com

Momen Inersia Dan Contoh Contoh Soal Beserta Jawabannya
www.pinterpandai.com

Bab 13 Momen Inersia
www.slideshare.net

Momen Gaya Dan Momen Inersia Pengertian Rumus Dan Contohnya
soalkimia.com

Momen Gaya Momen Inersia
fisikastudycenter.com

Lihat Benda Beputar Ingat Momen Inersia Quipper Blog
www.quipper.com

Momen Inersia Rumus Contoh Soal Dan Penjelasannya
saintif.com

Contoh Soal Dan Jawaban Momen Gaya Guru Ilmu Sosial
www.ilmusosial.id

Sebuah Batang Panjangnya L Massa M Dan Sumbu Rotasi Terletak 1 3 L Dari Ujung Kiri Batang Brainly Co Id
brainly.co.id

Momen Inersia Tanpa Kalkulus Pdf Yohanes Surya Com
www.yumpu.com

Momen Inersia Rumus Contoh Soal Dan Penjelasannya
saintif.com

Of103 Dinamika Rotasi Pembahasan Soal Olimpiade Momen Inersia Cakram Silinder Berongga Youtube
www.youtube.com

Momen Inersia Silinder Pejal Ardra Biz
ardra.biz

Yudhe1 This Wordpress Com Site Is The Bee S Knees
yudhe1.wordpress.com

Momen Inersia Energi Kinetik
pdfslide.tips

Momen Inersia Berbagai Benda Fisika Sma Smk Detail Catatan Mejakita
www.mejakita.com

Momen Inersia Pembelajaran Fisika
fisika79.wordpress.com

Momen Inersia Pengertian Rumus Penerapan Soal
rumuspintar.com

Kelas Xi
fisikakontekstual.com

Momen Inersia 4muda Com
www.4muda.com

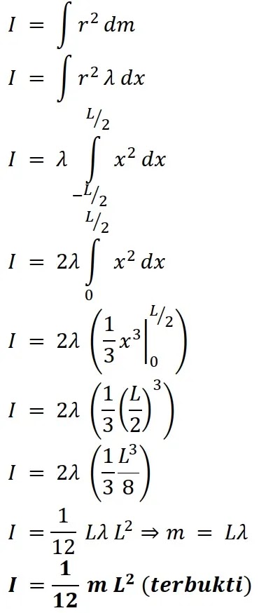
Penurunan Rumus Momen Inersia Pada Batang Di Pusat Massa Edukasi Dunia
edukasicommunity.blogspot.com

Torsi Momen Inersia Momentum Anguler Energi Kinetik Rotasi
studylibid.com

1
encrypted-tbn0.gstatic.com

Momen Inersia Rumus Contoh Soal Dan Penjelasannya
saintif.com

Menurunkan Momen Inersia Segitiga Menggunakan 2 Cara Youtube
www.youtube.com

Momen Inersia Konsep Rumus Contoh Soal Momen Inersia
www.studiobelajar.com

Momen Inersia
dokumen.tips

Momen Inersia Silinder Pejal Ardra Biz
ardra.biz

Rumus Momen Inersia Rumushitung Com
rumushitung.com

Momen Inersia Silinder Pejal Ardra Biz
ardra.biz

Momen Inersia Yanisadamayanti
yannisadamayanti07.wordpress.com

Momen Inersia Di Ujung Dan Di Tengah Batang Homogen Unas Sma Fisika 2016 Drill 001 No 12 Youtube
www.youtube.com

Soal Dan Pembahasan Momen Gaya Dan Momen Inersia Doc Document
fdokumen.com

Dinamika Rotasi Fisika Kelas 11 Quipper Blog
www.quipper.com

Bab 5 Dinamika Rotasi 5 1 Momen Inersia 5 2 Torsi 5 3 Momentum Sudut Ppt Download
slideplayer.info

1 Tentukan Momen Inersia Batang Homogen Yang Diameternya 4cm Panjang 2m Dan Massanya 8kg Terhadap Brainly Co Id
brainly.co.id

Pengertian Dan Rumus Momen Inersia Lengkap Semua Ada
ssemuaadadisini.blogspot.com

Rumus Momen Inersia Beserta Faktor Dan Contoh Soal
moztrip.com

Penurunan Rumus Momen Inersia Pada Batang Di Pusat Massa Garda Pengetahuan
garda-pengetahuan.blogspot.com

Momen Inersia Konsep Rumus Contoh Soal Momen Inersia
www.studiobelajar.com

Lihat Benda Beputar Ingat Momen Inersia Quipper Blog
www.quipper.com

Penurunan Rumus Momen Inersia Persegi Panjang Dan Silinder Pejal
id.scribd.com

Momen Inersia Penampang
share.its.ac.id

Momen Inersia Konsep Rumus Contoh Soal Momen Inersia
www.studiobelajar.com

Contoh Soal Dan Pembahasan Momen Gaya Dan Momen Inersia
www.slideshare.net

Momen Gaya Dan Momen Inersia Pengertian Rumus Dan Contoh Soal Haloedukasi Com
haloedukasi.com

Momen Inersia 4muda Com
www.4muda.com

Pengertian Momen Inersia Dan Penurunan Rumusnya Pelita Ilmu
pelitahijau.blogspot.com

Gerak Rotasi Benda Tegar
sumberbelajar.belajar.kemdikbud.go.id

Konsep Momen Inersia Fisika Sekolah
www.fisikasekolah.com

Teori Momen Inersia Dan Rumus Momen Inersia Beberapa Benda
fisikazone.com

F103 Dinamika Rotasi Momen Inersia Silinder Berongga Youtube
www.youtube.com

Momen Inersia Konsep Rumus Contoh Soal Momen Inersia
www.studiobelajar.com

Rumus Momen Inersia Lengkap Dengan Contohnya Pinterkelas
pinterkelas.com

Momen Inersia Silinder Pejal Ardra Biz
ardra.biz

Soal Dan Pembahasan Momen Gaya Dan Momen Inersia
id.scribd.com

Momen Inersia Pengertian Rumus Dan Faktor Yang Mempengaruhi Ets Worlds
www.etsworlds.id

Kumpulan Rumus Dinamika Rotasi Dan Keterangan Simbol Soalfismat Com
soalfismat.com

Momen Inersia Pengertian Rumus Penerapan Soal
rumuspintar.com

Momen Inersia Pengertian Rumus Jenis Contoh Soal Latihan
bacaboy.com

1
encrypted-tbn0.gstatic.com

Https Encrypted Tbn0 Gstatic Com Images Q Tbn 3aand9gcrrjzfx6uskoyhdrzijj8ybpdwoupaixlcteuk8s1zlsfepez1k Usqp Cau
encrypted-tbn0.gstatic.com

Momen Inersia Ayo Sekolah Fisika
www.ayo-sekolahfisika.com

Cara Penurunan Rumus Momen Inersia Batang Artikel Ilmu
gardaartikelsains.blogspot.com

Penurunan Rumus Momen Inersia Berbagai Benda Lengkap Dengan Penjelasannya Fisika
filosofiberselimutmatematika.blogspot.com

Makalah Momen Inersia Pdf Free Download
docplayer.info

Momen Inersia Pengertian Momen Rumus Contoh Penerapan
pengajar.co.id

Pengertian Dan Rumus Momen Inersia Serta Contohnya Berpendidikan Com
www.berpendidikan.com

Momen Inersia Toling Dong Yang Bisa Brainly Co Id
brainly.co.id

Contoh Soal Lengkap Pembahasan Momen Inersia
www.utakatikotak.com

Momen Inersia Konsep Rumus Contoh Soal Momen Inersia
www.studiobelajar.com

Momen Inersia Rumus Contoh Soal Dan Penjelasannya
saintif.com

Prolog Materi Pengertian Definisi Rumus Aplikasi Momen Inersia Zenius Net
www.zenius.net

Rumus Momen Inersia Dan Contoh Soalnya Paling Lengkap
rumusrumus.com

Bab 7 Momen Inersia
id.scribd.com

Konsep Momen Inersia Analisa Www Indonesiana Id
www.indonesiana.id

Contoh Soal Dan Pembahasan Momen Inersia Guru Ilmu Sosial
www.ilmusosial.id

Rumus Momen Inersia Dan Contoh Soalnya Materiipa Com
materiipa.com

Contoh Soal Momen Inersia Gurumuda Net
gurumuda.net

Momen Inersia Konsep Rumus Contoh Soal Momen Inersia
www.studiobelajar.com

Penurunan Rumus Momen Inersia Persegi Panjang Dan Silinder Pejal
www.scribd.com

close