Sangat Membantu

Rumus Momen Inersia Bola


Pengertian Momen Inersia Rumus Contoh Dan Pembahasannya Pelajaran Sekolah Online
www.pelajaran.co.id

Momen Inersia Rumus Contoh Soal Dan Penjelasannya
saintif.com

Pengertian Momen Inersia Rumus Contoh Dan Pembahasannya Pelajaran Sekolah Online
www.pelajaran.co.id

Momen Inersia Pengertian Konsep Rumus Contoh Tabel
www.gurupendidikan.co.id

Momen Inersia Rumus Contoh Soal Dan Penjelasannya
saintif.com

Momen Inersia Bola Pejal Ardra Biz
ardra.biz

Penurunan Rumus Momen Inersia Persegi Panjang Dan Silinder Pejal
id.scribd.com

F I S I K A
www.slideshare.net

Momen Inersia Konsep Rumus Contoh Soal Momen Inersia
www.studiobelajar.com

Pengertian Dan Rumus Momen Inersia Serta Contohnya Berpendidikan Com
www.berpendidikan.com

Momen Inersia Konsep Rumus Contoh Soal Momen Inersia
www.studiobelajar.com

Penurunan Rumus Momen Inersia Bola Berongga Edukasi Dunia
edukasicommunity.blogspot.com

Penurunan Rumus Momen Inersia Silinder Pejal Garda Pengetahuan
garda-pengetahuan.blogspot.com

Penurunan Rumus Momen Inersia Bola Pejal Singkat Garda Pengetahuan
garda-pengetahuan.blogspot.com

Momen Inersia 4muda Com
www.4muda.com

Dunia Pendidikan 2016
didik-dunia.blogspot.com

Pengertian Momen Inersia Dan Penurunan Rumusnya Pelita Ilmu
pelitahijau.blogspot.com

Momen Inersia Bola Pejal Ardra Biz
ardra.biz

Rumus Momen Inersia Lengkap Dengan Contohnya Pinterkelas
pinterkelas.com

Momen Inersia Pengertian Momen Rumus Contoh Penerapan
pengajar.co.id

Momen Inersia Bola Pejal Ardra Biz
ardra.biz

Pengertian Momen Inersia Rumus Contoh Dan Pembahasannya Pelajaran Sekolah Online
www.pelajaran.co.id

Prolog Materi Pengertian Definisi Rumus Aplikasi Momen Inersia Zenius Net
www.zenius.net

Momen Inersia Pengertian Dan Contoh Soal Momen Inersia Lengkap
gurusekolah.co.id

Momen Inersia Tanpa Kalkulus Pdf Yohanes Surya Com
www.yumpu.com

Rumus Momen Inersia Dan Contoh Soalnya Materiipa Com
materiipa.com

Momen Inersia Rumus Contoh Soal Dan Penjelasannya
saintif.com

Momen Inersia Pengertian Konsep Rumus Contoh Tabel
www.gurupendidikan.co.id

Momen Inersia Pengertian Konsep Rumus Contoh Tabel
www.gurupendidikan.co.id

Momen Inersia Konsep Rumus Contoh Soal Momen Inersia
www.studiobelajar.com

Fisika Kelas 11 Cara Gampang Memahami Konsep Momen Inersia
blog.ruangguru.com

Contoh Soal Dan Pembahasan Momen Inersia Guru Ilmu Sosial
www.ilmusosial.id

Momen Inersia Konsep Rumus Contoh Soal Momen Inersia
www.studiobelajar.com

Teori Momen Inersia Dan Rumus Momen Inersia Beberapa Benda
fisikazone.com

Momen Inersia Konsep Rumus Contoh Soal Momen Inersia
www.studiobelajar.com

Momen Inersia 4muda Com
www.4muda.com

Asyik Fisika 08
www.slideshare.net

Momen Inersia Dan Contoh Contoh Soal Beserta Jawabannya
www.pinterpandai.com

Rumus Momen Inersia Dan Contoh Soalnya Paling Lengkap
rumusrumus.com

Of103 Dinamika Rotasi Pembahasan Soal Olimpiade Momen Inersia Cakram Silinder Berongga Youtube
www.youtube.com

Rumus Momen Inersia Rumushitung Com
rumushitung.com

Penurunan Rumus Momen Inersia Persegi Panjang Dan Silinder Pejal
id.scribd.com

Konsep Momen Inersia Atau Kelembaman Pada Gerak Translasi
www.utakatikotak.com

Rumus Momen Inersia Rumushitung Com
rumushitung.com

Momen Inersia Rumus Contoh Soal Dan Penjelasannya
saintif.com

Fisika Xi
yoskin.wordpress.com

Free Momen Inersia Bola Pejal Pdf Free Momen Inersia Tanpa Kalkulus Yohanes Surya Com
pdfslide.tips

Kumpulan Rumus Momen Inersia Untuk Beberapa Benda Khusus
www.edutafsi.com

Penurunan Rumus Momen Inersia Bola Pejal Docx
es.scribd.com

Kelas Xi
fisikakontekstual.com

Contoh Soal Momen Inersia Dan Penyelesaiannya Pembahasan Soalfismat Com
soalfismat.com

Momen Inersia Pengertian Konsep Rumus Contoh Tabel
www.gurupendidikan.co.id

Momen Inersia Yanisadamayanti
yannisadamayanti07.wordpress.com

Momen Inersia Pengertian Konsep Rumus Contoh Tabel
www.gurupendidikan.co.id

Rumus Momen Inersia Dan Contoh Soalnya Materiipa Com
materiipa.com

F103 Dinamika Rotasi Momen Inersia Silinder Berongga Youtube
www.youtube.com

Rumus Momen Inersia Beserta Faktor Dan Contoh Soalnya
rumus.co.id

Teknik Fisika Indonesia Penurunan Rumus Momen Inersia Bola Pejal
imadfisika.blogspot.com

Momen Inersia 4muda Com
www.4muda.com

Rumus Momen Inersia Beserta Faktor Dan Contoh Soal
moztrip.com

Doc Contoh Momen Inersia Di Semua Bidang Fauzan Bagas Academia Edu
www.academia.edu

Rumus Momen Inersia Beserta Faktor Dan Contoh Soalnya
rumus.co.id

Contoh Soal Dan Pembahasan Momen Gaya Dan Momen Inersia
www.slideshare.net

Fisika Kelas 11 Cara Gampang Memahami Konsep Momen Inersia
blog.ruangguru.com

Lihat Benda Beputar Ingat Momen Inersia Quipper Blog
www.quipper.com

Bola Basket Bermassa 750 G Diputar Melalui Pusatnya Jika Jari Jari Bola Basket 20cm Momen Inersia Brainly Co Id
brainly.co.id

Pembuktian Momen Inersia Benda Tegar Silinder Pejal Youtube
www.youtube.com

Penurunan Rumus Momen Inersia Bola Pejal Edukasi Dunia
edukasicommunity.blogspot.com

Momen Inersia Gerak Rotasi Berbagai Benda Tegar Homogen Fisika Zone
fisikazone.com

Momen Inersia
es.scribd.com

Contoh Soal Momen Inersia Dan Penyelesaiannya Pembahasan Soalfismat Com
soalfismat.com

Momen Inersia Berbagai Benda Fisika Sma Smk Detail Catatan Mejakita
www.mejakita.com

Fisika Kelas 11 Cara Gampang Memahami Konsep Momen Inersia
blog.ruangguru.com

Dinamika Rotasi Fisika Kelas 11 Quipper Blog
www.quipper.com

Momen Inersia Bola Pejal Ardra Biz
ardra.biz

Momen Inersia Pembelajaran Fisika
fisika79.wordpress.com

Momen Inersia Konsep Rumus Contoh Soal Momen Inersia
www.studiobelajar.com

Benda Pejal Bermassa M Mempunyai Momen Inersia I Kmr Menggelinding Pada Bidang Miring Dengan Sudut Brainly Co Id
brainly.co.id

Momen Inersia Pengertian Konsep Rumus Contoh Tabel
www.gurupendidikan.co.id

Contoh Soal Momen Inersia Gurumuda Net
gurumuda.net

Momen Inersia Pengertian Konsep Rumus Contoh Tabel
www.gurupendidikan.co.id

Momen Inersia Benda Kontinu Benda Tegar
mafia.mafiaol.com

Dinamika Rotasi Momen Inersia Pembahasan Soal Dan Jawaban Un Fisika Sma Ma 2013 Gurumuda Net
gurumuda.net

Momen Inersia Pengertian Penerapan Rumus Dan Contoh Soalnya
4winmobile.com

Penuruman Rumus Memen Inersia Bola Pejal Fisika Pak Salim
www.fisika.idsalim.com

Jika Momen Inersia Sebuah Bola Terhadap Suatu Sumbu Melalui Pusat Bola Adalah I Mas Dayat
www.masdayat.net

Momen Inersia Pengertian Konsep Rumus Contoh Tabel
www.gurupendidikan.co.id

Jika Momen Inersia Sebuah Bola Terhadap Suatu Sumbu Melalui Pusat Bola Adalah I Mas Dayat
www.masdayat.net

Pengertian Dan Rumus Momen Inersia Lengkap Anto Tunggal
www.antotunggal.com

Pembuktian Momen Inersia Benda Tegar Bola Pejal Youtube
www.youtube.com

Penurunan Rumus Momen Inersia Bola Pejal Docx
id.scribd.com

Penurunan Rumus Momen Inersia Bola Pejal Edukasi Dunia
edukasicommunity.blogspot.com

F103 Dinamika Rotasi Momen Inersia Cakram Silinder Youtube
www.youtube.com

Https Encrypted Tbn0 Gstatic Com Images Q Tbn 3aand9gcqiho 67kllaa3tvfyp9ybb8mf0bzekp2f3tmqdjwddfjyxph2x Usqp Cau
encrypted-tbn0.gstatic.com

Momen Inersia Pdf Document
vdocuments.site

Momen Inersia Konsep Rumus Contoh Soal Momen Inersia
www.studiobelajar.com

Rumus Momen Inersia Beserta Faktor Dan Contoh Soalnya
rumus.co.id

Lihat Benda Beputar Ingat Momen Inersia Quipper Blog
www.quipper.com

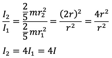
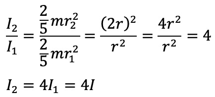
Perbandingan Momen Inersia Bola Pejal Dengan Bola Tipis Dengan Jari Jari Yang Sama Dan Massa Bola Brainly Co Id
brainly.co.id

Momen Inersia Pengertian Rumus Dan Faktor Yang Mempengaruhi Ets Worlds
www.etsworlds.id

Rumus Momen Inersia Dan Contoh Soalnya Materiipa Com
materiipa.com

close