Sangat Membantu

Rumus Notasi Sigma


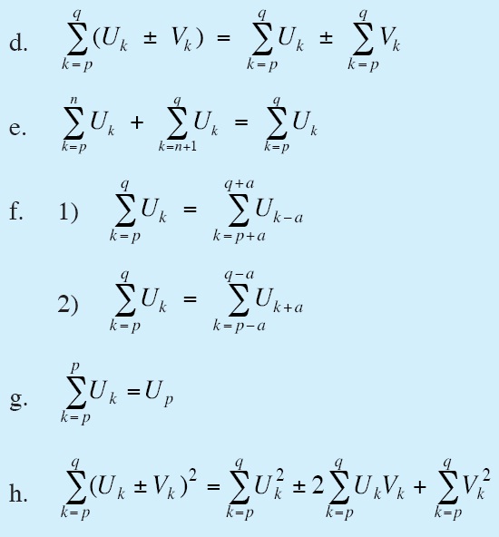
Notasi Sigma Adalah Sebuah Tanda Yang Digunakan Untuk Menuliskan Suatu Penjumlahan Secara Singkat
www.scribd.com

Pengertian Sifat Dan Rumus Notasi Sigma Matematika
rumusrumus.com

1
encrypted-tbn0.gstatic.com

Rangkuman Barisan Dan Deret
maths.id

Pengertian Dan Contoh Soal Notasi Sigma Rumus Matematika
rumus-matematika.com

Rumus Cepat Notasi Sigma Guru Ilmu Sosial
www.ilmusosial.id

Pembuktian Soal Rumus Matematika
rumus-matematika.com

Soal Dan Jawaban Notasi Sigma Guru Paud
www.gurupaud.my.id

Notasi Sigma Dan Sifat Sifatnya Konsep Matematika Koma
www.konsep-matematika.com

Tuliskan Rumus Rumus Notasi Sigma Brainly Co Id
brainly.co.id

Ow1zrmdfwdlmvm

Notasi Sigma Untuk Menyatakan 2 6 10 14 18 130 134 Adalah Brainly Co Id
brainly.co.id

Nyatakan Deret Aritmetika Berikut Dalam Bentuk Notasi Sigma A 1 4 7 10 13 13 16 19 Mas Dayat
www.masdayat.net

Https Encrypted Tbn0 Gstatic Com Images Q Tbn 3aand9gcqmrgjb8n3 Kponcwew5v 8rcz2e6pjhbkabhtstxqfhrv5 Deh Usqp Cau
encrypted-tbn0.gstatic.com

Soal Soal Notasi Sigma Barisan Deret Dan Induksi Matematika Pembahasan
www.scribd.com

Pengertian Rumus Dan Sifat Sifat Notasi Sigma Dan Induksi Matematika
www.guruvokasi.com

Pengertian Rumus Dan Sifat Sifat Notasi Sigma Idschool
idschool.net

Contoh Soal Barisan Dan Deret Aritmatika Geometri Pengertian Rumus Sifat Sifat Notasi Sigma Tak Hingga Hitung Keuangan Bunga Tunggal Majemuk Anuitas Matematika
www.nafiun.com

Pola Bil Barisan Dan Notasi Sigma
www.slideshare.net

Rangkuman Rumus Matematika Notasi Sigma Kang Dimas
www.studiotutorialpembelajaran.com

Memahami Konsep Dan Contoh Soal Notasi Sigma
statmat.id

Notasi Sigma Materi Lengkap Matematika
www.materimatematika.com

Notasi Sigma Barisan Deret Dan Induksi
studylibid.com

Everyone Loves Math Menjadi Master Materi Notasi Sigma Dalam 3o Menit
selmamath.blogspot.com

18 Soal Soal Notasi Sigma Barisan Deret Dan Induksi Matematika
www.slideshare.net

Soal Notasi Sigma Dan Induksi Matematika Pdf Kumpulan Soal Pelajaran 7
kumpulansoal-117.blogspot.com

Barisan Deret 1
id.scribd.com

Materi Notasi Sigma Learn To Care Share
paktholib.wordpress.com

1
encrypted-tbn0.gstatic.com

Notasi Sigma Materi Lengkap Matematika
www.materimatematika.com

Pengertian Sifat Dan Rumus Notasi Sigma Matematika
rumusrumus.com

Soal Dan Pembahasan Notasi Sigma 1 5 Istana Mengajar
istanamengajar.wordpress.com

Pelajaran Soal Rumus Sifat Notasi Sigma Wardaya College
www.wardayacollege.com

Notasi Sigma Untuk Deret Bilangan Berurutan Ilmu Hitung
ilmuhitung.com

Contoh Soal Notasi Sigma Pilihan Ganda Dan Jawaban
soalkimia.com

M302 Aljabar Notasi Sigma Youtube
www.youtube.com

Soal Dan Pembahasan Notasi Sigma Mathcyber1997
mathcyber1997.com

Soal Notasi Sigma 2 Fazanugas Youtube
m.youtube.com

Contoh Soal Dan Pembahasan Notasi Sigma Guru Ilmu Sosial
www.ilmusosial.id

Notasi Sigma Ppt Download
slideplayer.info

Pengertian Notasi Sigma Rumus Dan Sifat Sifatnya
rumusbilangan.com

Cara Cepat Menentukan Rumus Notasi Sigma Contoh 2 No 1 Youtube
www.youtube.com

Contoh Soal Notasi Sigma Pilihan Ganda Dan Jawaban
soalkimia.com

Test Ketelitian Tes Tiu Tips Menjawab Deret Huruf Ejoty Notasi Sigma Pengertian Rumus Sifat Dan Contoh Soal 100 Contoh Soal Ps Di 2020 Huruf Psikologi Penelitian
id.pinterest.com

Contoh Soal Notasi Sigma Dan Pembahasannya Soalfismat Com
soalfismat.com

Info Dan Berita Populer 3 Soal Notasi Sigma Beserta Jawaban
budisastro.blogspot.com

Info Dan Berita Populer 8 Soal Tentang Notasi Sigma
theravansbabyshop.blogspot.com

Info Dan Berita Populer 3 Soal Notasi Sigma Pdf
budisastro.blogspot.com

Contoh Soal Notasi Sigma Pilihan Ganda Dan Jawaban
soalkimia.com

Pengertian Rumus Dan Sifat Sifat Notasi Sigma Dan Induksi Matematika
www.guruvokasi.com

Notasi Sigma Konsep Sifat Sifat Contoh Soal Dan Pembahasan M4th Lab
www.m4th-lab.net

Soal Dan Jawaban Notasi Sigma Guru Paud
www.gurupaud.my.id

Dellaa Hiatus V Twitter Catatan Notasi Sigma Mat Wajib Kelas 11 Smt 1 Materi Ini Termasuk Ke Bab Induksi Ya Jadi Ini Sub Bab Nya Tapi Lebih Baik Pelajarin Ini Dulu Karna
twitter.com

Soal Dan Pembahasan Notasi Sigma 1 5 Istana Mengajar
istanamengajar.wordpress.com

Pengertian Sifat Dan Rumus Notasi Sigma Matematika
rumusrumus.com

Memahami Konsep Dan Contoh Soal Notasi Sigma
statmat.id

Penerapan Sifat Kelinearan Sigma Untuk Menentukan Rumus Jumlah Bilang
www.slideshare.net

Memahami Konsep Dan Contoh Soal Notasi Sigma
statmat.id

Penerapan Sifat Kelinearan Sigma Untuk Menentukan Rumus Jumlah Bilang
www.slideshare.net

Notasi Sigma Pengertian Bentuk Umum Dan Contoh Soal
majalahpendidikan.com

Pengertian Rumus Dan Sifat Sifat Notasi Sigma Idschool
idschool.net

Contoh Soal Notasi Sigma Pilihan Ganda Dan Jawaban
soalkimia.com

Membuktikan Rumus Dengan Induksi Matematika Zenius Blog
www.zenius.net

Rumus Cepat Notasi Sigma Guru Ilmu Sosial
www.ilmusosial.id

Pengertian Sifat Dan Rumus Notasi Sigma Matematika
rumusrumus.com

Induksi Matematika
id.scribd.com

Pengertian Dan Contoh Soal Notasi Sigma Rumus Matematika
rumus-matematika.com

Https Encrypted Tbn0 Gstatic Com Images Q Tbn 3aand9gct 8ruidshnqcxa0qcny7yuqdyf4uqkdu2abovltj1k6stxauwm Usqp Cau
encrypted-tbn0.gstatic.com

Notasi Sigma Pengertian Materi Sifat Rumus Dan Contoh Soalnya Lengkap Tutorialbahasainggris Co Id
tutorialbahasainggris.co.id

Pelajaran Soal Rumus Notasi Sigma Wardaya College
www.wardayacollege.com

Pembahasan Soal Notasi Sigma Guru Ilmu Sosial
www.ilmusosial.id

Contoh Soal Barisan Dan Deret Aritmatika Geometri Pengertian Rumus Sifat Sifat Notasi Sigma Tak Hingga Hitung Keuangan Bunga Tunggal Majemuk Anuitas Matematika
www.nafiun.com

Notasi Sigma Archives Halaman 2 Dari 5 Mathcyber1997
mathcyber1997.com

Dengan Memakai Rumus Notasi Sigma Tentukan Nilai Dari 1 2 3 20 Brainly Co Id
brainly.co.id

Pengertian Dan Contoh Soal Notasi Sigma Rumus Matematika
rumus-matematika.com

6 Integral Ppt Download
slideplayer.info

Contoh Soal Notasi Sigma Dan Pembahasannya Berbagai Contoh
berbagaicontoh.com

Pembahasan Soal Notasi Sigma Guru Ilmu Sosial
www.ilmusosial.id

Notasi Sigma Pengertian Bentuk Umum Dan Contoh Soal
majalahpendidikan.com

Info Dan Berita Populer 3 Soal Notasi Sigma Dan Penyelesaiannya
budisastro.blogspot.com

Rumus Cepat Notasi Sigma Guru Ilmu Sosial
www.ilmusosial.id

Notasi Sigma Materi Lengkap Matematika
www.materimatematika.com

Pengertian Notasi Sigma Rumus Dan Sifat Sifatnya
rumusbilangan.com

Penerapan Sifat Kelinearan Sigma Untuk Menentukan Rumus Jumlah Bilang
www.slideshare.net

Pengertian Dan Contoh Soal Notasi Sigma Rumus Matematika
rumus-matematika.com

Notasi Sigma Materi Lengkap Matematika
www.materimatematika.com

Anti Turunan Pendahuluan Luas Notasi Sigma Ppt Download
slideplayer.info

Notasi Sigma Materi Lengkap Matematika
www.materimatematika.com

Matematika Akuntansi By Niena Vianora Issuu
issuu.com

Pembuktian Notasi Sigma Dengan Induksi Matematika
caramengerjakancepat.web.app

Info Dan Berita Populer 8 Contoh Soal Notasi Sigma Dalam Bentuk Pecahan
theravansbabyshop.blogspot.com

Pelajaran Soal Rumus Sifat Notasi Sigma Wardaya College
www.wardayacollege.com

Rumus Cepat Notasi Sigma Guru Ilmu Sosial
www.ilmusosial.id

Sifat Notasi Sigma Dan Pembuktian
www.utakatikotak.com

Rumus Cepat Notasi Sigma Guru Ilmu Sosial
www.ilmusosial.id

Soal Dan Pembahasan Notasi Sigma 1 5 Istana Matematika
istanamatematika.com

Soal Pilihan Ganda Induksi Matematika Kelas 11 Doc
kuncijawabans.web.app

Memahami Konsep Dan Contoh Soal Notasi Sigma
statmat.id

Penerapan Sifat Kelinearan Sigma Untuk Menentukan Rumus Jumlah Bilang
www.slideshare.net

Induksi Matematika Rumus Lengkap Kelas 11 Dan Contohnya Sifat Sifat Notasi Sigma Youtube
www.youtube.com

Hitunglah Nilai Penjumlahan Notasi Sigma Berikut Brainly Co Id
brainly.co.id

Contoh Soal Notasi Sigma Penjumlahan Kumpulan Soal Pelajaran 8
soalujian-78.blogspot.com

Info Dan Berita Populer 3 Soal Notasi Sigma
budisastro.blogspot.com

Contoh Soal Notasi Sigma Pilihan Ganda Dan Jawaban
soalkimia.com

close