Sangat Membantu

Rumus Pecahan Pembagian


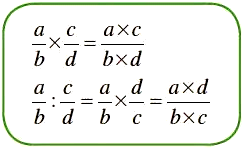
Perkalian Dan Pembagian Bilangan Pecahan Belajar Mtk
www.belajarmtk.com

Cara Kilat Operasi Hitung Pecahan Jumlah Kurang Kali Bagi Soal
hindayani.com

Rumus Pembagian Pecahan Campuran Biasa Desimal Contoh Soal
rumusrumus.com

Cara Mengerjakan Bagi Kurung Guru Ilmu Sosial
www.ilmusosial.id

Cara Perkalian Dan Pembagian Pecahan
www.ruangcerdasku.com

Penjumlahan Dan Pengurangan Bilangan Pecahan
www.belajarmtk.com

Rumus Pembagian Pecahan Campuran Biasa Desimal Contoh Soal
www.utakatikotak.com

Pengertian Rumus Dan Contoh Perkalian Pecahan Serta Pemahamannya Terlengkap Pelajaran Sekolah Online
www.pelajaran.co.id

Contoh Soal Operasi Hitung Campuran Bilangan Cacah Dan Pecahan Kumpulan Soal Pelajaran 8
soalujian-78.blogspot.com

Cara Menghitung Pecahan Biasa Campuran Dan Desimal
bidangstudi.com

Operasi Hitung Pecahan Aljabar Dan Contoh Soalnya
rumusrumus.com

Pecahan Sederhana 4 Cara Menyederhanakan Pecahan Advernesia
www.advernesia.com

Rumus Cepat Perkalian Dan Pembagian Bilangan Pecahan Cara Mudah Anto Tunggal Cute766
cute766.info

Rumus Cepat Perkalian Dan Pembagian Bilangan Pecahan Cara Mudah Cara Ampuh Memahami Matematika Dengan Mudah
lincahmatematika.blogspot.com

Perkalian Pecahan Biasa Bilangan Bulat Campuran Dengan Gambar
rumus.co.id

Operasi Hitung Pecahan Idschool
idschool.net

Operasi Hitung Pecahan Rumus Dan Contoh Soal
rumuspintar.com

Cara Menghitung Pecahan Campuran Yang Benar
caraharian.com

Pengurangan Pecahan Biasa Dan Campuran Beserta Contoh Advernesia
www.advernesia.com

Perkalian Dan Pembagian Pecahan Aljabar
mafia.mafiaol.com

Operasi Hitung Pecahan Rumus Dan Contoh Soal
rumuspintar.com

Pembagian Tiga Pecahan Berturut Turut Youtube
www.youtube.com

Ringkasan Dan Soal Belajar Dari Rumah Tvri 28 April 2020 Matematika Manfaat Betul Pecahan Semua Halaman Bobo
bobo.grid.id

Cara Mudah Perhitungan Pecahan X Lengkap Dengan Contoh Soalnya Berbagi Ilmu Pengetahuan Umum
kumpulan-ilmu-pengetahuan-umum.blogspot.com

Operasi Hitung Pecahan Idschool
idschool.net

Pembagian 3 Pecahan Berturut Turut Rumusrumus Com
rumusrumus.com

Operasi Hitung Pecahan Rumus Dan Contoh Soal
rumuspintar.com

Cara Membagi Pecahan Dengan Bilangan Bulat 7 Langkah
id.wikihow.com

Pembagian Pecahan Campuran Dengan Pecahan Biasa Brainly Co Id
brainly.co.id

Perkalian Pecahan Biasa Dan Campuran Beserta Contoh Advernesia
www.advernesia.com

Tolong Bantu Di Jawab Binggung Pembagian Pecahan Desimal Gk Ad Rumus Thanks Sebelumx Brainly Co Id
brainly.co.id

Pembagian Pecahan Biasa Dan Pecahan Campuran Advernesia
www.advernesia.com

Pembagian Pecahan Biasa Dan Pecahan Campuran Advernesia
www.advernesia.com

Operasi Hitung Pecahan Desimal Pada Pengurangan
www.dosenmatematika.co.id

Operasi Hitung Pecahan Biasa Kumpulan Rumus Matematika
rumusonline.com

1
encrypted-tbn0.gstatic.com

Operasi Hitung Pecahan Rumus Dan Contoh Soal
rumuspintar.com

Https Encrypted Tbn0 Gstatic Com Images Q Tbn 3aand9gctp7gl6fojksdrn7g99rdvuit8mmmj6cbq9ix7tjobywbfrbbow Usqp Cau
encrypted-tbn0.gstatic.com

Pelajaran Soal Rumus Pecahan Wardaya College
www.wardayacollege.com

Pembagian Bilangan Asli Dengan Pecahan Campuran Dan Sebaliknya Brainly Co Id
brainly.co.id

4 Cara Untuk Mengubah Pecahan Biasa Menjadi Desimal Wikihow
id.wikihow.com

Cara Cepat Mengerjakan Pembagian Pecahan Youtube
www.youtube.com

Pengurangan Pecahan Biasa Dan Campuran Beserta Contoh Advernesia
www.advernesia.com

Cara Mengerjakan Operasi Hitung Campuran Berbagai Bentuk Pecahan Guru Ilmu Sosial
www.ilmusosial.id

Perkalian Pecahan Biasa Dan Campuran Beserta Contoh Advernesia
www.advernesia.com

Contoh Soal Pecahan Biasa Dan Penyelesaiannya Kumpulan Soal Pelajaran 8
soalujian-78.blogspot.com

Contoh Soal Pecahan Campuran Kelas 5 Sd Semester 1 Kumpulan Soal Pelajaran 8
soalujian-78.blogspot.com

Pengurangan Pecahan Biasa Dan Campuran Beserta Contoh Advernesia
www.advernesia.com

Mengubah Pecahan Biasa Menjadi Pecahan Desimal Menggunakan Pembagian Bersusun Tintus Edu
tintusedu.wordpress.com

Cara Mengubah Pecahan Biasa Ke Persen Dan Sebaliknya
rumusonline.com

Pembagian Pecahan Biasa Campuran Dan Desimal
majalahpendidikan.com

Cara Menghitung Operasi Perkalian Dan Pembagian Pada Bilangan Pecahan Beserta Contohnya Berpendidikan Com
www.berpendidikan.com

Contoh Soal Pecahan Desimal Dan Jawabannya Kelas 5 Sd Kumpulan Soal Pelajaran 8
soalujian-78.blogspot.com

Operasi Hitung Pecahan Biasa Campuran Desimal Dan Persen Juragan Les
www.juraganles.com

Https Encrypted Tbn0 Gstatic Com Images Q Tbn 3aand9gcsd8mczwv99unsk9niuyk9 6abnikb8 0ko5hnk6fjpuq S0ftv Usqp Cau
encrypted-tbn0.gstatic.com

Cara Mudah Pembagian Pecahan Membahas Berbagai Bentuk Soal Pembagian Pecahan Youtube
m.youtube.com

Taksiran Penjumlahan Dan Pengurangan Pecahan
utsmudah.web.app

Mengubah Pecahan Campuran Menjadi Pecahan Biasa
www.mahirmatematika.com

Cara Mengerjakan Pembagian Desimal Guru Ilmu Sosial
www.ilmusosial.id

Pembagian Pecahan Cara Aimyaya Cara Semua Cara
www.cara.aimyaya.com

Cara Menghitung Operasi Perkalian Dan Pembagian Pada Bilangan Pecahan Desimal Beserta Contohnya Berpendidikan Com
www.berpendidikan.com

Pembagian Pecahan Biasa Dan Pecahan Campuran Advernesia
www.advernesia.com

Pengurangan Pecahan Biasa Dan Campuran Beserta Contoh Advernesia
www.advernesia.com

Doc Bab I Bilangan Bulat Dan Bilangan Pecahan Baity Zahra Academia Edu
www.academia.edu

Cara Mengerjakan Operasi Hitung Campuran Pecahan Guru Ilmu Sosial
www.ilmusosial.id

Perkalian Pecahan Cara Aimyaya Cara Semua Cara
www.cara.aimyaya.com

Perkalian Dan Pembagian Pecahan Matematika Kelas 5 Sd Tutorial Matematika Kesekolah Com
www.kesekolah.com

Operasi Hitung Perkalian Pecahan Beserta Rumus Rumusq Id
rumusq.id

Rumus Cepat Dan Cara Hitung Cepat Pecahan Campuran Perkalian Pembagian Youtube
www.youtube.com

Rumus Cepat Perkalian Dan Pembagian Bilangan Pecahan
id.scribd.com

Operasi Hitung Pecahan Bentuk Aljabar Ppt Download
slideplayer.info

Operasi Hitung Pecahan Campuran Kumpulan Rumus
rumusonline.com

Cara Menyederhanakan Pecahan Pecahan Biasa Dan Pecahan Campuran Youtube
www.youtube.com

Operasi Pembagian Bentuk Pecahan Rumusq Id
rumusq.id

Contoh Soal Pecahan Campuran Kelas 5 Sd Kumpulan Soal Pelajaran 8
soalujian-78.blogspot.com

Bilangan Pecahan Di Dalam Matematika Memiliki Beragam Bentuk Docx
id.scribd.com

Kumpulan Rumus Matematika Kelas 6 Sd Lengkap
saintif.com

Penjumlahan Pecahan Biasa Dan Campuran Beserta Contoh Advernesia
www.advernesia.com

Cara Mengubah Pecahan Ke Desimal Dan Sebaliknya
rumusonline.com

Pembagian Pecahan Biasa
id.scribd.com

Memahami Dengan Mudah Operasi Hitung Pada Pecahan Rumus Matematika
rumus-matematika.com

Cara Mudah Pembagian Pecahan Biasa Dan Pecahan Campuran Youtube
www.youtube.com

Perkalian Dan Pembagian Bilangan Pecahan
www.belajarmtk.com

Cara Cepat Rumus Pembagian Pecahan Campuran Biasa Desimal Contoh Soal Rumus Matematika
rumuskelilinglingkaranku.blogspot.com

Materi Dan Contoh Soal Operasi Hitung Pecahan Campuran
hindayani.com

Jawaban Soal Smp Di Tvri 28 April Berapa Rupiah Dari Penghasilan Pak Somad Yang Diberikan Ke Istri Halaman All Surya
surabaya.tribunnews.com

Cara Mengerjakan Pembagian Pecahan 3 Bilangan Guru Ilmu Sosial
www.ilmusosial.id

Kumpulan Rumus Matematika Kelas 6 Sd Lengkap
saintif.com

Pecahan Pembilang Penyebut
id.scribd.com

Operasi Bilangan Pecahan Skd Tkd Belajarbro
belajarbro.id

Contoh Soal Pecahan Campuran Kelas 5 Soal Cerita Kumpulan Soal Pelajaran 8
soalujian-78.blogspot.com

Bilangan Pangkat Pecahan Pengertian Rumus Sifat Operasi Hitung Dan Contoh Soal Bilangan Pangkat Pecahan Lengkap Pelajaran Sekolah Online
www.pelajaran.co.id

Perkalian Pembagian Pecahan Desimal Rumusq Id
rumusq.id

Soal Pembagian Pecahan Desimal Dari Yang Mudah Sampai Yang Sulit Juragan Les
www.juraganles.com

Cara Menyederhanakan Bilangan Pecahan Berpangkat Brainly Co Id
brainly.co.id

Memahami Pembagian Pecahan Rumus Matematika
rumus-matematika.com

Ringkasan Dan Soal Belajar Dari Rumah Tvri 28 April 2020 Matematika Manfaat Betul Pecahan Semua Halaman Bobo
bobo.grid.id

Pembagian Pecahan Biasa Dengan Bilangan Bulat Dan Sebaliknya Matematika Sd Youtube
www.youtube.com

Https Encrypted Tbn0 Gstatic Com Images Q Tbn 3aand9gcqkzn3rcqno 4byb9 2ehuujs7oezzxtxcacrdrbkxg3yooo4nd Usqp Cau
encrypted-tbn0.gstatic.com

Ruang Belajar Siswa Kelas 8 Perkalian Pembagian Pecahan Rumus Sifat Referensi Soal Dan Pembahasan Materi Smp
ensiklopediilmupopuler121.blogspot.com

Rumus Perkalian Pecahan Biasa Dan Campuran Contoh Soal
rumusrumus.com

Pembagian Pecahan Biasa Dan Pecahan Campuran Advernesia
www.advernesia.com

Operasi Pembagian Pecahan Bangku Sekolah
bangkusekolah.com

Perkalian Pecahan Cara Aimyaya Cara Semua Cara
www.cara.aimyaya.com

close