Sangat Membantu

Rumus Persamaan Lingkaran Menyinggung Garis


Lingkaran
id.scribd.com

Contoh Soal Rumus Persamaan Lingkaran Pengertian Umum Pusat O T M Jari Jari R Posisi Titik Dan Garis Pembahasan Jawaban Matematika
www.nafiun.com

Maretong Soal Dan Pembahasan Persamaan Lingkaran
www.maretong.com

Tentukan Persamaan Lingkaran Jika Berpusat Di O 0 0 Dan Menyinggung Garis X 6 Brainly Co Id
brainly.co.id

Persamaan Garis Singgung Lingkaran Idschool
idschool.net

Persamaan Lingkaran Yang Berpusat Di Titik A 4 5 Dan Menyinggung Garis X 2y 1 0 Adalah Brainly Co Id
brainly.co.id

Anak Kelas 11 Sudah Mendalami Materi Persamaan Lingkaran Belum Quipper Line Today
today.line.me

Https Encrypted Tbn0 Gstatic Com Images Q Tbn 3aand9gcqkb6bi Hwwbkjsrqnfaa8s2q4mkfcxy Lvk2mafvqguawosjzd Usqp Cau
encrypted-tbn0.gstatic.com

Persamaan Lingkaran Yang Berpusat Di 1 3 Menyinggung Garis 3x 4y 11 0 Adalah Brainly Co Id
brainly.co.id

Doc Soal Pembahasan Lingkaran Siti Sundari Academia Edu
www.academia.edu

Menyusun Persamaan Lingkaran 2 Jika Diketahui Menyinggung Sumbu X Dan Sumbu Y Youtube
www.youtube.com

Persamaan Lingkaran Yang Berpusat Di O
www.slideshare.net

Persamaan Lingkaran Dan Garis Singgung Ppt Download
slideplayer.info

Persamaan Lingkaran Rumus Bentuk Umum Dan Contoh Soal
saintif.com

Garis Singgung Lingkaran Matematika Kelas 11 Quipper Blog
www.quipper.com

Pdf Matematika Sma By Drs Fairy Tail Academia Edu
www.academia.edu

Persamaan Lingkaran Rumus Bentuk Umum Dan Contoh Soal
saintif.com

Soal Dan Jawab Lingkaran
id.scribd.com

Bagaimana Cara Mencari Persamaan Lingkaran Yang Menyinggung Garis Rumus Praktis
rumuspraktis.com

Garis Singgung Lingkaran Matematika Kelas 11 Quipper Blog
www.quipper.com

Soal Dan Pembahasan Persamaan Lingkaran Mathcyber1997
mathcyber1997.com

Persamaan Persamaan Lingkaran Materi Lengkap Matematika
www.materimatematika.com

Menentukan Persamaan Lingkaran Yang Berpusat Disebuah Titik Lanjutan Sumihikmahsari
sumihikmahsari.wordpress.com

Persamaan Lingkaran Yang Berpusat Di 1 2 Dan Menyinggung Garis Y X Adalah Brainly Co Id
brainly.co.id

Persamaan Lingkaran Rumus Bentuk Umum Dan Contoh Soal
saintif.com

Mtk Docx
id.scribd.com

Ppt Persamaan Garis Singgung Lingkaran
www.slideshare.net

Persamaan Lingkaran Dan Garis Singgung Ppt Download
slideplayer.info

21 Modul Persamaan Lingkaran Pak Sukani
www.slideshare.net

Contoh Soal Unsur Keliling Dan Luas Lingkaran Dan Jawaban Pembahasan
soalkimia.com

A Lingkaran Persamaan Lingkaran Yang Berpusat
studylibid.com

Persamaan Lingkaran Yang Berpusat Di O
id.scribd.com

Persamaan Lingkaran Pusat A B Menyinggung Garis Fazanugas Youtube
www.youtube.com

Persamaan Garis Singgung Lingkaran Idschool
idschool.net

Persamaan Lingkaran Yang Berpusat Di O
www.slideshare.net

Katalog Media Bpmpk
m-edukasi.kemdikbud.go.id

Persamaan Lingkaran Dan Garis Singgung
id.scribd.com

Persamaan Lingkaran Yang Berpusat Dititik 4 2 Dan Menyinggung Garis Y 1 2x 3 Brainly Co Id
brainly.co.id

Persamaan Garis Singgung Lingkaran Melalui Suatu Titik Di Dalam Dan Luar Lingkaran Gradien Contoh Soal Pembahasan Matematika
www.nafiun.com

Kd 1 Matematika Peminatan Persamaan Lingkaran Matematika Sma Smk Detail Catatan Mejakita
www.mejakita.com

Maretong Soal Dan Pembahasan Persamaan Lingkaran
www.maretong.com

Contoh Soal Persamaan Lingkaran Dan Penyelesaiannya Soalfismat Com
soalfismat.com

Contoh Soal Garis Singgung Lingkaran Dan Jawabannya
rumusrumus.com

Persamaan Lingkaran Yang Pusatnya Terletak Di Persamaan Garis 3x 2y 2 0 Serta Menyinggung Sumbu X Brainly Co Id
brainly.co.id

Lingkaran
www.slideshare.net

Tentukan Persamaan Lingkaran Yang Berjari Jari 2 Satuan Dan Menyinggung Garis 3x 3y 7 0 Di Titik Brainly Co Id
brainly.co.id

Lingkaran
www.slideshare.net

Persamaan Lingkaran Yang Berpusat Di O
www.slideshare.net

Lingkaran X Y 4x By B 3 0 Akan Menyinggung Garis Y 2x Jika Nilai B Adalah Brainly Co Id
brainly.co.id

Persamaan Lingkaran Smatika
smatika.blogspot.com

Persamaan Garis Singgung Lingkaran Idschool
idschool.net

Bagaimana Cara Mencari Persamaan Lingkaran Yang Menyinggung Garis Rumus Praktis
rumuspraktis.com

Tentukan Persamaan Lingkaran Yang Berpusat Di Titik 0 4 Dan Menyinggung Garis Y X Brainly Co Id
brainly.co.id

Persamaan Lingkaran Yang Berpusat Di O
www.slideshare.net

Santai Ajaa Soal Persamaan Lingkaran Dan Pembahasan Nya
elan7rait.blogspot.com

Persamaan Garis Singgung Pengertian Rumus Contoh Soal
rumusbilangan.com

Persamaan Lingkaran Berpusat Di Titik A B Rumus Praktis
rumuspraktis.com

Pembuktian Rumus Persamaan Garis Singgung Lingkaran Smatika
smatika.blogspot.com

Bagaimana Cara Mencari Persamaan Lingkaran Yang Menyinggung Garis Rumus Praktis
rumuspraktis.com

Soal Dan Pembahasan Lingkaran Pdf Pdf Document
fdokumen.com

Contoh Soal Dan Pembahasan Tentang Persamaan Lingkaran Sma Ajar Hitung
www.ajarhitung.com

Persamaan Lingkaran Yang Berpusat Di O
www.slideshare.net

Garis Singgung Lingkaran Matematika Kelas 11 Quipper Blog
www.quipper.com

Lingkaran Yang Menyinggung Garis X Y 5 Di Titik 4 1 Dan Melalui Titik 8 2 Mempunyai Brainly Co Id
brainly.co.id

10 Persamaan Lingkaran Dengan Pusat 1 3 Dan Menyinggung Garis 3x 4y 1 0adalah A X Brainly Co Id
brainly.co.id

Titik Pusat 1 3 Menyinggung Garis X 5 Persamaan Lingkaran Brainly Co Id
brainly.co.id

Garis Singgung Lingkaran Matematika Kelas 11 Quipper Blog
www.quipper.com

Rumus Lingkaran
id.scribd.com

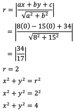
Tentukan Persamaan Lingkaran Yang Berpusat Di 0 0 Serta Menyinggung Garis Singgung Berikut A 8x 15y 34 0 Mas Dayat
www.masdayat.net

Melukis Grafik Persamaan Lingkaran Pendidikan Matematika
yos3prens.wordpress.com

Bab 4 Lingkaran 6 April Ppt Download
slideplayer.info

Doc Bab 9 Lingkaran Fixs Atsnan Fajar Academia Edu
www.academia.edu

Un Sma Matematika 2017 Prediksi Pembahasan No 6 Menentukan Persamaan Lingkaran Youtube
www.youtube.com

Menghitung Persamaan Garis Singgung Lingkaran Dengan Mudah Pinterkelas
pinterkelas.com

Persamaan Lingkaran Dengan Titik Pusat 5 2 Dan Menyinggung Garis 3x 4y 7 0 Adalah Youtube
www.youtube.com

Https Encrypted Tbn0 Gstatic Com Images Q Tbn 3aand9gcswxsg2f4w Mkkdqebxge Mlzxqnxnefmymbuoazg P Exnteu Usqp Cau
encrypted-tbn0.gstatic.com

Persamaan Garis Singgung Lingkaran Materi Lengkap Matematika
www.materimatematika.com

Persamaan Lingkaran Smatika
smatika.blogspot.com

Garis Singgung Lingkaran Matematika Kelas 11 Quipper Blog
www.quipper.com

Menyusun Persamaan Lingkaran 2 Jika Diketahui Menyinggung Sumbu X Dan Sumbu Y Youtube
www.youtube.com

Math Is My Soul Persamaan Lingkaran Dengan Pusat 1 2 Dan Menyinggung Garis Y X
matematikajakarta.blogspot.com

Tentukan Persamaan Lingkaran Yang Berpusat Di P 1 2 Dan Menyinggung Garis A 6y 8y Brainly Co Id
brainly.co.id

Matematika Pembahasan Dan Contoh Soal Garis Singgung Lingkaran
teknosains.com

Persamaan Lingkaran Dan Garis Singgung Lingkaran Nadiadezira S Island
nadiadezira.wordpress.com

Soal Dan Pembahasan Lingkaran Pdf
id.scribd.com

Mencari Persamaan Lingkaran Diketahui Titik Pusat 2 5 Dan Menyinggung Sumbu X Matematika Sma
soalmtk-sma.blogspot.com

Soal Sbmptn Lingkaran Guru Ilmu Sosial
www.ilmusosial.id

Empreuah Soal Dan Pembahasan Persamaan Lingkaran Ulfa Diyana Sari
empreuah.blogspot.com

Kedudukan Garis Terhadap Lingkaran Idschool
idschool.net

Lingkaran
www.slideshare.net

B Persamaan Lingkaran
id.scribd.com

Menyusun Persamaan Lingkaran 2 Jika Diketahui Menyinggung Sumbu X Dan Sumbu Y Youtube
www.youtube.com

Persamaan Lingkaran Yang Berpusat Di O
www.slideshare.net

Persamaan Lingkaran Garis Singgung Persamaan Lingkaran Garis Singgung Lingkaran
riarhmdnmat18.wordpress.com

Soal Ulangan Harian
id.scribd.com

Garis Singgung Lingkaran Matematika Kelas 11 Quipper Blog
www.quipper.com

Cara Cepat Menentukan Persamaan Garis Singgung Lingkaran
rumusbilangan.com

Bagaimana Cara Mencari Persamaan Lingkaran Yang Menyinggung Garis Rumus Praktis
rumuspraktis.com

Persamaan Lingkaran Konsep Matematika Koma
www.konsep-matematika.com

Persamaan Lingkaran Yg Berpusat Di 1 6 Dan Menyinggung Garis X Y 1 0 Brainly Co Id
brainly.co.id

Garis Singgung Lingkaran Matematika Kelas 11 Quipper Blog
www.quipper.com

Rangkuman Contoh Soal Pembahasan Lingkaran
tanya-tanya.com

close