Sangat Membantu

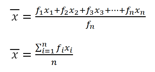
Rumus Rataan Data Tunggal


Doc Bahan Ajar Matdas Wafiq Nurul Huda Academia Edu
www.academia.edu

Simpangan Rata Rata Data Tunggal Pembahasan Un Matematika Sma Ips 2018 No 32 Youtube
m.youtube.com

Rumus Rata Rata Mean Median Dan Modus Data Tunggal Statistik
matematikaakuntansi.blogspot.com

Rumus Mean Median Dan Modus Data Kelompok Idschool
idschool.net

3 Tendensi Sentral Yahya
blog.ub.ac.id

Ukuran Pemusatan Data Fevri Dwi Cahyani
fevridwicahyani.wordpress.com

Rumus Statistika Ukuran Pemusatan Data
rumushitung.com

Ukuran Pemusatan Data Fevri Dwi Cahyani
fevridwicahyani.wordpress.com

Statistika Diagram Tabel Median Modus Kuartil Soal Pembahasan
www.yuksinau.id

Menentukan Nilai Rata Rata Data Kelompok Mahinmuhammad
mahinmuhammad.wordpress.com

Rumus Statistika Data Tunggal Dan Kelompok Flash
runasflash.blogspot.com

Contoh Soal Mean Median Modus Rumus Dan Jawabannya Lengkap
kabarkan.com

Contoh Soal Rata Rata Median Youtube
www.youtube.com

Rumus Mean Median Dan Modus Data Kelompok Idschool
idschool.net

Kumpulan Statistika Matematika
id.scribd.com

Menghitung Ukuran Data Dari Data Berkelompok Materi Lengkap Matematika
www.materimatematika.com

2 Berikut Merupakan Distribusi Frekuensi Persentase Penduduk Usia Di Bawah 25 Tahun Yang Brainly Co Id
brainly.co.id

Statistika Data Simpangan Rata Rata Aplikasi Di Google Play
play.google.com

Rumus Perhitungan Statistika Data Berkelompok
www.utakatikotak.com

Cara Mengerjakan Rata Rata Berat Badan Siswa Guru Ilmu Sosial
www.ilmusosial.id

2 Rataan Hitung Mean
www.slideshare.net

Rumus Statistika Dasar Matematika Terlengkap
rumusrumus.com

Https Encrypted Tbn0 Gstatic Com Images Q Tbn 3aand9gct0x7bl4jn7kwpdk07a9bbarq Elnokehemyivpeguxwidpof3v Usqp Cau
encrypted-tbn0.gstatic.com

Cara Menghitung Mean Median Modus Dengan Akurat Blog Yuva
yuvalianda.com

Putri Ukuran Pemusatan Data
www.slideshare.net

Rumus Mean Data Tunggal Data Kelompok Dan Contoh Soal Lengkap
kumpulanilmu.com

Menghitung Ukuran Data Dari Data Berkelompok Materi Lengkap Matematika
www.materimatematika.com

Blajar Pintar Menghitung Ukuran Pemusatan Data Bagian 1
blajar-pintar.blogspot.com

Rumus Statistika Data Tunggal Dan Kelompok Flash
runasflash.blogspot.com

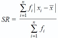
Contoh Soal Simpangan Rata Rata Dan Penyelesaiannya Soalfismat Com
soalfismat.com

Cara Menentukan Atau Menghitung Simpangan Rata Rata Data Kelompok Tabel Distribusi Frekuensi Youtube
www.youtube.com

Https Encrypted Tbn0 Gstatic Com Images Q Tbn 3aand9gcqqqf9 Xeecleojlkcmscy13wlmdbgr4jatiy8bgn 1v5lpcy9d Usqp Cau
encrypted-tbn0.gstatic.com

Contoh Soal Data Tunggal Dan Jawaban Nya Brainly Co Id
brainly.co.id

Bagaimana Menghitung Statistika Dari Data Tunggal Rumus Matematika
rumus-matematika.com

Rumus Mean Median Dan Modus Data Kelompok Idschool
idschool.net

Statistika Tatap Muka Iii Statistika
alindasa.blogspot.com

Rumus Statistika Dasar Matematika Terlengkap
studylibid.com

Rumus Perhitungan Statistika Data Berkelompok
www.utakatikotak.com

Ppt Bab V Ukuran Pemusatan Rata Rata Ukur Dan Harmonis Pertemuan Ke 6 Powerpoint Presentation Id 5923939
www.slideserve.com

Simpangan Rata Rata Dalam Statistika Marthamatika
www.marthamatika.com

Soal Dan Pembahasan Menentukan Mean Pada Data Tunggal Atau Kelompok
id.scribd.com

Pengertian Contoh Soal Mean Median Modus Kuartil Dan Desil Rumus Cara Menghitung Rataan Hitung Sementara Data Ukuran Statistik Deskriptif Jawaban Matematika
www.nafiun.com

Menentukan Nilai Rata Rata Data Kelompok Mahinmuhammad
mahinmuhammad.wordpress.com

Ukuran Pemusatan Data Mean Median Dan Modus Rumushitung Com
rumushitung.com

Rumus Statistika Dan Contoh Soal
id.123dok.com

1
encrypted-tbn0.gstatic.com

Bab V Ukuran Pemusatan Mean Median Dan Modus Pertemuan Ke 5 Ppt Download
slideplayer.info

Rumus Simpangan Baku Simpangan Rata Rata Ragam Variansi Koefisen Keragaman Contoh Soal Data Tunggal Kelompok Jawaban Statistik Matematika
www.nafiun.com

Ukuran Penyebaran Data Pengertian Jangkauan Hamparan Kuartil
materibelajar.co.id

Contoh Soal Nilai Rata Rata Dan Penyelesaiannya Soalfismat Com
soalfismat.com

Matematika Pintar Mean Rata Rata
meytaseptiana.blogspot.com

Median Data Berkelompok
www.rumusstatistik.com

Simpangan Rata Rata Beserta Pengertian Rumus Dan Menentukannya
www.disdikbud.lampungprov.go.id

Beautiful Lady Materi 19 Rata Rata Data Tunggal Dan Data Berkelompok
ireneaureliaw.blogspot.com

Cara Mengerjakan Rata Rata Data Kelompok Guru Ilmu Sosial
www.ilmusosial.id

Statistika Diagram Tabel Median Modus Kuartil Soal Pembahasan
www.yuksinau.id

Menghitung Rata Rata Dengan Microsoft Excel
www.rumusstatistik.com

Matematika Kelas 12 Pengenalan Istilah Statistik Data Tunggal Dalam Matematika
blog.ruangguru.com

Rumus Mean Median Dan Modus Data Kelompok Idschool
idschool.net

Simpangan Rata Rata Statistika Data Tunggal Dan Kelompok
www.slideshare.net

Rumus Statistika Dasar Matematika Terlengkap
rumusrumus.com

Https Encrypted Tbn0 Gstatic Com Images Q Tbn 3aand9gcq9cvsph7s0cr4in53zyue2lg6hffdldam Ozglw Msc6sjc8uj Usqp Cau
encrypted-tbn0.gstatic.com

45 Contoh Soal Statistika Dan Jawaban Pembahasan
soalkimia.com

Rumus Mean Median Modus Untuk Data Tunggal Dan Berkelompok
id.scribd.com

Rata Rata Mean Dengan Coding Youtube
m.youtube.com

Statistika
www.slideshare.net

Mean Median Modus Pengertian Rumus Soal
rumuspintar.com

Ukuran Pemusatan Data Alfia Anggraeni
alfiaputri654.wordpress.com

Mean Median Dan Modus Data Kelompok Beserta Soal Dan Pembahasannya
www.utakatikotak.com

2 Rataan Hitung Mean
www.slideshare.net

Statistika Diagram Tabel Median Modus Kuartil Soal Pembahasan
www.yuksinau.id

Statistika Ukuran Pemusatan Data Mean Median Modus Rumus Dan Contoh Soal Pelajaran Sekolah Online
www.pelajaran.co.id

Cara Menghitung Nilai Rata Rata Dalam Statistika
statmat.id

Soal Dan Pembahasan Menentukan Mean Pada Data Tunggal Atau Kelompok
id.scribd.com

Mencari Nilai Rata Rata Data Dengan Rata Rata Sementara 27 Pada Tabel Berikut Brainly Co Id
brainly.co.id

Mean Median Modus Materi Sma Kelas Xi Magister Matematika
www.magistermatematika.com

Tutorial Cara Menentukan Atau Menghitung Rata Rata Mean Pada Data Berkelompok Dalam Bentuk Tabel Youtube
www.youtube.com

Ukuran Penyebaran Data Ppt Download
slideplayer.info

Bank Soal Dan Pembahasan Matematika Dasar Statistika Data Tunggal 31 Defantri Com
www.defantri.com

Cara Mengerjakan Rata Rata Data Kelompok Guru Ilmu Sosial
www.ilmusosial.id

Rumus Simpangan Rata Rata Ragam Simpangan Baku Idschool
idschool.net

Pengertian Ukuran Nilai Pusat Jenis Sifat Rumus Dan Contoh
www.gurupendidikan.co.id

Rumus Mean Pengertian Median Kelompok Data Dan Contoh Soalnya Lengkap Tutorialbahasainggris Co Id
tutorialbahasainggris.co.id

Doc Rumus Statistik Rata Rata Hitung Mean Dewi Astuti Academia Edu
www.academia.edu

Matematika Sma Ipa Statistika Bintang Wahyu
bintangwahyu.com

Pengertian Dan Rumus Cara Menghitung Nilai Rata Rata Mean Beserta Contoh Soal Mean Data Tunggal Dan Data Berkelompok Berpendidikan Com
www.berpendidikan.com

Cara Menghitung Mean Median Modus Materi Lengkap Nilai Mutlak
nilaimutlak.id

Rumus Rata Rata Mean Median Dan Modus Data Kelompok Statistik
matematikaakuntansi.blogspot.com

Rumus Rumus Perhitungan Statistika Data Berkelompok Rumus Matematika
rumus-matematika.com

Statistika Menentukan Rataan Dengan Menggunakan Rataan Sementara Kelas 12 Youtube
m.youtube.com

Statistika Ukuran Pemusatan Data Konsep Matematika Koma
www.konsep-matematika.com

Cara Menghitung Mean Median Modus Dengan Akurat Blog Yuva
yuvalianda.com

Ppt Bab V Ukuran Pemusatan Mean Median Dan Modus Pertemuan Ke 5 Powerpoint Presentation Id 6314627
www.slideserve.com

Mean Nilai Rata Rata Data Kelompok Youtube
www.youtube.com

Rumus Simpangan Rata Rata Contoh Soal Cara Menghitung
pengajar.co.id

Statistika Data Kelompok Mencari Rata Rata Modus Median Youtube
m.youtube.com

Rumus Statistika Data Tunggal Dan Kelompok Flash
runasflash.blogspot.com

Pengertian Dan Rumus Cara Menghitung Nilai Rata Rata Mean Beserta Contoh Soal Mean Data Tunggal Dan Data Berkelompok Berpendidikan Com
www.berpendidikan.com

Cara Menghitung Rumus Median Dan Fungsinya
rumusbilangan.com

Mean Median Modus Dan Simpangan Baku
www.slideshare.net

Macam Macam Rata Rata Dalam Statistika Fachrullyanta A S
fachrullyantaadi.wordpress.com

Latihan Soal Data Tunggal Ppt Download
slideplayer.info

Rumus Mean Median Dan Modus Data Kelompok Contoh Soal
rumus.co.id

Rumus Simpangan Rata Rata Ragam Simpangan Baku Idschool
idschool.net

close