Sangat Membantu

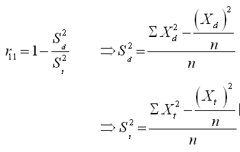
Rumus Reliabilitas R11


Doc Makalah Evaluasi Reliabilitas Ikhsan Lover Academia Edu
www.academia.edu

Mkalah Evaluasi
www.slideshare.net

Ppt Analisis Instrumen Dan Analisis Butir Instrumen Powerpoint Presentation Id 6116179
www.slideserve.com

Reabilitas Instrumen
id.scribd.com

Https Ikhtiarnet Files Wordpress Com 2013 03 Uji Instrumen Penelitian Validitas Reliabilitas Tingkat Kesukaran Dan Daya Pembeda1 Pdf

Https Encrypted Tbn0 Gstatic Com Images Q Tbn 3aand9gctuv34wpyxw4mbc36pweql5eafes58cj5cgaskm Y1rsd6575 E Usqp Cau
encrypted-tbn0.gstatic.com

Tutorial Uji Reliabilitas Instrumen Penelitian Karyaguru Center
karyaguru.com

Analisis Reliabilitas Instrumen
www.slideshare.net

Uji Reliabilitas Manual Tiap Variabel Haldir24 S Blog
haldir24.wordpress.com

16 Bab Iii
www.slideshare.net

Analisis Reliabilitas Instrumen
www.slideshare.net

Bab Iv Validitas Dan Reliabilitas Instrumen Penilaian Dezita Noya Putri
dezitanoyap.wordpress.com

Reliabilitas Uji Reliabilitas Mari Belajar
indrawahyudisite.wordpress.com

Reliabilitas Pertemuan 6 Khaola Rachma Adzima Pgsd Fkip Ppt Download
slideplayer.info

P12 Uji Persyaratan Instrumen
www.slideshare.net

Uji Validitas Dan Reliabilitas Laporan Praktikum Com
www.laporan-praktikum.com

Uji Validitas Dan Reliabilitas Soal Uraian Dengan Microsoft Excel 2007 Hearts And Minds
adekusnadi.wordpress.com

Uji Reliabilitas Manual Tiap Variabel Haldir24 S Blog
haldir24.wordpress.com

Validitas Dan Reliabilitas Ppt Download
slideplayer.info

Uji Reliabilitas
id.scribd.com

Reliabilitas Instrumen Tes Bag 1 Ishaq Madeamin Blog
www.ishaqmadeamin.com

Reliabilitas Uji Reliabilitas Mari Belajar
indrawahyudisite.wordpress.com

Realibilitas Tes Objektif Dengan Fungsi Correl Ishaq Madeamin Blog
www.ishaqmadeamin.com

Http E Journal Uajy Ac Id 11490 4 Ts139553 Pdf

Jajaka Aja Uji Reliabilitas Dan Uji Validasi
jajaka-aja.blogspot.com

Http File Upi Edu Direktori Fpmipa Jur Pend Matematika 196412051990031 Bambang Avip Priatna M Makalah November 2008 Pdf

P12 Uji Persyaratan Instrumen
www.slideshare.net

Uji Validitas Reliabilitas Daya Pembeda Dan Tingkat Kesukaran2 Doc Document
fdokumen.com

Kuliahe Triyus Di Uin Suka Yogyakarta Validitas Dan Reliabilitas Instrumen
triyusuin.blogspot.com

Menghitung Koefisien Reliabilitas R11
id.scribd.com

Uji Validitas Dan Reliabilitas Soal Uraian Dengan Microsoft Excel 2007 Hearts And Minds
dokumen.tips

Ppt Uji Validitas Dan Reliabilitas Powerpoint Presentation Free Download Id 6728530
www.slideserve.com

Uji Validitas Dan Reliabilitas
www.slideshare.net

Reliabilitas Instrumen Tes Bag 1 Ishaq Madeamin Blog
www.ishaqmadeamin.com

Uji Validitas Dan Reliabilitas
studylibid.com

Instrumen Evaluasi Pembelajaran Ppt Download
slideplayer.info

Reliabilitas Uji Reliabilitas Mari Belajar
indrawahyudisite.wordpress.com

Reliabilitas Tes
id.scribd.com

Realibilitas Ppt Download
slideplayer.info

Cara Menghitung Reliabilitas Instrumen Peneltian Tutorimaru S Tutorial
tutorimaru.blogspot.com

Validitas Dan Reliabilitas Ppt Download
slideplayer.info

Bab V Perhitungan Reliabilitas
pdfslide.tips

Uji Validitas Dan Reliabilitas Soal Uraian Dengan Microsoft Excel 2007 Hearts And Minds
dokumen.tips

Cara Menghitung Reliabilitas Instrumen Peneltian Tutorimaru S Tutorial
tutorimaru.blogspot.com

Uji Reliabilitas Cronbach Alpha Dengan Spss By Dwi Anggaini Obama Study Club Youtube
www.youtube.com

Reliabilitas
studylibid.com

Kumpulan Rumus Evaluasi
id.scribd.com

Kuliahe Triyus Di Uin Suka Yogyakarta Validitas Dan Reliabilitas Instrumen
triyusuin.blogspot.com

Contoh Perhitungan Reliabilitas
dokumen.tips

Http Eprints Uny Ac Id 18168 5 5 20bab 20iii 2009 07 030 20asy 20h Pdf

Uji Validitas Dan Reliabilitas
www.slideshare.net

Tutorial Uji Reliabilitas Instrumen Penelitian Karyaguru Center
karyaguru.com

Uji Validitas Dan Realibilitas Skripsi Cirebon
cirebonskripsi.blogspot.com

Analisis Reliabilitas Instrumen
www.slideshare.net

Ppt Uji Validitas Dan Reliabilitas Powerpoint Presentation Free Download Id 4442655
www.slideserve.com

Mencari Reliabilitas Dengan Rumus K
www.scribd.com

Uji Reliabilitas Definisi Jenis Dan Rumus Rumusnya Super Lengkap
ometlit.com

Uji Validitas Reliabilitas Daya Pembeda Dan Tingkat Kesukaran2
id.scribd.com

Reliabilitas Tes
id.scribd.com

Uji Reliabilitas Instrumen Dengan Ms Excel Youtube
www.youtube.com

Uji Reliabilitas Dengan Skala Guttman Jendela Statistika
www.jendelastatistik.com

Geosamsedu Uji Reliabilitas Instrumen Degan Spss
samsarif.blogspot.com

Bab V Perhitungan Reliabilitas
id.scribd.com

Reliabilitas Evaluasi Reliability Of Evaluation Abigail Christina Academia Edu
www.academia.edu

Reliabilitas Uji Reliabilitas Mari Belajar
indrawahyudisite.wordpress.com

P12 Uji Persyaratan Instrumen
www.slideshare.net

Analisis Reliabilitas Instrumen
www.slideshare.net

Reliabilitas Instrumen Tes Bag 1 Ishaq Madeamin Blog
www.ishaqmadeamin.com

Penjelasan Uji Reliabilitas Instrumen Lengkap Uji Statistik
www.statistikian.com

Tugas A Khir Semester Evaluasi
www.slideshare.net

1yknkzevof3yem

P12 Uji Persyaratan Instrumen
www.slideshare.net

Pdf 4 Validitas Dan Reliabilitas Dalam Membuat Evaluasi Pratidia Restu Academia Edu
www.academia.edu

Penjelasan Uji Reliabilitas Instrumen Lengkap Uji Statistik
www.statistikian.com

Mkalah Evaluasi
www.slideshare.net

Analisis Reliabilitas Instrumen
www.slideshare.net

Mkalah Evaluasi
www.slideshare.net

Analisis Reliabilitas Instrumen
www.slideshare.net

Analisis Reliabilitas Instrumen
www.slideshare.net

Uji Instrumen
www.slideshare.net

Http File Upi Edu Direktori Fpmipa Jur Pend Matematika 196412051990031 Bambang Avip Priatna M Makalah November 2008 Pdf

Dr Suparyanto M Kes Uji Reliabilitas Kuesioner
dr-suparyanto.blogspot.com

Http Eprints Uny Ac Id 18168 5 5 20bab 20iii 2009 07 030 20asy 20h Pdf

Validitas Dan Reliabilitas Ppt Download
slideplayer.info

Http E Journal Uajy Ac Id 11490 4 Ts139553 Pdf

Analisis Uji Reliabiitas
www.slideshare.net

Kalibrasi Instrumen Ppt Download
slideplayer.info

Reliabilitas Pertemuan 6 Khaola Rachma Adzima Pgsd Fkip Ppt Download
slideplayer.info

Pdf Validitas Konstruk Construct Validity Dan Uji Reliabilitas Instrumen I Gede Purnawinadi Academia Edu
www.academia.edu

P12 Uji Persyaratan Instrumen
www.slideshare.net

Lautan Ilmu Validitas Dan Reliabilitas
matematikaunm6.blogspot.com

P12 Uji Persyaratan Instrumen
www.slideshare.net

Tutorial Uji Reliabilitas Instrumen Penelitian Karyaguru Center
karyaguru.com

Uji Validitas Dan Reliabilitas Kuesioner
id.scribd.com

Uji Reliabilitas Cronbach Alpha Dengan Spss By Dwi Anggaini Obama Study Club Youtube
www.youtube.com

2

Konsep Validitas Dan Reliabilitas
statistikceria.blogspot.com

Reliabilitas Pertemuan 6 Khaola Rachma Adzima Pgsd Fkip Ppt Download
slideplayer.info

Validitas Dan Reliabilitas Ppt Download
slideplayer.info

Pdf Modul Uji Validitas Dan Reliabilitas
www.researchgate.net

Rumus Uji Reliabilitas Teknik Belah Dua
id.scribd.com

close