Sangat Membantu

Rumus Rpm


Doc Rumus Menghitung Efisiensi Motor Hisam Adnan Academia Edu
www.academia.edu

Rumus Rumus Motor Induksi Desain Manufaktur Blog
desainmanufaktur.bayuwiro.net

Torsi Torque Pada Motor Sri Yono Academia Edu
www.academia.edu

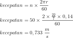
Roda Berjari Jari 14 Cm Berputar Dengan Kecepatan 50 Rpm Berapa Kecepatan Roda Dalam Meter Per Sekon Soal Fisika
soalfisika85.blogspot.com

Bab Iv Analisa Pengujian Dan Perhitungan Blower
studylibid.com

Teknik Pemesinan Perhitungan Waktu Pada Proses Pembubutan Rata
teknikpemesinan-smk.blogspot.com

Relative Centrifugal Field Rcf Beckman Coulter
www.beckman.com

How To Calculate Encoder Resolution Dynapar
www.dynapar.com

Kecepatan Putaran Mesin Bubut Revolution Per Menit Rpm Guru Insight
guruinsight.wordpress.com

Dunia Ilmu Rumus Rumus Teknik Mesin
d-ilmu.blogspot.com

Propeller Static Dynamic Thrust Calculation Flite Test
www.flitetest.com

Menghitung Arus Daya Kecepatan Dan Torsi Motor Listrik Ac Desain Sistem Kontrol
trikueni-desain-sistem.blogspot.com

Tiny Tip Start Triage Protocol Rpm 30 2 Can Do Canadiem
canadiem.org

Wiring Diagram For Aftermarket Tachometer
www.atsunday.com

Extended Play Record Ep 8 Songs Wait Till The Sun Shines Nellie Beautiful Dreamer You Tell Me Your Dream 5 More Ink Spots Pri Records Records 1953 Near Mint
www.amazon.com

Contoh Perhitungan Matematis Daya Motor Bakar
www.cronyos.com

Https Encrypted Tbn0 Gstatic Com Images Q Tbn 3aand9gctuxh00tekedkorqre440hrtz1v0ykjfhabuzlb5w5nhis11mfc Usqp Cau
encrypted-tbn0.gstatic.com

2

Tapping Feed And Speed Viking Drill And Tool
www.vikingdrill.com

Contoh Perhitungan Motor Diesel Kuliah Konversi Energi Kang Nurdian
nurdian25dhee.wordpress.com

Elemen Mesin 1 Bantalan
www.slideshare.net

Rumus Menghitung Kecepatan Sinkron Pada Kelistrikkan
pdfslide.net

Teknik Pemesinan Perhitungan Waktu Pada Proses Pembubutan Rata
teknikpemesinan-smk.blogspot.com

Contoh Jumlah Alur G 24 Alur Frekuensi F 50 Hz Putaran Motor N 1500 Rpm Jumlah Motor Listrik Listrik
id.pinterest.com

Memahami Perbedaan Torsi Vs Horse Power Indocentral Manufacturing
indo-central.com

Hubungan Antara Rpm Transmisi Roda Kecepatan
www.atsunday.com

Rumus Gas Speed
www.scribd.com

Catatan Instrumatika Setting Rpm Pada Instalasi Indikasi Speed Rotating Unit Pompa Dan Kompresor
www.catataninstrumatika.com

Hubungan Gear Ratio Terhadap Momen Dan Putaran Teknik Otomotif Com
www.teknik-otomotif.com

Mesoporous Tantalum Phosphates Preparation Acidity And Catalytic Performance For Xylose Dehydration To Produce Furfural Rsc Advances Rsc Publishing Doi 10 1039 C6ra07830c
pubs.rsc.org

Cara Membaca Name Plate Motor Listrik Listrik Praktis
www.listrik-praktis.com

Kiln Cooler Calculation Formulas Infinity For Cement Equipment
www.cementequipment.org

Fan Engineering Handbook Nmb Technologies
www.nmbtc.com

Cara Mengubah Rpm Menjadi Rad S Youtube
m.youtube.com

How To Calculate Synchronous Speed And Slip Of Ac Induction Motors Learning Electrical Engineering
www.electricalengineeringtoolbox.com

How To Calculate Driven Pulley Dia Or Rpm Urdu Hindi Youtube
www.youtube.com

Hubungan Antara Daya Torsi Rpm
www.atsunday.com

Elemen Mesin 1 Bantalan
www.slideshare.net

Number Of Poles Ac Motor Calculator
ncalculators.com

Tapping Feed And Speed Viking Drill And Tool
www.vikingdrill.com

Motor Dc Ppt Download
slideplayer.info

1
encrypted-tbn0.gstatic.com

Rumus Menghitung Efisiensi Motor
dokumen.tips

How To Calculate Rpm From Encoder Pulses
www.quantumdev.com

Tekken 2 Machines Transportation Engineering
www.scribd.com

Elemen Mesin 1 Bantalan
www.slideshare.net

How To Calculate Cpu Utilization Embedded Com
www.embedded.com

Revolutions Per Minute Wikipedia
en.wikipedia.org

Menghitung Kecepatan Pemotongan Pada Proses Pembubutan Guru Insight
guruinsight.wordpress.com

Rumus Dasar Menghitung Header Fastnlow Net
fastnlow.net

Mempelajari Tentang Sentrifugasi Info Laboratorium Medik
www.infolabmed.com

Cara Menentukan Rasio Roda Gigi 10 Langkah Dengan Gambar
id.wikihow.com

Rumus Perhitungan Pada Proses Permesinan Docx Document
fdokumen.com

Doc Rumus Perhitungan Mesin Anjar Alvino Academia Edu
www.academia.edu

Conversion Of Rpm To Rev Per Min Youtube
www.youtube.com

Rumus Menghitung Kecepatan Sinkron Pada Kelistrikkan
www.slideshare.net

Elemen Mesin 1 Bantalan
www.slideshare.net

Calculation For Cutting Speed Spindle Speed And Feed Ns Tool Co Ltd
www.ns-tool.com

Teknik Kita Putaran Mesin Bubut Hitungan Rumus
www.teknikkita.com

A Linear Sweep Voltammetry Curves Of Nbn And Nb 0 95 M 0 05 Ns Download Scientific Diagram
www.researchgate.net

Http Diobubut Blogspot Com 2015 06 Parameter Pemotongan Pada Proses Html

Contoh Soal Gerak Melingkar Berubah Beraturan Gurumuda Net
gurumuda.net

Perancangan Sistem Transmisi Untuk Penerapan Energi Dicari Pula Literatur Terhadap Rumus Dan Nilai Pdf Document
fdokumen.com

Penyimpangan Perhitungan Topspeed Dengan Menggunakan Informasi Rpm Dan Rasio Transmisi The Motorbike Goes By Skill Or You Get Killed
motogokil.com

Revolutions Per Minute To Hertz Conversion Rpm To Hz
www.inchcalculator.com

Number Of Poles Ac Motor Calculator
ncalculators.com

Arduino Tutorial Mengakses Rotary Encoder Membaca Rpm Rps
www.anakkendali.com

Menghitung Rpm Motor
id.scribd.com

Rumus Menghitung Kecepatan Sinkron Pada Kelistrikkan
www.slideshare.net

Tips Mudah Membedakan Kualitas Dinamo Motor Listrik Mengapa Ada Yang Murah Dan Mahal Dan Bagaimana Cara Mudahnya Membedakan Kualitas Tersebut Electric Art Bogipower Com
www.electricisart-bogipower.com

Impression Rpm Revenue Per Thousand The Online Advertising Guide
theonlineadvertisingguide.com

4 Easy Ways To Determine Gear Ratio With Pictures
www.wikihow.com

Merancang Knalpot Z250 Supaya Nyaman Di Rpm Menengah The Motorbike Goes By Skill Or You Get Killed
motogokil.com

Induction Motor Starting Torque And Maximum Torque Electric Equipment
machineryequipmentonline.com

Edian Top Speed Satria Injeksi Tembus 177 5 Km Jam Ngitunge Piye Aripitstop
www.aripitstop.com

Screw Conveyor Capacity Engineering Guide
www.kwsmfg.com

Rpm Rumus Putaran Mesin By Acronymsandslang Com
acronymsandslang.com

Faktor Yang Mempengaruhi Pembakaran Dan Istilah Pada Keluaran Engine
www.maritimeworld.web.id

Elemen Mesin 1 Bantalan
www.slideshare.net

Rumus Menghitung Torsi Kecepatan Dan Daya Motor Listrik Serta Hubungannya Tempat Kita Berbagi Ilmu
duniaberbagiilmuuntuksemua.blogspot.com

Catatan Instrumatika Setting Rpm Pada Instalasi Indikasi Speed Rotating Unit Pompa Dan Kompresor
www.catataninstrumatika.com

Solved The Mean Effective Pressure Mep Can Be Considere Chegg Com
www.chegg.com

Cara Mencari Atau Menghitung Top Speed Sepeda Motor Secara Matematis Bolaotomotif Com
www.bolaotomotif.com

1
encrypted-tbn0.gstatic.com

Waktu Pemesinan Bubut Muka Facing Guru Insight
guruinsight.wordpress.com

Inverter Dan Rumus Menghitung Putaran Motor
id.scribd.com

Inverter Dan Rumus Menghitung Putaran Motor Rectifier
www.scribd.com

Understanding Shaft Alignment Basics Efficient Plant
www.efficientplantmag.com

Pengertian Inverter Atau Variable Speed Drive Dan Prinsip Kerjanya
www.plcdroid.com

The Basics Of Suction Specific Speed Pumps Systems
www.pumpsandsystems.com

Bagaimana Rumus Kecepatan Putaran Spindle Mesin Bubut Brainly Co Id
brainly.co.id

Azizah Hadrawiii
id.scribd.com

Motor Cycle How To Find The Top Speed Through Formulas
motorcycleinf.blogspot.com

Pump Affinity Laws
www.engineeringtoolbox.com

Http Diobubut Blogspot Com 2015 06 Parameter Pemotongan Pada Proses Html

Penghitungan Putaran Mesin Catatan Indah Sebuah Pena
suryaputra2009.wordpress.com

Ball Mill Critical Speed
www.911metallurgist.com

Tapping Feed And Speed Viking Drill And Tool
www.vikingdrill.com

Calculating Grease Quantity Frequency
www.machinerylubrication.com

Cara Pengopelan Rumus Menghitung Diameter Pulley Niagakita
niagakita.id

Pengukuran Frekuensi Ppt Download
slideplayer.info

Https Encrypted Tbn0 Gstatic Com Images Q Tbn 3aand9gctpgo81r6j1eud35wnny3 U7i2iegohb1hl8pxj8hkfa Ov28e0 Usqp Cau
encrypted-tbn0.gstatic.com

Rumus Menghitung Kecepatan Sinkron Pada Kelistrikkan
www.slideshare.net

Root Mean Square Rms And Overall Level
community.sw.siemens.com

close