Sangat Membantu

Rumus Segitiga Mencari Skala


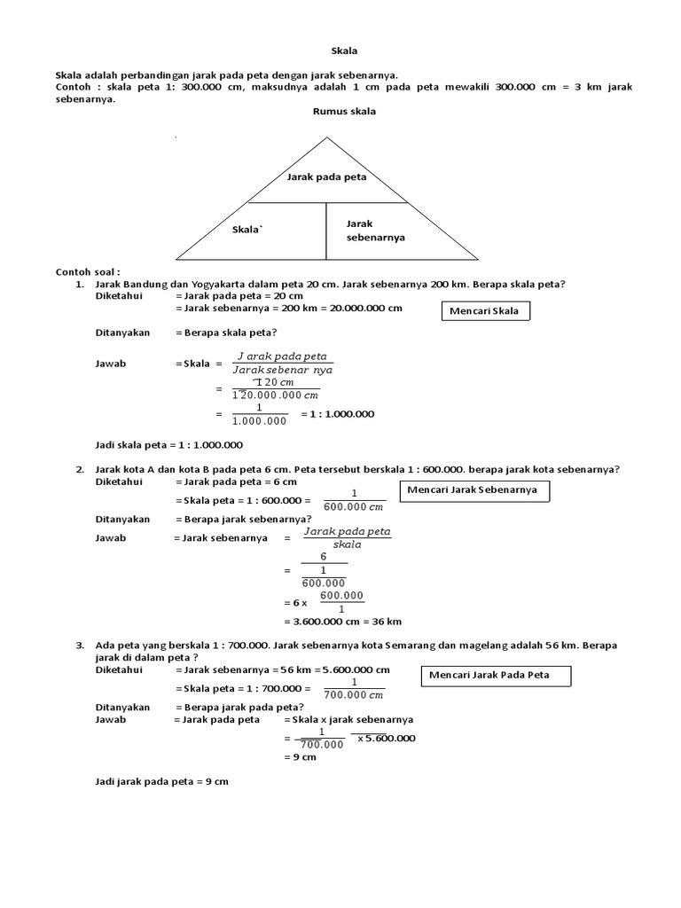
Cara Menghitung Skala Peta Rumus Jarak Sebenarnya
laelitm.com

Soal Dan Pembahasan Aturan Sinus Aturan Cosinus Dan Luas Segitiga Dalam Trigonometri Mathcyber1997
mathcyber1997.com

Segitiga
id.scribd.com

Cara Mudah Menghafal Rumus Segitiga Jkw Vdw Dan Jps Media Guru
onnyrudianto.wordpress.com

Http Eprints Ums Ac Id 51056 19 Naskah 20publikasi 86 Pdf

1 Meter Berapa Cm Berikut Cara Menghitung Skala Jarak Peta
ilmuwan.co.id

Cara Mudah Mencari Jarak Kecepatan Dan Waktu Tempuh Juragan Les
www.juraganles.com

Https Encrypted Tbn0 Gstatic Com Images Q Tbn 3aand9gcqqkjy3zfda R27 Zdsatlrv2io1atp8mdzpxvvpjfimihyji Z Usqp Cau
encrypted-tbn0.gstatic.com

Rumus Dilatasi Pengertian Sifat Contoh Soal Dilatasi
rumus.co.id

Menghitung Skala Peta Membahas Soal Geografi
pembahasangeografi.blogspot.com

Doc Laporan Praktikum Perhitungan Luasan Secara Manual Dengan 3 Metode Fais Ahmad Academia Edu
www.academia.edu

Rumus Dilatasi Pengertian Sifat Contoh Soal Dilatasi
rumusbilangan.com

Menghafal Rumus Dengan Puzzle Segitiga Ruang Belajar Indonesia Mengajar
belajar.indonesiamengajar.org

Skala Peta Pengertian Manfaat Cara Menghitung Soal
rumuspintar.com

Cara Menghitung Luas Tanah Yang Akurat
www.pencariilmu.com

Mengukur Jarak Bintang Dengan Paralaks Dunia Astronomi
duniaastronomi.com

Https Encrypted Tbn0 Gstatic Com Images Q Tbn 3aand9gcqiayfbyvjyt1pvqr0sfehptghi1xtvg6mbr1ytufz P0y8iqpm Usqp Cau
encrypted-tbn0.gstatic.com

1b Menghitung Skala
www.slideshare.net

Pengertian Macam Sifat Dan Soal Cara Mencari Sudut Segitiga
hindayani.com

Rumus Umum Penyelesaian Soal Skala Matematika Solusi Matematika
solusimatematika85.blogspot.com

Lebih Mengenal Transformasi Geometri Rumus Matematika
rumus-matematika.com

Rumus Ppm Doc Document
fdokumen.com

Rangkuman Materi Contoh Soal Mengenai Skala Dan Pembahasannya Lengkap
id.scribd.com

Segitiga Seleb 2 Muhammad Mujahidus Shofa
mujahidus.wordpress.com

Contoh Soal Dan Pembahasan Dilatasi Marthamatika
www.marthamatika.com

Cara Mengerjakan Soal Skala Guru Ilmu Sosial
www.ilmusosial.id

Contoh Soal Dilatasi Rumus Dan Jawabanya
passinggrade.co.id

Kumpulan Rumus Matematika Kelas 6 Sd Lengkap
saintif.com

Ringkasan Materi Gemar Matematika Simetri Lipat Dan Sifat Sifat Bangun Ruang Semua Halaman Bobo
bobo.grid.id

Les Matematika Online Sd Dan Smp Posts Facebook
www.facebook.com

Lebih Mengenal Transformasi Geometri Rumus Matematika
rumus-matematika.com

Cara Menghitung Luas Segitiga Yang Diketahui Panjang Sisi Sisinya Menggunakan Rumus Heron Ukuran Dan Satuan
ukurandansatuan.com

Materi Skala Mencari Skala Jarak Sebenarnya Jarak Pada Peta Teach Id Youtube
www.youtube.com

Cara Menghitung Luas Tanah Dengan Benar
caraharian.com

Cara Menghitung Skala Pada Peta Yang Benar
caramenghitung.com

4 Cara Untuk Mencari Faktor Skala Wikihow
id.wikihow.com

Garis Kontur Pengertian Peraturan Serta Cara Membuat Dan Membacanya Insan Pelajar
insanpelajar.com

Tugu Monumen Nasional Santa S Blog
santastaga.wordpress.com

Pengertian Rumus Teorema Pythagoras Dan Contoh Soal Teorema Pythagoras Beserta Pembahasan Lengkap Pelajaran Sekolah Online
www.pelajaran.co.id

Kumpulan Rumus Matematika Sd Kelas 5
rumushitung.com

Rumus Volume Limas Segitiga Dan Rumus Luas Permukaan Limas
rumusrumus.com

Rumus Dan Cara Mudah Menghitung Besar Skala Nanotech 877
nanotech877.blogspot.com

Skala Pengertian Rumus Serta Cara Menggunakan
www.mahirmatematika.com

Kesebangunan Dan Kekongruenan Idschool
idschool.net

Menghafal Rumus Dengan Puzzle Segitiga Ruang Belajar Indonesia Mengajar
belajar.indonesiamengajar.org

Cara Mudah Mencari Jarak Kecepatan Dan Waktu Tempuh Juragan Les
www.juraganles.com

Rumus Luas Layang Layang Dan Keliling Layang Layang Beserta Sifatnya
www.advernesia.com

Cara Mengerjakan Jarak Sebenarnya Guru Ilmu Sosial
www.ilmusosial.id

Contoh Soal Dilatasi Rumus Dan Jawabanya
passinggrade.co.id

Pertemuan 1 Dan 2 Segi Empat Dan Segitiga
www.slideshare.net

Rumus Hitung Www Silverback Studios Com
silverback-studios.com

Tips Menghitung Konversi Suhu Termometer Tanpa Rumus Contoh Soal Dan Pembahasan Fisikabc
www.fisikabc.com

Garis Kontur Fungsi Karakteristik Macam Macam Dan Contoh Soal Ilmugeografi Com
ilmugeografi.com

Penggunaan Skala Pada Peta Dalam Kehidupan Sehari Hari
blog.ruangguru.com

Bantu Dong Ka Jika Luas Segitiga Sebenarnya Adalah 81 Satuan Persegi Maka Skala Yang Digunakan Brainly Co Id
brainly.co.id

Cara Menghitung Luas Tanah Yang Akurat
www.pencariilmu.com

Rumus Segitiga Luas Keliling Dan Contoh Soal Pembahasannya
saintif.com

Cara Menghitung Luas Tanah Yang Akurat Dan Mudah Bisa Anda Ikuti Rumah Com
www.rumah.com

Rumus Segitiga Siku Siku Luas Keliling Sifat Ciri Dan Contoh Soal
www.zinergi.id

Latihan Soal Mencari Skala Peta Untuk Sd Dan Smp Pak Mono
www.pakmono.com

Rumus Jarak Pada Peta Skala Peta Jarak Sebenarnya Juragan Les
www.juraganles.com

Rumus Matematika Sd Kumpulan Rumus Rumus Matematika Kelas 6 Sd
rumus.co.id

Geometri Transformasi
www.slideshare.net

Rumus Segitiga Sama Sisi Dan Pythagoras Segitiga Advernesia
www.advernesia.com

Rumus Skala Jarak Pada Peta Jarak Sebenarnya Idschool
idschool.net

Doc Menghitung Koreksi Jarak Dan Sudut Perhitungan Selisih Antara Jarak Grafis Dan Jarak Analitis Megananda Selvia Academia Edu
www.academia.edu

Skala Menghitung Skala Jarak Pada Peta Dan Jarak Sebenarnya Youtube
www.youtube.com

Matematika Kelas 5 100institute
www.seratusinstitute.com

Cara Menghitung Skala Peta Diperkecil Diperbesar Gurugeografi Id
www.gurugeografi.id

Rumus Phytagoras Contoh Soal
www.utakatikotak.com

Skala Peta Kartografi Dan Penginderaan Jauh Fakultas Geografi Ugm Ppt Download
slideplayer.info

Soal Dan Pembahasan Perbandingan Dan Skala Mathcyber1997
mathcyber1997.com

Jarak Kota A Dan Kota B Dalam Peta 6 Cm Docx
id.scribd.com

Cara Mengerjakan Jarak Sebenarnya Guru Ilmu Sosial
www.ilmusosial.id

Segitiga Rumus Skala Segitiga Rumus
segitigarumus.wordpress.com

Rumus Skala Peta Lengkap Dengan Cara Penghitungannya
rumusrumus.com

Rumus Pythagoras Disertai Daftar Angkanya Kependidikan Com
kependidikan.com

Soal Dan Jawaban Materi Keliling Bangun Datar Persegi Panjang Dan Segitiga 4 6 Sd Di Tvri 13 Agustus 2020 Minews Id
www.minews.id

Pengertian Macam Sifat Dan Soal Cara Mencari Sudut Segitiga
hindayani.com

Contoh Soal Penjumlahan Vektor Dan Penyelesaiannya Soalfismat Com
soalfismat.com

Modul Matematika Grade 9 July
studylibid.com

Rumus Hitung Segitiga Skala Peta Youtube
www.youtube.com

Cara Menghitung Gambar Atau Model Berskala
mafia.mafiaol.com

Pembelajaran Kelas Ix Semester I Kesebangunan Ppt Download
slideplayer.info

Apa Rumus Mencari Skala Jarak Sebenarnya Jarak Pada Peta Brainly Co Id
brainly.co.id

Menghafal Rumus Dengan Puzzle Segitiga Ruang Belajar Indonesia Mengajar
belajar.indonesiamengajar.org

Greatedu
greatedu.co.id

Cara Menghitung Panjang Sisi Segitiga Siku Siku Dengan Teorema Phytagoras Ukuran Dan Satuan
ukurandansatuan.com

4 Cara Untuk Mencari Faktor Skala Wikihow
id.wikihow.com

Skala Peta Pengertian Manfaat Cara Menghitung Soal
rumuspintar.com

Cara Menghitung Panjang Sisi Segitiga Siku Siku Dengan Teorema Phytagoras Ukuran Dan Satuan
ukurandansatuan.com

Bangun Datar Pengertian Macam Macam Sifat Sifat Dan Rumus Bangun Datar Terlengkap Pelajaran Sekolah Online
www.pelajaran.co.id

Berita Harian Luas Terbaru Hari Ini Kompas Com
www.kompas.com

Pengertian Rumus Skala Lengkap Dengan Pembahasan Contoh Soalnya
rumusmatematika.id

2

Rumus Jarak Pada Peta Skala Peta Jarak Sebenarnya Juragan Les
www.juraganles.com

Rumus Mudah Menghitung Skala Peta Pemetaan Penginderaan Jauh Dan Sistem Informasi Geografis Youtube
www.youtube.com

Skala Peta 1 350 000 Dan Jarak Pada Peta 4 Cm Berapa Jarak Sebenarnya Solusi Matematika
solusimatematika85.blogspot.com

Analisa Struktur 1 Balok Dengan Beban Segitiga Yang Satu Hadap Civil Studio
www.civilstudio.site

Cara Mengerjakan Jarak Sebenarnya Guru Ilmu Sosial
www.ilmusosial.id

Https Encrypted Tbn0 Gstatic Com Images Q Tbn 3aand9gcqqkjy3zfda R27 Zdsatlrv2io1atp8mdzpxvvpjfimihyji Z Usqp Cau
encrypted-tbn0.gstatic.com

Rumus Kontur Docx
dokumen.tips

Rumus Mencari Jarak Pada Peta Jarak Sebenarnya Skala Brainly Co Id
brainly.co.id

close