Sangat Membantu

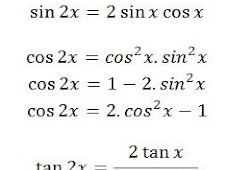
Rumus Sudut Rangkap Tan


Rangkuman Matematika Wajib Trigonometri Dan Limit Fungsi
www.slideshare.net

Rumus Trigonometri Sudut Rangkap
www.mahirmatematika.com

Rumus Trigonometri Dan Fungsi Trigonometri Matematika
rumusrumus.com

Rumus Identitas Trigonometri Lengkap Contoh Soal Dan Pembahasan
saintif.com

Soal Dan Jawaban Trigonometri Tangen Sudut Ganda
www.edutafsi.com

Rumus Dasar Matematika Rumus Sudut Rangkap Dua Dan Tiga Trigonometri
rumusdasarmatematika.blogspot.com

Integral Trigonometri Rumus Integral Cos Soal Pembahasan
www.dosenpendidikan.co.id

Rumus Trigonometri Dua Sudut Ppt Download
slideplayer.info

Http Matematika Lovers Blogspot Com 2012 05 Sudut Ganda Html

6 Pembuktian Rumus Sudut Rangkap Youtube
www.youtube.com

Https Encrypted Tbn0 Gstatic Com Images Q Tbn 3aand9gcshhnyyhpg4mn7yxqpz Vw6f6whr9gaeokjha Bl 1p4ix Zosk Usqp Cau
encrypted-tbn0.gstatic.com

Rumus Trigonometri Serta Cara Memperolehnya Rumus Matematika
rumus-matematika.com

Rumus Trigonometri Sudut Rangkap
www.mahirmatematika.com

Https Encrypted Tbn0 Gstatic Com Images Q Tbn 3aand9gcsphjpomxrab0rkuard 3p Qijweqxzeuexzkbie3p Otwqtnqp Usqp Cau
encrypted-tbn0.gstatic.com

Rumus Jumlah Dan Selisih Sudut Sin Cos Dan Tan Idschool
idschool.net

Integral Trigonometri Rumus Integral Cos Soal Pembahasan
www.dosenpendidikan.co.id

Sma Negeri 15 Tangerang Trigonometri Matematika Sma Ppt Download
slideplayer.info

Contoh Soal Dan Materi Pelajaran 5 Contoh Soal Trigonometri Sudut Rangkap Tiga
kumpuancontohsoalpopuler64.blogspot.com

Lagu Trigonometri Jembatan Keledai Another Me
dinayuuhuu.wordpress.com

Sinus Cosinus Dan Tangen Sudut Rangkap Pendidikan Matematika Laman 2
yos3prens.wordpress.com

Rpp Matematika Sma Trigonometri Ipa
www.slideshare.net

Rumus Trigonometri Sudut Rangkap
www.mahirmatematika.com

Rumus Sudut Rangkap Lengkap Dengan Contoh Soal
rumus.co.id

Rumus Sudut Rangkap Trigonometri Dan Contoh Soalnya Lengkap
rumusbilangan.com

Rumus Trigonometri Untuk Jumlah Dan Selisih Dua Sudut
www.slideshare.net

Contoh Soal Trigonometri Sudut Pertengahan Guru Ilmu Sosial
www.ilmusosial.id

Sinus Cosinus Dan Tangen Sudut Rangkap Pendidikan Matematika
yos3prens.wordpress.com

Rumus Dasar Matematika Rumus Sudut Rangkap Dua Dan Tiga Trigonometri
rumusdasarmatematika.blogspot.com

Rumus Fungsi Trigonometri Sudut Pertengahan
maths.id

Diketahui A Adalah Sudut Tumpul Dan B Adalah Sudut Yang Berada Pada Kuadran 1 Jika Cos A 2 3 Brainly Co Id
brainly.co.id

Trigonometri
pt.slideshare.net

Materi Lengkap Trigonometri Dengan Fungsi Rumus Dan Pembahasan Contoh Soal Pelajaran Sekolah Online
www.pelajaran.co.id

Soal Dan Pembahasan Trigonometri Cosinus Setengah Sudut
www.edutafsi.com

Pembuktian Rumus Trigonometri Sudut Rangkap Dan Contoh Soal Edumatik Net
edumatik.net

Rumus Sudut Rangkap Trigonometri Dan Contoh Soalnya Lengkap
rumusbilangan.com

Rumus Sudut Rangkap Lengkap Dengan Contoh Soal
rumus.co.id

3
encrypted-tbn0.gstatic.com

Contoh Soal Dan Materi Pelajaran 5 Contoh Soal Trigonometri Sudut Rangkap Tiga
kumpuancontohsoalpopuler64.blogspot.com

Https Gudangsoalsml Blogspot Com 2019 03 Trigonometri Sudut Rangkap Html

Rumus Jumlah Dan Selisih Dua Sudut Trigonometri Edumatik Net
edumatik.net

Rpp 7 5 Perb Trig Utk Jlh Atau Selisih Dua Buah Sudut
www.slideshare.net

Trigonometri
www.slideshare.net

Rumus Identitas Trigonometri Lengkap Idschool
idschool.net

Rumus Trigonometri L Abc L Abc
studylibid.com

Sinus Cosinus Dan Tangen Sudut Rangkap Pendidikan Matematika Laman 2
yos3prens.wordpress.com

Trigonometri Pembuktian Sudut Rangkap Tri Khidayanti
www.trikhidayanti.web.id

Sinus Cosinus Dan Tangen Sudut Rangkap Pendidikan Matematika
yos3prens.wordpress.com

Contoh Soal Trigonometri Sudut Pertengahan Guru Ilmu Sosial
www.ilmusosial.id

Lembar Kerja Peserta Didik Lkpd Sudut Rangkap
id.scribd.com

Tips Menghafal Rumus Rumus Trigonometri Dengan Cepat Dan Mudah
www.utakatikotak.com

Identitas Trigonometri Rumus Penjelasan Pembuktian Soal Jawaban
www.pinterpandai.com

Trigono 2 Sudut Rangkap Oke Flv Youtube
www.youtube.com

Rumus Trigonometri Sudut Rangkap Idschool
idschool.net

Berbagi Sharing Rumus Sudut Ganda Atau Rangkap Part1 Lengkap Trigonometri
berbagiilmuuntukkamu.blogspot.com

Identitas Trigonometri Rumus Penjelasan Pembuktian Soal Jawaban
www.pinterpandai.com

Rumus Trigonometri Untuk Sudut Ganda Konsep Matematika Koma
www.konsep-matematika.com

Rumus Trigonometri Sudut Rangkap
www.mahirmatematika.com

Rumus Fungsi Trigonometri Sudut Rangkap
maths.id

Contoh Soal Trigonometri Sudut Pertengahan Guru Ilmu Sosial
www.ilmusosial.id

Materi Lengkap Trigonometri Dengan Fungsi Rumus Dan Pembahasan Contoh Soal
www.utakatikotak.com

Rumus Trigonometri Sudut Pertengahan Idschool
idschool.net

Contoh Soal Dan Materi Pelajaran 5 Contoh Soal Trigonometri Sudut Rangkap Tiga
kumpuancontohsoalpopuler64.blogspot.com

Limit Trigonometri Rumushitung Com
rumushitung.com

Sinus Cosinus Dan Tangen Sudut Rangkap Pendidikan Matematika Laman 3
yos3prens.wordpress.com

Lagu Trigonometri Jembatan Keledai Another Me
dinayuuhuu.wordpress.com

Sinus Cosinus Dan Tangen Sudut Rangkap Pendidikan Matematika Laman 3
yos3prens.wordpress.com

Sinus Cosinus Dan Tangen Sudut Rangkap Pendidikan Matematika Laman 2
yos3prens.wordpress.com

Rumus Trigonometri
pt.slideshare.net

Rumus Trigonometri Sudut Rangkap
www.mahirmatematika.com

Rumus Trigonometri
id.scribd.com

Https Gudangsoalsml Blogspot Com 2019 03 Trigonometri Sudut Rangkap Html

Trigonometri Pembuktian Sudut Ganda Rangkap Youtube
m.youtube.com

Asal Usul Rumus Sudut Rangkap Tangen Youtube
www.youtube.com

Rumus Trigonometri Dan Fungsi Trigonometri Matematika
rumusrumus.com

Rumus Sudut Rangkap Tiga
ihaweb.blogspot.com

Rumus Jumlah Dan Selisih Sudut Sin Cos Dan Tan Idschool
idschool.net

Sudut Rangkap Trigonometri Youtube
m.youtube.com

Rumus Trigonometri Sudut Rangkap
www.mahirmatematika.com

Rumus Dasar Matematika Rumus Sudut Rangkap Dua Dan Tiga Trigonometri
rumusdasarmatematika.blogspot.com

11 Trigonometri Rumus Sudut Rangkap
id.scribd.com

Rpp 7 5 Perb Trig Utk Jlh Atau Selisih Dua Buah Sudut
www.slideshare.net

Pelajaran Soal Rumus Trigonometri Sudut Rangkap Wardaya College
www.wardayacollege.com

Lks Sudut Rangkap Lkpd
id.scribd.com

Rumus Sudut Rangkap Lengkap Dengan Contoh Soal
rumus.co.id

Trigonometri Rumus Sudut Rangkap For Android Apk Download
apkpure.com

Tips Menghafal Rumus Rumus Trigonometri Dengan Cepat Dan Mudah
www.utakatikotak.com

Rumus Trigonometri Dan Contoh Contoh Soal Beserta Jawabannya
www.pinterpandai.com

Rumus Fungsi Trigonometri Penjumlahan Dan Pengurangan Dua Sudut
maths.id

Tips Menghafal Rumus Rumus Trigonometri Dengan Cepat Dan Mudah
www.utakatikotak.com

Ppt Mtk Meisy
id.scribd.com

Pengertian Trigonometri Fungsi Rumus Dan Contoh Soal Rumuspelajaran Com
www.rumuspelajaran.com

Trigonometri Pembuktian Sudut Rangkap Tri Khidayanti
www.trikhidayanti.web.id

Https Gudangsoalsml Blogspot Com 2019 03 Trigonometri Sudut Rangkap Html

Contoh Soal Trigonometri Sudut Pertengahan Guru Ilmu Sosial
www.ilmusosial.id

Rumus Identitas Trigonometri Lengkap Idschool
idschool.net

Rumus Trigonometri Sudut Rangkap Idschool
idschool.net

Trigonometri Wikipedia Bahasa Indonesia Ensiklopedia Bebas
id.wikipedia.org

Hubungan Fungsi Trigonometri Copy
es.scribd.com

Tentukan Nilai Sin 2 Teta Cos 2 Teta Dan Tan 2 Teta Menggunakan Rumus Trigonometri Sudut Rangkap Brainly Co Id
brainly.co.id

Rumus Trigonometri Contoh Soal Pembahasannya Lengkap
www.nesabamedia.com

Contoh Soal Dan Materi Pelajaran 5 Contoh Soal Trigonometri Setengah Sudut Dan Pembahasannya
kumpuancontohsoalpopuler64.blogspot.com

Trigonometri Analitik Rumus Sudut Rangkap Tan Soal 4 Matematika Peminatan Kelas 11 Youtube
www.youtube.com

Trigonometri Analitik Rumus Sudut Rangkap Tan Soal 4 Matematika Peminatan Kelas 11 Youtube
www.youtube.com

close