Sangat Membantu

Rumus Tekanan Gas Ideal


Materi Teori Kinetik Gas Dan Termodinamika
fisikakontekstual.com

Pin Di Matematika
www.pinterest.com.au

Teori Kinetika Gas
www.slideshare.net

Teori Kinetik Gas
www.slideshare.net

Contoh Soal Tekanan Gas Dan Penyelesaiannya Soalfismat Com
soalfismat.com

Teori Kinetik Gas Zainal Abidin
www.slideshare.net

Teori Kinetik Gas
fisikasma.xyz

Suhu Dan Energi Kinetik Rata Rata Partikel Gas Pengertian
cpengertian.blogspot.com

Penurunan Rumus Gas Ideal
id.scribd.com

Teori Kinetik Gas
id.scribd.com

Teori Kinetik Gas Ideal Physics Fun
andriyanilisah.weebly.com

Teori Kinetik Gas Fisika Kelas 11 Quipper Blog
www.quipper.com

Materi Teori Kinetik Gas Dan Termodinamika
fisikakontekstual.com

Teori Kinetik Gas Fisika Kelas 11 Quipper Blog
www.quipper.com

Persamaan Gas Ideal Djukarna
djukarna.wordpress.com

Soal Termodinamika Serta Pembahsan
www.slideshare.net

Belajar Hukum Boyle Bunyi Rumus Contoh Soal Dan Pembahasannya
www.nesabamedia.com

Rumus Tekanan Fisika Bersama Contoh Soal Dan Jawaban Penekanan Fisika Persamaan
id.pinterest.com

Penurunan Rumus Persamaan Gas Ideal Pv
id.scribd.com

Sebuah Tabung Permanen Bervolume 6000 Liter Berisi Gas Ideal Pada Suhu 27 Derajat Celcius Dan Brainly Co Id
brainly.co.id

Teori Kinetika Gas
www.slideshare.net

Physics Hukum Gas Ideal Persamaan Keadaan Gas Ideal
teori-fisika.blogspot.com

Materi Konsep Mol
www.slideshare.net

Persamaan Gas Ideal Djukarna
djukarna.wordpress.com

Teori Kinetik Gas Dan Termodinamika
fisikakontekstual.com

Bajar Ajar Fi Sisika Gas Ideal Revisi Ppt
www.slideshare.net

Contoh Soal Persamaan Umum Gas Ideal Dan Penyelesaiannya Soalfismat Com
soalfismat.com

Materi Teori Kinetik Gas Dan Termodinamika
fisikakontekstual.com

Teori Kinetik Gas Persamaan Gas Ideal Ppt Download
slideplayer.info

Persamaan Gas Ideal Djukarna
djukarna.wordpress.com

Persamaan Gas Ideal Djukarna
djukarna.wordpress.com

Tekanan Gas Pengertian Hukum Rumus Alat Ukur Dan Contohnya
rumus.co.id

Persamaan Gas Ideal Djukarna
djukarna.wordpress.com

Kimia 5 6 Hukum Tekanan Parsial Dalton
www.chem.co.id

Teori Kinetik Gas Gurumuda Net
gurumuda.net

Hukum Gas Gabungan Wikipedia Bahasa Indonesia Ensiklopedia Bebas
id.wikipedia.org

Berkelas Ppt Download
slideplayer.info

Teori Kinetik Gas Sma Al Hikmah Muncar
www.smaalhikmah.sch.id

Teori Kinetik Gas Zainal Abidin
www.slideshare.net

Persamaan Gas Ideal Djukarna
djukarna.wordpress.com

Materi Teori Kinetik Gas Dan Termodinamika
fisikakontekstual.com

Persamaan Pada Gas Ideal Hukum Boyle Gay Lussac
mafia.mafiaol.com

Teori Kinetik Gas Fisika Kelas 11 Quipper Blog
www.quipper.com

Bunyi Hukum Charles Rumus Contoh Soal Dan Penjelasan Lengkap Gammafis Blog
www.gammafisblog.com

Rumus Rumus Fisika Lengkap Teori Kinetik Gas
id.scribd.com

Hukum Hukum Gas Chemist Fun
kimiakar.blogspot.com

Tekanan Sebanding Dengan Energi Kinetik Rumushitung Com
rumushitung.com

Tekanan Gas Pengertian Alat Ukur Hukum Dan Contoh Ayokboco Com
www.ayokboco.com

Kalor 2 Gas Ideal Hukum Termodinamika 1 Ppt Download
slideplayer.info

Tekanan Gas Ideal
mempelajari-fisika.blogspot.com

Contoh Soal Teori Kinetik Gas Dan Termodinamika
gurupengajar.com

Hukum Boyle Dan Rumus Persamaan Gas Ideal
id.scribd.com

Gas Ideal Tetapan Gas Konstanta Gas Ideal Contoh Soal Jawaban
www.pinterpandai.com

Gas Ideal Syarat Gas Ideal Ppt Download
slideplayer.info

Belajar Gas Ahmad Abdul Qodir
aabdulqodir.wordpress.com

Teori Kinetik Gas
www.slideshare.net

Teori Kinetik Gas Pengertian Hukum Standar Penerapan Contoh
blog.edukasystem.com

Https Encrypted Tbn0 Gstatic Com Images Q Tbn 3aand9gctb O1fjoiuirkkoy Wqzlnord1ornp5a0lfq Usqp Cau

Doc Persamaan Gas Ideal Mkhaisyar Lbs Academia Edu
www.academia.edu

Hukum Boyle
id.scribd.com

Tekanan Gas Menurut Teori Kinetik Gas Ayo Sekolah Fisika
www.ayo-sekolahfisika.com

Pengertian Gas Ideal
adib-hasan.com

Tekanan Saadah Blog
nsaadah75.wordpress.com

Doc Handout Teori Kinetik Gas Mutiara Cess Academia Edu
www.academia.edu

Gas Ideal Memiliki Volume 6 L Pada Suhu 27 C Gas Dipanaskan Hingga Suhu 127 C Pada Tekanan Tetap 2 Brainly Co Id
brainly.co.id

Kimia Fisika I
id.scribd.com

Teori Kinetik Gas Docx
id.scribd.com

Teori Kinetik Gas Ideal Physics Fun
andriyanilisah.weebly.com

Hukum Hukum Gas Ideal Hukum Boyle Charles Dan Gay Lussac
fisikazone.com

Rumus Tekanan Osmotik Beserta Pengertian Dan Contoh Soal
rumusrumus.com

Rumus Fisika Mekanika Fluida
studylibid.com

Bab 12 Campuran Dari Gas Ideal Dan Uap Ppt Download
slideplayer.info

05 Keadaan Gas
www.slideshare.net

Soal Dan Pembahasan Tentang Gas Ideal Fisika Usaha321 Net
usaha321.net

Kimia Fisik I 3 3 0 Tim Pengajar 1 Komar Sutriah Ppt Download
slideplayer.info

Fluida Dinamis Persamaan Bernoulli Ciri Dan Contoh Soal
www.gurupendidikan.co.id

Hukum Henry Rumus Nilai Konstanta Kelarutan Gas Dalam Air Soal
www.pinterpandai.com

Teori Kinetik Gas Hukum Boyle Charles Gay Lussac
passinggrade.co.id

Grafik Tekanan P Terhadap Volume V Berikut Menggambarkan Perubahan Sistem Gas Ideal Dari P Q R P Brainly Co Id
brainly.co.id

Suatu Gas Ideal Sebanyak 4 Liter Memiliki Tekanan 1 5 Atmosfer Dan Suhu 27 C Jika Suhunya 47 C Brainly Co Id
brainly.co.id

Teori Kinetika Gas
www.slideshare.net

Teori Kinetik Gas Zainal Abidin
www.slideshare.net

Teori Kinetik Gas Fisika Kelas 11 Quipper Blog
www.quipper.com

Energi Kinetik Rata Rata Gas Gurumuda Net
gurumuda.net

Penurunan Rumus Kecepatan Akar Rata Rata Kuadrat Gas Ideal Youtube
www.youtube.com

Teori Kinetik Gas Persamaan Gas Ideal Prinsip Ekuipartisi Energi Hukum Hukum Gas Rumus Contoh Soal Kunci Jawaban
www.nafiun.com

Hukum Gas Ideal Persamaan Keadaan Gas Ideal Gurumuda Net
gurumuda.net

Energi Dalam Gas Ideal Gurumuda Net
gurumuda.net

Teori Kinetik Gas Fisika Kelas 11 Quipper Blog
www.quipper.com

Teori Kinetik Gas Fisika Kelas 11 Quipper Blog
www.quipper.com

File
studylibid.com

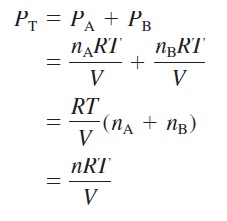
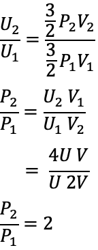
Jika Volume Gas Ideal Diperbesar Dua Kali Semula Ternyata Energi Dalamnya Menjadi Empat Kali Semula Tentukan Hasil Bagi Mas Dayat
www.masdayat.net

Contoh Soal Teori Kinetik Gas Gurumuda Net
gurumuda.net

Gay Lussac Saadah Blog
nsaadah75.wordpress.com

Pengertian Bunyi Rumus Penerapan Dan Contoh Soal Hukum Boyle Terlengkap Pelajaran Sekolah Online
www.pelajaran.co.id

Teori Kinetik Gas Zainal Abidin
www.slideshare.net

05 Keadaan Gas
www.slideshare.net

Gas Ideal Rumus Dan Serba Serbinya
rumushitung.com

Persamaan Gas Ideal Djukarna
djukarna.wordpress.com

Stoikiometri Materi Pengertian Rumus Contoh Soal
rumusrumus.com

close