Sangat Membantu

Rumus Tinggi Maksimum Peluru


Menentukan Besar Sudut Elevasi Gerak Parabola
www.edutafsi.com

Gerak Parabola
www.slideshare.net

Tutorial Gerak Parabola Menghitung Ketinggian Maksimum Fisika Sma Youtube
www.youtube.com

Mencari Tinggi Maksimum Gerak Jatuh Bebas Ardra Biz
ardra.biz

Rumus Gerak Parabola Pengertian Lengkap Dengan Penjelasannya
rumusrumus.com

Un Sma Matematika 2017 Prediksi Pembahasan No 20 Turunandifferensial Ketinggian Maksimum Youtube
www.youtube.com

Gerak Parabola Fisika Glb Dan Glbb Rumus Contoh Soal Jawaban
www.pinterpandai.com

Contoh Soal Gerak Parabola Rumus Dan Jawabannya
passinggrade.co.id

Https Encrypted Tbn0 Gstatic Com Images Q Tbn 3aand9gcqujzrvxfi4ewwwi4vf2xvkghf Wor2pgyghtvofhs Usqp Cau
encrypted-tbn0.gstatic.com

Rumus Gerak Parabola Dan Keterangannya Idschool
idschool.net

Gerak Parabola
fisikastudycenter.com

Pdf Penerapan Kalkulus Peubah Banyak Dalam Kasus Proyektil Yang Ditembakkan Hendra Kartika Academia Edu
www.academia.edu

Gerak Parabola
fisikastudycenter.com

Rumus Gerak Parabola Dan Keterangannya Idschool
idschool.net

Contoh Soal Dan Pembahasan Gerak Parabola Jendela Ilmu
www.jendelailmu.net

Gerak Parabola Contoh Soal Ciri Pengertian Rumus Jenis
dunia.pendidikan.co.id

Mahasiswa Memahami Konsep Gerak Parabola Jenis Gerak Parabola Emnganalisa Dan Membuktikan Secara Matematis Gerak Parabola Pdf Download Gratis
docplayer.info

Menentukan Ketinggian Dan Jarak Maksimum Gerak Parabola
www.edutafsi.com

Mencari Tinggi Maksimum Gerak Jatuh Bebas Ardra Biz
ardra.biz

Rumus Gerak Parabola
blog.ruangguru.com

Pengertian Gerak Parabola Jenis Ciri Rumus Contoh Soal
www.gurupendidikan.co.id

Contoh Soal Gerak Parabola Gerak Peluru Gurumuda Net
gurumuda.net

Gerak Parabola Pengertian Rumus Persamaan Dan Contohnya
soalkimia.com

Rumus Gerak Parabola Dan Keterangannya Idschool
idschool.net

Pengertian Rumus Contoh Soal Dan Jawaban Gerak Vertikal Ke Atas Siswapedia
www.siswapedia.com

Un Sma Matematika 2017 Prediksi Pembahasan No 20 Turunandifferensial Ketinggian Maksimum Youtube
www.youtube.com

Pengertian Gerak Parabola Jenis Ciri Rumus Contoh Soal
www.gurupendidikan.co.id

Gerak Parabola Pengertian Komponen Rumus Contoh Soal Materiipa Com
materiipa.com

Gerak Parabola Pengertian Contoh Gerak Rumus Dan Contoh Soal
guruakuntansi.co.id

Sebuah Peluru Ditembakkan Vertikal Ke Atas Hubungan Tinggi Peluru H Dalam Meter Dengan Waktu Brainly Co Id
brainly.co.id

Gerak Parabola Beserta Soal
www.slideshare.net

Mahasiswa Memahami Konsep Gerak Parabola Jenis Gerak Parabola Emnganalisa Dan Membuktikan Secara Matematis Gerak Parabola Pdf Download Gratis
docplayer.info

Doc Gerak Parabola Dan Gerak Melingkar Yudi Darma Academia Edu
www.academia.edu

Pengertian Gerak Parabola Jenis Ciri Rumus Contoh Soal
www.gurupendidikan.co.id

Rumus Rumus Gerak Parabola Our Window
mikamanurung94.wordpress.com

Pengertian Rumus Contoh Soal Dan Jawaban Gerak Vertikal Ke Atas Siswapedia
www.siswapedia.com

Sebuah Mobil Tank Alat Tempur Menembakkan Peluru Dari Moncong Meriam Dgn Kecepatan Awal 150 M S Brainly Co Id
brainly.co.id

Gerak Parabola Fisika Glb Dan Glbb Rumus Contoh Soal Jawaban
www.pinterpandai.com

Gerak Parabola
www.slideshare.net

Soal Dan Pembahasan Fisika Tentang Gerak Parabola 1 Belajar Fisika Dan Matematika
fismatbykagit.school.blog

Sebuah Peluru Ditembakkan Ke Atas Tinggi H Meter Peluru Setelah Bergerak Selama T Detik Dinyatakan Brainly Co Id
brainly.co.id

Rumus Rumus Gerak Parabola Our Window
mikamanurung94.wordpress.com

Gerak Parabola Pengertian Contoh Gerak Rumus Dan Contoh Soal
guruakuntansi.co.id

Pdf Simulasi Mencari Waktu Pada Gerak Parabola Peluru
www.researchgate.net

Pdf H Hmaks Gerak Peluru Teori Singkat Y Riris Sitorus Academia Edu
www.academia.edu

Media Belajar Online Gerak Peluru Parabola
mediabelajaronline.blogspot.com

Waktu Untuk Mencapai Titik Tertinggi Gerak Parabola
www.edutafsi.com

Rumus Mencari Waktu Pada Tinggi Maksimum Brainly Co Id
brainly.co.id

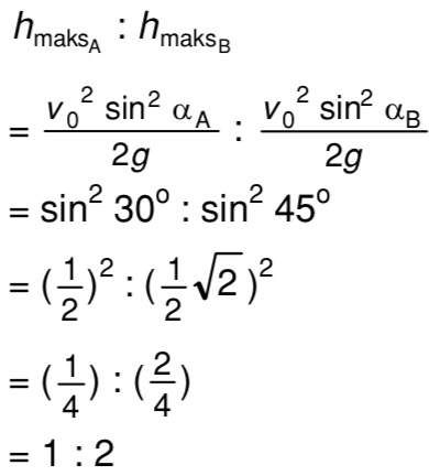
Peluru A Dan B Ditembakkan Dari Senapan Yang Sama Dengan Sudut Elevasi 30 Derajat Dan 45 Derajat Brainly Co Id
brainly.co.id

Soal Gerak Parabola Beserta Pembahasan Fokus Fisika
fokusfisika.com

Rumus Gerak Parabola
www.slideshare.net

Rumus Gerak Parabola Pdf
id.scribd.com

Gerak Parabola
www.slideshare.net

Soal Gerak Parabola
id.scribd.com

Soal Dan Pembahasan Bab 1 Gerak Dalam Bidang Fisika Sma 2 Part 2 Tiga Serangkai
www.tigaserangkai.com

Scienceedu Gerak Parabola
destialvscienceeducation.blogspot.com

Rumus Gerak Parabola
blog.ruangguru.com

Pengertian Rumus Contoh Soal Dan Jawaban Gerak Vertikal Ke Atas Siswapedia
www.siswapedia.com

Gerak Parabola Oleh S A L A M S Pd Perpaduan Antara Ppt Download
slideplayer.info

Contoh Soal Gerak Parabola Gerak Peluru Gurumuda Net
gurumuda.net

Gerak Benda Datar Dengan Percepatan Tetap Ppt Download
slideplayer.info

Gerak Parabola Pengertian Rumus Persamaan Dan Contohnya
soalkimia.com

Kinematika 2d Gerak Parabola Gerak Peluru Tentorku
www.tentorku.com

Gerak Parabola Pengertian Rumus Dan Contoh Soal Gerak Parabola
www.studiobelajar.com

Gerak Parabola Dan Rumus Fisikanya
rumushitung.com

Rumus Cepat Gerak Parabola Guru Ilmu Sosial
www.ilmusosial.id

Gerak Peluru Wordpress Com
studylibid.com

Contoh Soal Gerak Parabola Serta Pembahasannya Jawaban Soalfismat Com
soalfismat.com

Gerak Benda Datar Dengan Percepatan Tetap Ppt Download
slideplayer.info

Gerak Parabola Pengertian Ciri Jenis Rumus Faktor Landasan Dan Contoh
pakdosen.pengajar.co.id

Dua Peluru Ditembakkan Dengan Kecepatan Sama Tapi Dengan Sudut 30 Derajat Dan 45 Derajat Perbandingan Ketinggian Maksimum Keduanya Soal Fisika
soalfisika85.blogspot.com

Pengertian Gerak Parabola Beserta Rumus Kelas Pintar
www.kelaspintar.id

Rumus Gerak Parabola
blog.ruangguru.com

Bola Ditembakkan Dengan Sudut 30 Derajat Berapa Waktu Untuk Mencapai Ketinggian Maksimum Soal Fisika
soalfisika85.blogspot.com

Contoh Soal Dan Pembahasan Persamaan Kuadrat Sma
www.sigendrem.com

Contoh Soal Gerak Parabola Rumus Dan Jawabannya
passinggrade.co.id

Gerak Parabola Pengertian Komponen Rumus Contoh Soal Materiipa Com
materiipa.com

Menghitung Jarak Dan Ketinggian Pada Gerak Parabola Myrightspot Com
www.myrightspot.com

Rumus Gerak Parabola Dan Keterangannya Idschool
idschool.net

1
encrypted-tbn0.gstatic.com

Contoh Soal Menentukan Ketinggian Maksimum Gerak Parabola Gurumuda Net
gurumuda.net

Rumus Rumus Penting Fisika By Santo Edi
studylibid.com

Tinggi Maksimun Yang Dapat Dicapai Peluru Yang Ditembakkan Vertikal Ke Atas Youtube
m.youtube.com

Kumpulan Soal Dan Pembahasan Soal Ujian Nasional Un Fisika Sma Part 1 Gerak Parabola Gammafis Blog
www.gammafisblog.com

Pengertian Gerak Parabola Jenis Ciri Rumus Contoh Soal
www.gurupendidikan.co.id

Menghitung Jarak Dan Ketinggian Pada Gerak Parabola Myrightspot Com
www.myrightspot.com

Kinematika Dan Gerak Parabola Contoh Soal Dan Pembahasan
kinemotionparabolic.blogspot.com

Contoh Soal Dan Pembahasan Gerak Parabola Jendela Ilmu
www.jendelailmu.net

Mencari Tinggi Maksimum Gerak Jatuh Bebas Ardra Biz
ardra.biz

Gerak Parabola Pengertian Rumus Persamaan Dan Contohnya
soalkimia.com

Rumus Gerak Parabola Pengertian Lengkap Dengan Penjelasannya
rumusrumus.com

Rumus Gerak Parabola Dan Keterangannya Idschool
idschool.net

Gerak Parabola Dan Rumus Fisikanya
rumushitung.com

Peluru A Dan B Ditembakkan Dari Senapan Yang Sama Dengan Sudut Elevasi Berbeda Peluru A Mas Dayat
www.masdayat.net

Gerak Parabola Blog Fisika Untuk Guru Dan Siswa
fisikaoneoke.wordpress.com

Contoh Soal Gerak Parabola Rumus Dan Jawabannya
passinggrade.co.id

Praktikum Gerak Parabola Xi Ipa 3 Kelompok C
id.scribd.com

Modul Rumus Soal Gerak Parabola Wardaya College
www.wardayacollege.com

Sebuah Peluru Ditembakkan Vertikal Ke Atas Tinggi Roket Setelah T Detik Dinyatakan Dengan Rumus Brainly Co Id
brainly.co.id

Gerak Parabola Pengertian Contoh Gerak Rumus Dan Contoh Soal
guruakuntansi.co.id

Contoh Soal Bandul Balistik Fokus Fisika
fokusfisika.com

Peluru Bermassa 10 G Ditembakkan Dengan Kecepatan Awal 100 M S Apabila Sudut Elevasi Peluru Mas Dayat
www.masdayat.net

close