Sangat Membantu

Rumus Turunan U Kali V


Aturan Rantai Turunan Contoh Dan Pembahasan Chafia Science
chafias.com

Rumus Integral Matematika
rumushitung.com

Rumus Bantu Turunan Fungsi
www.scribd.com

Turunan Fungsi Aljabar Pengertian Materi Rumus Dan Contoh Soal
edmodo.id

Turunan Fungsi Lengkap
www.slideshare.net

Pengembangan Rumus Turunan Fungsi Aljabar Materi Lengkap Matematika
www.materimatematika.com

Rumus Limit Fungsi Aljabar Dan Turunan Fungsi Aljabar Rumusq Id
rumusq.id

Soal Dan Penyelesaian Turunan Fungsi Part 1 Youtube
www.youtube.com

Pengembangan Rumus Turunan Fungsi Aljabar Materi Lengkap Matematika
www.materimatematika.com

Contoh Soal Turunan Fungsi Perkalian Dan Pembagian
www.kontensekolah.com

Rumus Integral Matematika
rumushitung.com

Turunan Fungsi Trigonometri Dan Contoh Soalnya Rumus Co Id
rumus.co.id

Turunan Fungsi Aljabar Turunan Dasar Rumus Soal Pembahasan
www.yuksinau.id

Soal Dan Pembahasan Turunan Fungsi Aljabar Mathcyber1997
mathcyber1997.com

19 Modul Turunan Diferensial Pak Sukani
www.slideshare.net

Pembuktian Dan Penurunan Rumus Turunan Marthamatika
www.marthamatika.com

Soalfismat Com Laman 54 Penyelesaian Soal Fisika Dan Matematika
soalfismat.com

Turunan Fungsi Aljabar Rumus Dan Contoh Soal
blog.edukasystem.com

Menghitung Turunan Fungsi Yang Sederhana Dalam Bentuk Pangkat Dan Konstan Bangku Sekolah
bangkusekolah.com

Turunan Fungsi Aljabar Lengkap Dengan Contoh Contohnya Rumah Pintar Pku
www.rumahpintarpku.com

Turunan Pertama Dari Fungsi F X X 1 2 X 1 Adalah F X Youtube
m.youtube.com

Turunan Fungsi Aljabar Ppt Download
slideplayer.info

Turunan Fungsi Trigonometri M4th Lab
www.m4th-lab.net

Turunan Differential Widya Zaza Putri
widyaazp.wordpress.com

Turunan Fungsi Lengkap
www.slideshare.net

Aturan Turunan Teorema Turunan
maths.id

Integral Melibatkan N Ax B Jika N Ax B Muncul Dalam Suatu Integralsubstitusi U
www.coursehero.com

Turunan Fungsi Aljabar Turunan Dasar Rumus Soal Pembahasan
www.yuksinau.id

Menghitung Integral Dengan Menggunakan Rumus Integral Parsial Materi Lengkap Matematika
www.materimatematika.com

Rumus Turunan Lengkap Beserta Contoh Rumus Matematika
rumus-matematika.com

Turunan Fungsi Lengkap
www.slideshare.net

Selingkar Rumah Matematika Turunan Hasil Bagi Fungsi Fungsi Aljabar
selingkarrumahmatematika.blogspot.com

Rumus Integral Trigonometri Rumushitung Com
rumushitung.com

Rumus Turunan Lengkap Beserta Contoh Rumus Matematika
rumus-matematika.com

Modul V Turunan Fungsi Ppt Download
slideplayer.info

Ppt Pengintegralan Parsial Powerpoint Presentation Free Download Id 3646137
www.slideserve.com

Https Encrypted Tbn0 Gstatic Com Images Q Tbn 3aand9gcsqsk Nkxgwefiy9sddth3 2vgvjrbxd3cmpoykh0th2et7eoki Usqp Cau
encrypted-tbn0.gstatic.com

Rumus Integral Trigonometri Rumushitung Com
rumushitung.com

Pengembangan Rumus Turunan Fungsi Aljabar Contoh Soal 4
contohsoalunbk-04.blogspot.com

Turunan Fungsi Aljabar Turunan Dasar Rumus Soal Pembahasan
www.yuksinau.id

Turunan Trigonometri Matematika Kelas 11 Quipper Blog
www.quipper.com

Turunan Pembahasan Dan Contoh Soal Matematika
mathematics4us.com

1 Fungsi Konstan Perkalian Turunan Fungsi Aljabar
id.scribd.com

Doc Rumus Rumus Integral Kalkulus Ii 1 1 Definisi Integral Tak Tentu Indefinite Integral Mamuk Prasetyo Academia Edu
www.academia.edu

Menghitung Integral Dengan Menggunakan Rumus Integral Parsial Materi Lengkap Matematika
www.materimatematika.com

Turunan Matematika Materi Aljabar Trigonometri Aplikasi Turunan
www.yuksinau.id

Memahami Macam Macam Integral Rumus Matematika
rumus-matematika.com

Https Encrypted Tbn0 Gstatic Com Images Q Tbn 3aand9gcsxgeryuepin7bushx8bjpgkgw5kdscwufmtn96wlxvox07aqhb Usqp Cau
encrypted-tbn0.gstatic.com

Pengembangan Rumus Turunan Fungsi Aljabar Materi Lengkap Matematika
www.materimatematika.com

Matematika Turunan Youtube
www.youtube.com

Turunan Fungsi Aljabar Microsoft Office World
dokumen.tips

03 Pengembangan Rumus Turunan Fungsi Aljabar
id.scribd.com

Uzivatel Clear Indonesia Na Twitteru Catatan Matematika Turunan Lengkap Https T Co Ewlxatfxkz 99supershoppingday Sekolah Studyplus Studentslivesmatter Belajarsajatidakcukup Maths Matematika Https T Co Nzxjlsze7i
twitter.com

Https Encrypted Tbn0 Gstatic Com Images Q Tbn 3aand9gctlfw Pjphkmmaylbftoccaz2p7f 59xiimkgygvmsvuxej5hnz Usqp Cau
encrypted-tbn0.gstatic.com

All About Mathematics Turunan Fungsi
milaprmtsr16.blogspot.com

Soal Dan Pembahasan Turunan Fungsi Aljabar Ilmuku Duniaku
ilmuku-duniaku14.blogspot.com

Http Imathsolution Blogspot Com 2018 07 Pembuktian Dan Penemuan Turunan Html

Ringkasan Matematika Pages 51 66 Flip Pdf Download Fliphtml5
fliphtml5.com

Turunan Fungsi Aljabar Lengkap Dengan Contoh Contohnya Rumah Pintar Pku
www.rumahpintarpku.com

Menghitung Turunan Fungsi Sederhana Dalam Bentuk Y U V Bangku Sekolah
bangkusekolah.com

Kaidah Darab Wikipedia Bahasa Indonesia Ensiklopedia Bebas
id.wikipedia.org

Contoh Soal Dan Pembahasan Turunan Fungsi Andikapras17
andikapras17.wordpress.com

Teknik Pengintegralan Ppt Download
slideplayer.info

Turunan Fungsi Aljabar Rumus Dan Contoh Soal
blog.edukasystem.com

Turunan Fungsi Aljabar Turunan Dasar Rumus Soal Pembahasan
www.yuksinau.id

Differensial
id.scribd.com

Sifat Sifat Turunan Fungsi
matematikaakuntansi.blogspot.com

Integral Substitusi Integral Parsial Materi Rumus Contoh Soal
www.studiobelajar.com

Aturan Turunan Teorema Turunan
maths.id

Rumus Turunan Lengkap Beserta Contoh Rumus Matematika
rumus-matematika.com

Modul V Turunan Fungsi Ppt Download
slideplayer.info

Turunan Trigonometri Matematika Kelas 11 Quipper Blog
www.quipper.com

Turunan Fungsi Aljabar Microsoft Office World
www.slideshare.net

Ppt Turunan Fungsi Aljabar Powerpoint Presentation Free Download Id 4843275
www.slideserve.com

Contoh Cara Menghitung Nilai Suatu Turunan Myrightspot Com
www.myrightspot.com

Contoh Cara Menghitung Nilai Suatu Turunan Myrightspot Com
www.myrightspot.com

Doc Kalkulus 1 Turunan Dan Penggunaan Turunan Nurul Fatimah Academia Edu
www.academia.edu

Soal Dan Penyelesaian Turunan Hasil Kali Dua Fungsi Youtube
m.youtube.com

Pengembangan Rumus Turunan Fungsi Aljabar Materi Lengkap Matematika
www.materimatematika.com

Rumus Limit Fungsi Aljabar Dan Turunan Fungsi Aljabar Rumusq Id
rumusq.id

Kaidah Darab Wikipedia Bahasa Indonesia Ensiklopedia Bebas
id.wikipedia.org

Turunan Fungsi Aljabar Ppt Download
slideplayer.info

Tentukan Turunan Pertama Dari Fungsi F X 5x Akar 3 2 Mohon Bantuannya Bang Brainly Co Id
brainly.co.id

Contoh Soal Dan Pembahasan Turunan Hasil Kali Dan Bagi Fungsi Tanya Soal
tanyasoalmat.blogspot.com

Rumus Bantu Turunan Fungsi
www.scribd.com

Turunan Fungsi Aljabar Turunan Dasar Rumus Soal Pembahasan
www.yuksinau.id

Pengembangan Rumus Turunan Fungsi Aljabar Materi Lengkap Matematika
www.materimatematika.com

Turunan Pertama Dari F X 3x 2 X 1 Adalah Brainly Co Id
brainly.co.id

Modul V Turunan Fungsi Ppt Download
slideplayer.info

Riwcbjrdmbojxm

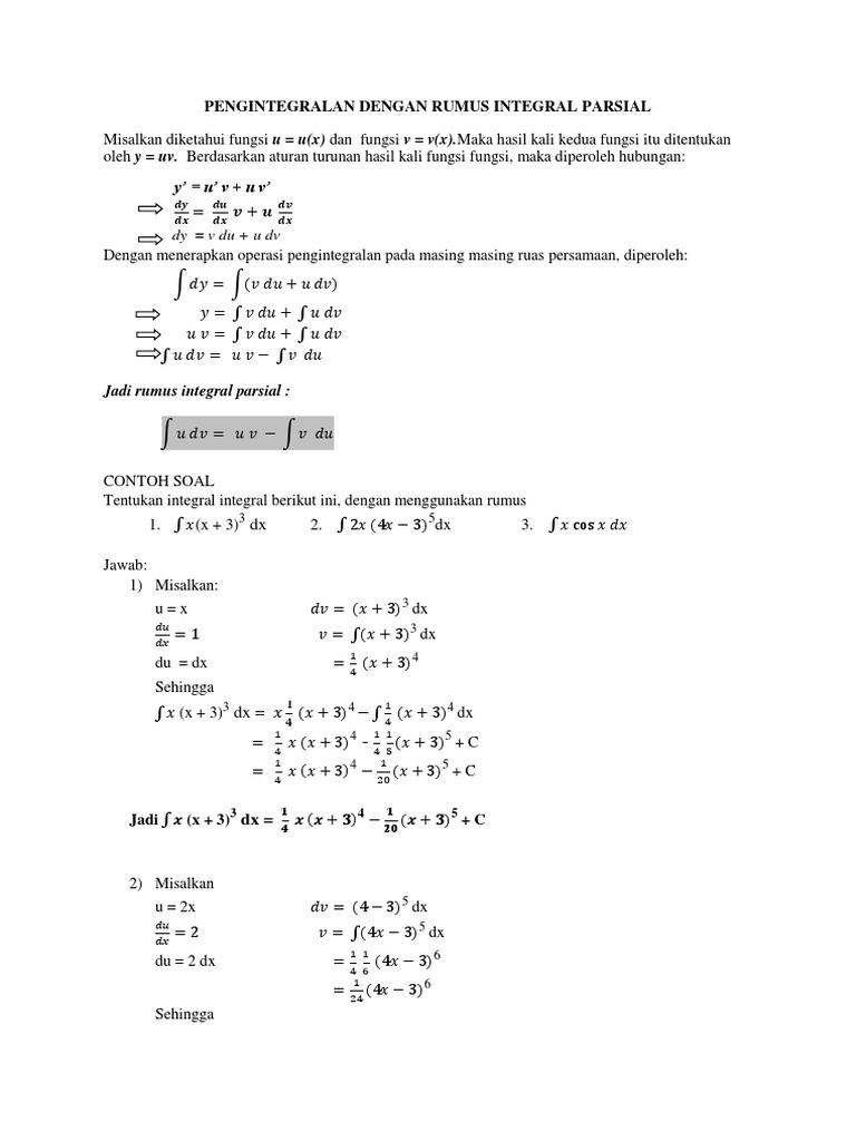
Pengintegralan Dengan Rumus Integral Parsial Autosaved
id.scribd.com

Contoh Soal Turunan Perkalian Pembagian Penyelesaiannya Soalfismat Com
soalfismat.com

Doc Bab 13 Turunan Fixs Atsnan Fajar Academia Edu
www.academia.edu

Turunan Fungsi Aljabar Lengkap Dengan Contoh Contohnya Rumah Pintar Pku
www.rumahpintarpku.com

Menghitung Turunan Fungsi Sederhana Dalam Bentuk Y U V Bangku Sekolah
bangkusekolah.com

Turunan Pertama Dari Fungsi F X 2 3x 5x 4 Dengan X Tidak Sama Dengan 4 5 Adalah Brainly Co Id
brainly.co.id

Matematika Wajib Kls Xi Is Dan Ibb Turunan Fungsi Aljabar
www.sma1banda.sch.id

Rumus Turunan Lengkap Beserta Contoh Rumus Matematika
rumus-matematika.com

Https Encrypted Tbn0 Gstatic Com Images Q Tbn 3aand9gctl06tosrg5wzgywlw963b Fqetxttec Zzk3i8s1mvamm9ycbj Usqp Cau
encrypted-tbn0.gstatic.com

Cara Menghitung Turunan Fungsi Yang Sederhana
mafia.mafiaol.com

Turunan Trigonometri Matematika Kelas 11 Quipper Blog
www.quipper.com

Turunan Fungsi Aljabar Rumus Dan Contoh Soal
blog.edukasystem.com

Limit Dan Fungsi Opi Susanti
opisusanti.wordpress.com

Turunan
www.slideshare.net

close