Sangat Membantu

Rumus Untuk Menghitung Keliling Lingkaran Adalah


Rumus Keliling Lingkaran Dan Cara Menghitungnya Kemapel
kemapel.com

Rumus Mencari Keliling Lingkaran Circumference Jika Diketahui Jari Jari Radius Mamatematika
mamatematika.wordpress.com

Rumus Luas Dan Keliling Lingkaran Kependidikan Com
kependidikan.com

Menghitung Keliling Lingkaran Menggunakan Php Dan Html Opodab Anything And Everything For Share Information
www.opodab.com

Rumus Setengah Lingkaran Luas Keliling Volume Contoh Soal
rumusbilangan.com

Cara Menghitung Busur Tali Busur Keliling Dan Luas Tembereng Lingkaran Segmen Lingkaran Ukuran Dan Satuan
ukurandansatuan.com

Cara Menghitung Keliling Juring Lingkaran Sudut 60 Ucun Matematika Smp 2019 Mgmp Dki Prediksi Unbk Youtube
m.youtube.com

Rumus Mencari Keliling Lingkaran Circumference Jika Diketahui Diameter Mamatematika
mamatematika.wordpress.com

Rumus Sudut Pusat Dan Sudut Keliling Lingkaran
rumushitung.com

Pembahasan Rumus Keliling Lingkaran Beserta Contoh Soal
majalahpendidikan.com

Rumus Keliling Lingkaran Dan Rumus Luas Lingkaran Dengan P Atau D
www.advernesia.com

Rumus Luas Lingkaran Dan Keliling Lingkaran Lengkap Contoh Soalnya
www.belajarmtk.com

Cara Menghitung Luas Lingkaran Yang Benar
caraharian.com

Keliling Dan Luas Lingkaran Ppt Download
slideplayer.info

Menghitung Luas Setengah Lingkaran Dan Keliling Setengah Lingkaran Youtube
www.youtube.com

Rumus Menghitung Keliling Lingkaran Belajarmembuatwebsite Com
www.belajarmembuatwebsite.com

Rumus Lingkaran Luas Keliling Soal Pembahasan Lengkap
informazone.com

Rumus Luas Lingkaran Lengkap Contoh Soal Dan Pembahasan
saintif.com

Cara Menghitung Keliling Lingkaran Yang Benar
caraharian.com

Https Encrypted Tbn0 Gstatic Com Images Q Tbn 3aand9gcsrbgubpu0yylkksbo5dvs5nas2glvvg3ifiwhcnoi Gzg39qbo Usqp Cau
encrypted-tbn0.gstatic.com

Program Menghitung Luas Dan Keliling Lingkaran Pada Pascal
matericoding.com

Rumus Keliling Lingkaran Lengkap Contoh Soal Keliling Lingkaran
saintif.com

1
encrypted-tbn0.gstatic.com

Rumus Lingkaran Cara Menghitung Luas Keliling Contoh Soal
rumusbilangan.com

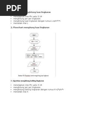
Algoritma Menghitung Luas Lingkaran Docx
id.scribd.com

Contoh Soal Luas Lingkaran 1 2 Lingkaran 1 4 Lingkaran 3 4 Lingkaran Youtube
www.youtube.com

Rumus Luas Lingkaran Dan 3 Contoh Soal Terlengkap Ilmusiana
www.ilmusiana.com

Rumus Keliling Lingkaran Dan Contoh Soalnya Kumpulan Rumus
rumusonline.com

Algoritma Dan Flowchart Untuk Menghitung Luas Dan Keliling Lingkaran C C Juned Al Jabar
junedaljabari.wordpress.com

Contoh Program Bahasa C Menghitung Luas Dan Keliling Lingkaran Kuas
hawarimuhtarom.blogspot.com

Hitunglah Keliling Lingkaran Berikut P 22 7 A D 28 Cm B R 17 Cm C D 35 Cm Brainly Co Id
brainly.co.id

Cara Menghitung Keliling Dan Luas Lingkaran
sinaupost.blogspot.com

Cara Menghitung Keliling 1 4 Lingkaran Matematika Sd Youtube
www.youtube.com

Cara Menghitung Luas Lingkaran Dengan Diameter Diketahui Rumus Cute766
cute766.info

Rumus Keliling Lingkaran Jika Diketahui Luas Diameter Jari Jari Catatan Matematika Com
www.catatan-matematika.com

Matematika Kelas 8 Cara Menghitung Unsur Unsur Lingkaran
blog.ruangguru.com

Menghitung Keliling Setengah Lingkaran Youtube
www.youtube.com

Rumus Keliling Lingkaran Cara Aimyaya Cara Semua Cara
www.cara.aimyaya.com

5 Contoh Soal Lingkaran Pengertian Rumus Luas Dan Lingkaran
pendidikanmu.com

Rumus Mencari Panjang Jari Jari Lingkaran Jika Diketahui Kelilingnya Mamatematika
mamatematika.wordpress.com

Rumus Luas Dan Keliling Lingkaran Beserta Contoh Soal Cilacap Klik
cilacapklik.com

Cara Menghitung Keliling Dan Luas Lingkaran Ukuran Dan Satuan
ukurandansatuan.com

Soal Luas Dan Keliling Lingkaran Plus Kunci Jawaban Juragan Les
www.juraganles.com

Rumus Luas Lingkaran Dan Keliling Lingkaran Idschool
idschool.net

Rumus Keliling Lingkaran Dan 5 Contoh Soal Terlengkap Ilmusiana
www.ilmusiana.com

Berapa Nilai Phi Konstanta Lingkaran Ukuran Dan Satuan
ukurandansatuan.com

Rumus Luas Keliling Dan Diameter Lingkaran Beserta Contoh Soal
rumusrumus.com

Cara Menghitung Keliling Dan Luas Lingkaran 14 Langkah
id.wikihow.com

Https Encrypted Tbn0 Gstatic Com Images Q Tbn 3aand9gctvmnpapdsoiseefye2jenuldtp8doh9l9vmetjz7oa0expqqo6 Usqp Cau
encrypted-tbn0.gstatic.com

Rumus Keliling Lingkaran Dan Rumus Luas Lingkaran Dengan P Atau D
www.advernesia.com

Rumus Keliling Setengah Lingkaran Dan Contoh Soalnya
rumusonline.com

Rumus Keliling Lingkaran Lengkap Contoh Soal Keliling Lingkaran
saintif.com

Menghitung Keliling Lingkaran Yang Tidak Penuh Youtube
m.youtube.com

Maretong Cara Menghitung Luas Dan Keliling Lingkaran
www.maretong.com

Https Encrypted Tbn0 Gstatic Com Images Q Tbn 3aand9gcqtfcxm25 Djvdvg3lxoux1i Ziq55y Vsbgolxy1acpabj5ajl Usqp Cau
encrypted-tbn0.gstatic.com

Cara Menghitung Luas Dan Keliling Lingkaran Jadi Paham
jadipaham.com

Keliling Lingkaran Pengertian Rumus Contoh Soal Dan Materi
www.dosenpendidikan.co.id

2 Rumus Keliling Lingkaran Lengkap Dan Cara Penerapannya
pinterkelas.com

Contoh Algoritma Menghitung Luas Dan Keliling Lingkaran
pdfslide.tips

Rumus Luas Lingkaran Lengkap Contoh Soal Dan Pembahasan
saintif.com

Rumus Luas Lingkaran Dan Contoh Soal Luas Lingkaran
rumusrumus.com

Cara Menghitung Keliling Lingkaran Yang Benar
definisipengertian.net

Menghitung Luas Lingkaran
id.scribd.com

Pengertian Keliling Lingkaran Dan Cara Mencari Rumus Keliling Lingkaran Serta Contoh Soalnya Berpendidikan Com
www.berpendidikan.com

Tolong Buatkan Contoh Flowchart Menghitung Keliling Lingkaran Dengan Angkanya Trimakasih Brainly Co Id
brainly.co.id

Rumus Mencari Panjang Diameter Lingkaran Jika Diketahui Kelilingnya Mamatematika
mamatematika.wordpress.com

Rumus Keliling Lingkaran Beserta Contoh Soal Dan Penjelasannya
www.zonareferensi.com

Program Menghitung Luas Dan Keliling Lingkaran Pada Pascal
matericoding.com

Maretong Cara Menghitung Luas Dan Keliling Lingkaran
www.maretong.com

Rumus Keliling Lingkaran Beserta Contoh Soal Dan Pembahasan
maudisini.com

Cara Menghitung Luas Dan Keliling Lingkaran Zenius Nb19
www.zenius.net

Keliling Lingkaran P X D Atau Karena D Vivo Bimbingan Belajar Facebook
www.facebook.com

Cara Menghitung Keliling 3 4 Lingkaran Matematika Sd Youtube
www.youtube.com

Rumus Keliling Lingkaran Beserta Contoh Soalnya
rumus.co.id

Rumus Keliling Lingkaran
www.rancah.com

Rumus Keliling Lingkaran Lengkap Contoh Soal Keliling Lingkaran
saintif.com

Rumus Luas Lingkaran Cara Menentukan Dan Mengetahui Rumusnya
berita.baca.co.id

Rumus Lingkaran Menghitus Luas Dan Keliling Lingkaran Rayyan Gaming
duwihari.blogspot.com

Cara Menghitung Luas Dan Keliling Lingkaran Zenius Nb19
www.zenius.net

Rumus Keliling Rumus Luas Lingkaran Dengan Diameter Webpintar
webpintar.com

Rumus Luas Keliling Lingkaran Serta Pembahasan Contoh Soal
www.hallosains.com

Cara Mengerjakan Keliling Lingkaran Guru Ilmu Sosial
www.ilmusosial.id

Cara Menghitung Busur Keliling Dan Luas Juring Lingkaran Sektor Lingkaran Ukuran Dan Satuan
ukurandansatuan.com

Rumus Dan Contoh Soal Luas Dan Keliling Lingkaran Sahabat Ilmu
www.sahabat-ilmu.com

Cara Mudah Menghitung Rumus Keliling Lingkaran
www.sheetmath.com

Rumus Luas Lingkaran Diameter Yang Diketahui Contoh Soal
rumusonline.com

Rumus Keliling Lingkaran Dan Rumus Luas Lingkaran Dengan P Atau D
www.advernesia.com

Rumus Keliling Lingkaran
rumushitung.com

Cara Cepat Menghitung Luas Dan Keliling Lingkaran Rumus Lengkap
pengintahu.com

Rumus Keliling Lingkaran Dan Contoh Soal Keliling Lingkaran
rumusrumus.com

Algoritma Pseudocode Menghitung Luas Lingkaran Segitiga Persegi Panjang Dan Trapesium Referensi Siswa
referensisiswa.blogspot.com

Cara Menghitung Diameter Lingkaran 8 Langkah Dengan Gambar
id.wikihow.com

Cara Menghitung Luas Dan Keliling Lingkaran Zenius Nb19
www.zenius.net

3 Rumus Jari Jari Lingkaran Dan Contoh Soalnya Lengkap
rumusrumus.com

Rumus Dan Cara Menghitung Diameter Lingkaran
www.aanwijzing.com

Cara Menghitung Luas Dan Keliling Lingkaran Zenius Nb19
www.zenius.net

Menghitung Luas Dan Keliling Lingkaran Dengan Rumus Excel Product Dan Pi Adhe Pradiptha
www.adh-excel.com

Lingkaran Matematika Pengertian Unsur Bagian Rumus Contoh Soal
www.yuksinau.id

Bahan Dan Materi Sudung Belaja
www.jambi-belajar.org

Belajar Menghitung Keliling Lingkaran Youtube
www.youtube.com

Dhanu Rumus Keliling Lingkaran Beserta Soalnya
wicaksonowp.blogspot.com

Cara Menghitung Keliling Lingkaran Paling Cepat
inanesia.com

Rumus Keliling Lingkaran Dan Contoh Soalnya
www.utakatikotak.com

Rumus Luas Lingkaran Adalah Pengayaan Com
pengayaan.com

close