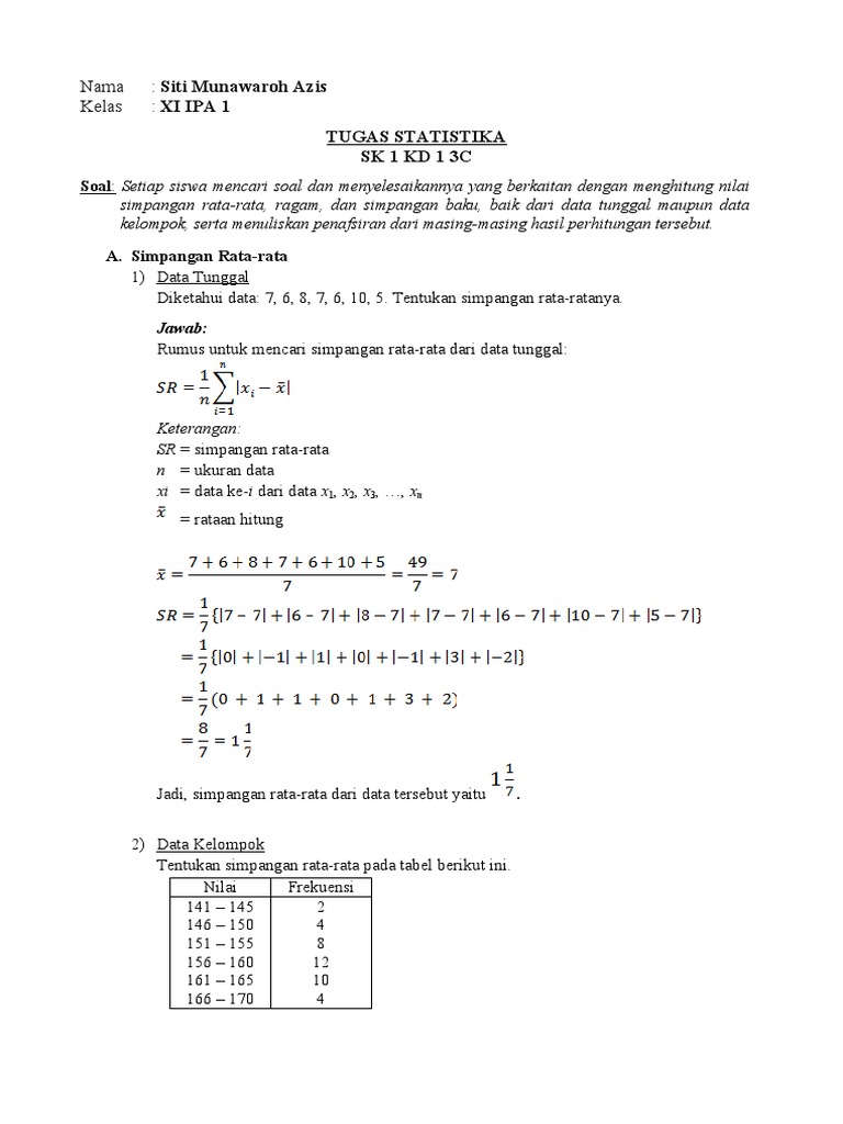
Sangat Membantu

Rumus Variansi Data Kelompok


4 Rumus Standar Deviasi Untuk Menghitung Penyebaran Data
www.taukan.com

Penggunaan Statistika Dasar Dalam Produksi
teknikelektronika.com

Cara Menghitung Jangkauan Range Rata Rata Simpangan Simpangan Baku Standar Deviasi Dan Variansi Emerer Com
emerer.com

Rumus Cepat Variansi Guru Ilmu Sosial
www.ilmusosial.id

Ukuran Penyebaran Data Ppt Download
slideplayer.info

Cara Mudah Mencari Range Deviasi Varian Standar Deviasi Data Kelompok Dengan Excel Youtube
m.youtube.com

Simpangan Rata Rata Beserta Pengertian Rumus Dan Menentukannya
www.disdikbud.lampungprov.go.id

Ragam Dan Simpanan Baku Untuk Data Berkelompok Brainly Co Id
brainly.co.id

Rumus Standar Deviasi Cara Menghitung Dan Contoh Soal
www.dosenpendidikan.co.id

Cara Menghitung Mean Modus Dan Median Dengan Contoh Soal
caramenghitung.com

Statistik Deskriptif Pengertian Penyajian Dan Pengukuran
pendidikanmu.com

Prolog Materi Rumus Kuartil Data Kelompok Contoh Soal Pembahasan Zenius Education
www.zenius.net

Standar Deviasi Rumus Manual Kalkulator Excel Guru Belajarku
gurubelajarku.com

Rumus Simpangan Baku
rumushitung.com

Cara Menghitung Simpangan Baku Standar Deviasi
caraharian.com

Standar Deviasi Pengertian Rumus Cara Berhitung Dan Contoh
savoystomp.com

4 Rumus Standar Deviasi Untuk Menghitung Penyebaran Data
www.taukan.com

Https Encrypted Tbn0 Gstatic Com Images Q Tbn 3aand9gcqikcgo Lz1wad9zpp1fhieet0pk4a8gujqfv5gwpk11vknzidr Usqp Cau
encrypted-tbn0.gstatic.com

Standar Deviasi Pengertian Fungsi Cara Menghitung Rumus Dan Contohnya Lengkap Tutorialbahasainggris Co Id
tutorialbahasainggris.co.id

Tutorial Cara Mudah Dan Cepat Menentukan Dan Menghitung Simpangan Baku Data Kelompok Youtube
m.youtube.com

Ukuran Variasi My Blog
rantielas.wordpress.com

Http Journal Umpo Ac Id Index Php Silogisme Article Download 520 470

Statistika Ukuran Penyebaran Data Konsep Matematika Koma
www.konsep-matematika.com

Perbedaan Rumus Varian Sampel Dan Rumus Varian Populasi Youtube
www.youtube.com

Mengetahui Rumus Cara Menghitung Standar Deviasi Dan Manfaatnya Dalam Sebuah Penelitian
rumusbilangan.com

Varian Dan Standar Deviasi Simpangan Bak
id.123dok.com

Pengukuran Penyimpangan Range Deviasi Varian Mutia Annisa Octivianti
mutiaoctivianti.wordpress.com

Statistika Ukuran Penyebaran Data Penjelasan Rumus Dan Contoh Soal Jangkauan Simpangan Ragam Terlengkap Ukuran Penyebaran Data Pdf Free Download
docplayer.info

P11 Penyebaran Data Variansi Ragam
www.slideshare.net

Rumus Simpangan Rata Rata Ragam Simpangan Baku Idschool
idschool.net

Cara Mudah Menentukan Koefisien Variasi
www.dosenmatematika.co.id

Https Encrypted Tbn0 Gstatic Com Images Q Tbn 3aand9gcrpvfja0lohwx6zbpayeveqbqpecmwanngetu2edbmilna3plms Usqp Cau
encrypted-tbn0.gstatic.com

Rumus Varians Spss Statistik
www.spssstatistik.com

Statistik Pengukuran Variasi Kelompok
id.scribd.com

It S Me R Perbedaan Simpangan Rata Rata Simpangan Baku Varians
mychipmunks.blogspot.com

Ppplk
id.scribd.com

Pengukuran Penyimpangan Range Deviasi Varian Mutia Annisa Octivianti
mutiaoctivianti.wordpress.com

My Blog Statistika Simpangan Rata Rata Simpangan Baku Varian
diahfajriah12.blogspot.com

Penggunaan Statistika Dasar Dalam Produksi
teknikelektronika.com

Pdf Uji Homogenitas Kesamaan Dua Varians
www.researchgate.net

Pembahasan Soal Varians Guru Ilmu Sosial
www.ilmusosial.id

Pengukuran Penyimpangan Range Deviasi Varian Mutia Annisa Octivianti
mutiaoctivianti.wordpress.com

Varian Dan Standar Deviasi Simpangan Baku
www.rumusstatistik.com

Rumus Rumus Perhitungan Statistika Data Berkelompok Rumus Matematika
rumus-matematika.com

Homogen Dan Heterogen Data Ppt Download
slideplayer.info

Simpangan Rata Rata Beserta Pengertian Rumus Dan Menentukannya
www.disdikbud.lampungprov.go.id

Http Repository Maranatha Edu 2522 16 Metlit 20bab 20xv Pdf

Espa4123 Statistika Modul 3 1
www.slideshare.net

8 Ragam Atau Varians
www.slideshare.net

Statistika Simpangan A Ragam Dan Simpangan Baku
id.scribd.com

Rumus Standar Deviasi Dan Contoh Soalnya
www.utakatikotak.com

Cara Mencari Simpangan Baku Menggunakan Microsoft Excel Lab Mutu
www.labmutu.com

Rumus Simpangan Rata Rata Ragam Simpangan Baku Idschool
idschool.net

Cara Menghitung Variasi 15 Langkah Dengan Gambar Wikihow
id.wikihow.com

P11 Penyebaran Data Variansi Ragam
www.slideshare.net

Varian Dan Standar Deviasi Pdf Document
fdokumen.com

Menghitung Varian Standart Deviasi Z Score Informatikalogi
informatikalogi.com

Ukuran Penyimpangan Dispersi Ppt Download
slideplayer.info

Standar Deviasi Pengertian Rumus Dan Contoh Soal Lengkap
www.gurupendidikan.co.id

Tugas Statistika Bab 4 Pengukuran Penyimpangan Range Deviasi Varian Pengukuran Penyimpangan
sitimasfufastiess.blogspot.com

Pengukuran Penyimpangan My Blog My Archieves
anitaharum.wordpress.com

Menghitung Varian Sampel Dengan Microsoft Excel
www.rumusstatistik.com

4 Rumus Standar Deviasi Untuk Menghitung Penyebaran Data
www.taukan.com

Http Imathsolution Blogspot Com 2019 09 Cara Mudah Menentukan Simpangan Baku Html

Https Encrypted Tbn0 Gstatic Com Images Q Tbn 3aand9gctweaicin7ye4okvjw4y5lhighlapvjmi6 Wiac12dfy7l8rzi8 Usqp Cau
encrypted-tbn0.gstatic.com

4 Rumus Standar Deviasi Untuk Menghitung Penyebaran Data
www.taukan.com

Pengertian Simpangan Baku Fungsi Perhitungan Rumus Dan Contoh Soal Rumuspelajaran Com
www.rumuspelajaran.com

Doc Rumus Statistik Rata Rata Hitung Mean Dewi Astuti Academia Edu
www.academia.edu

Statistika Ukuran Variansi Dan Simpang Baku
bayu1410.blogspot.com

Ukuran Variasi Atau Dispersi Pengukuran Varians Ppt Download
slideplayer.info

Doc Statistik Pendidikan Variabilitas Lola Nurhidayaty Academia Edu
www.academia.edu

Rumus Standar Deviasi Dan Contoh Cara Menghitungnya
biofar.id

Standar Deviasi Pengertian Rumus Dan Contoh Soal Terlengkap
materibelajar.co.id

Tutorial Cara Cepat Dan Mudah Menentukan Dan Menghitung Variansi Suatu Data Tunggal Youtube
m.youtube.com

Rumus Simpangan Baku Simpangan Rata Rata Ragam Variansi Koefisen Keragaman Contoh Soal Data Tunggal Kelompok Jawaban Statistik Matematika
www.nafiun.com

P10 Penyebaran Data Simpangan Baku Standar Deviasi
www.slideshare.net

Rumus Simpangan Rata Rata Ragam Simpangan Baku Idschool
idschool.net

P11 Penyebaran Data Variansi Ragam
www.slideshare.net

Cara Menghitung Jangkauan Range Rata Rata Simpangan Simpangan Baku Standar Deviasi Dan Variansi Emerer Com
emerer.com

Statistik Deskriptif Digensia
digensia.wordpress.com

Cara Mengerjakan Rata Rata Data Kelompok Guru Ilmu Sosial
www.ilmusosial.id

Simpangan Baku Rumus Cara Menghitung Dan Contoh Soal
www.yuksinau.id

Ukuran Variansi Dan Simpangan Baku Pembahasan Statistika
merameranomi10.home.blog

Https Encrypted Tbn0 Gstatic Com Images Q Tbn 3aand9gcqzeupfkcr Dst6mcdazyb Yayt0wdylkvrw2y5kbw3vq72pu6u Usqp Cau
encrypted-tbn0.gstatic.com

Standar Deviasi Pengertian Rumus Dan Contoh Soal
rumus.co.id

P11 Penyebaran Data Variansi Ragam
www.slideshare.net

Rumus Rumus Perhitungan Statistika Data Berkelompok Lengkap Kampung Ilmu Artikel Motivasi Motivasi Belajar Materi Pelajaran
www.kampungilmu.web.id

Standar Deviasi Pengertian Rumus Cara Menghitung Dan Contoh Soal
kumpulanilmu.com

Simpangan Rata Rata Pengertian Rumus Dan Contoh Soal
kabarkan.com

Simpangan Rata Rata Beserta Pengertian Rumus Dan Menentukannya
www.disdikbud.lampungprov.go.id

Bab Vi Ukuran Variasi Atau Dispersi Pengukuran Dispersi Pertemuan Ke 8 Oleh Andri Wijaya S Pd S Psi M T I Program Studi Sistem Informasi Sekolah Ppt Download
slideplayer.info

Standar Deviasi Dan Varians Ppt Download
slideplayer.info

Simpangan Rata Rata Beserta Pengertian Rumus Dan Menentukannya
www.disdikbud.lampungprov.go.id

Analisis Varians Statistika Penelitian Statistika Pendidikan
www.statistikaonline.com

Ukuran Variansi Dan Simpangan Baku Pembahasan Statistika
merameranomi10.home.blog

Ukuran Variasi Atau Dispersi Pengukuran Varians Ppt Download
slideplayer.info

Rumus Simpangan Rata Rata Ragam Simpangan Baku Idschool
idschool.net

Rumus Simpangan Rata Rata Ragam Simpangan Baku Idschool
idschool.net

Rumus Simpangan Baku
rumushitung.com

Rumus Simpangan Baku Data Tunggal Dan Kelompok Mudah Dipahami
kumpulanilmu.com

Pengertian Rumus Dan Contoh Soal Standar Deviasi Siswapedia
www.siswapedia.com

Statistika Diagram Tabel Median Modus Kuartil Soal Pembahasan
www.yuksinau.id

Varian Dan Standar Deviasi Simpangan Baku
www.rumusstatistik.com

Pengertian Standar Deviasi Kegunaan Kelebihan Contoh Cara Menghitung Matematika Sridianti Com
www.sridianti.com

close