Sangat Membantu

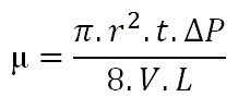
Rumus Viskositas Ostwald


Http Eprints Umm Ac Id 38822 3 Bab 20ii Pdf

Http Eprints Uny Ac Id 51053 1 Skripsi 20full Pdf

Visko Adit
www.slideshare.net

M4
dokumen.tips

Viscosity Tester Panduan Lengkap Pengetahuan Trustar Pharma Pack Equipment Co Ltd
id.cofpack.com

Doc Laporan Praktikum Farmasi Fisika Viskositas Ostwald Novia Hergiani Academia Edu
www.academia.edu

Laporan Akhir Praktikum Farmasi Fisika Ii Viskositas
pdfslide.net

Laporan Penentuan Pengaruh Zat Tambahan Terhadap Viskositas Propilen Glikol Menggunakan Viskometer Ostwald
elrinalria.blogspot.com

Farfis Ii Viskositas
id.scribd.com

Viskometer
id.scribd.com

Laporan Praktikum Viskositas Edit
id.scribd.com

Http Eprints Uny Ac Id 51053 1 Skripsi 20full Pdf

Faktor Faktor Yang Mempengaruhi Viskositas Pengertian Rumus Satuan Konsep Dan Definisi Apafungsi Com
apafungsi.com

Doc Viscosity Monang Marpaung Academia Edu
www.academia.edu

Doc Praktikum Viskositas Fluida Shifa Fauziyah Academia Edu
www.academia.edu

Kelompok 3 Laporan Hasil Observasi Viskositas
studylibid.com

Kekentalan Zat Cair
www.slideshare.net

Pengukuran Kekentalan Zat Viskositas Diajukan Untuk Memenuhi Salah Satu Tugas Karakterisasi Fisika Material Pdf Free Download
docplayer.info

Viskositas Minyak Mentah Adalah Crude Oil Viscosity Teknik Perminyakan Indonesia
teknik-perminyakan-indonesia.blogspot.com

Https Encrypted Tbn0 Gstatic Com Images Q Tbn 3aand9gcq8yqgk3yczfhhh5cv4vz6qq8uilnp9brcqshjckfwp22kim2id Usqp Cau
encrypted-tbn0.gstatic.com

Kelompok 6 Fluida Pendidikan Sains Unesa
kelompok6fluidaunesapendidikansains.blogspot.com

Prinsip Kerja Viskosimeter Ostwald
es.scribd.com

Viskositas Pengertian Dampak Rumus Dan Contoh Lengkap
pakdosen.pengajar.co.id

Kimia Fisika Ii Viskositas
www.slideshare.net

Departemen Pendidikan Nasional
studylibid.com

Modul 6 Viskositas
id.scribd.com

109870 Laporan Visco Fix Kelompok Dila Docx Bab I Pendahuluan 1 1 1 2 3 1 2 Tujuan Percobaan Menerangkan Arti Viskositas Suatu Cairan Menggunakan Alat Course Hero
www.coursehero.com

Penentuan Viskositas Dengan Viskometer Ostwald Akademi Farmasi Jambi
akademifarmasijambi.wordpress.com

Pengertian Manfaat Macam Macam Rumus Viskositas Dan Laporan Viskositas
marketmedan.com

Kimia Fisika Ii Viskositas
www.slideshare.net

Viskositas
www.slideshare.net

Raih Cita Dan Prestasi Dari Batang Untuk Indonesia Viskositas
harryprayoga6.blogspot.com

Rheologi Ppt Download
slideplayer.info

Https Jurnal Ugm Ac Id Jfi Article Download 27273 16764

Hukum Stokes Dan Viskositas Rumus Pengertian Dan Contoh
rumus.co.id

2

Kekentalan Zat Cair
www.slideshare.net

Viskositas Pengertian Dampak Rumus Serta Contohnya Lengkap Tutorialbahasainggris Co Id
tutorialbahasainggris.co.id

Perhitungan Viskositas
dokumen.tips

Viskositas
id.scribd.com

Pdf Viskositas Alfian Muhammad Reza Academia Edu
www.academia.edu

Kapilaritas Pengertian Manfaat Rumus Contoh Soalnya
seputarilmu.com

Https Yefrichan Files Wordpress Com 2015 03 Alat Ukur Viskometer Pdf

Http E Journals Unmul Ac Id Index Php Tk Article Download 1138 980

Viskositas Emulsi Fadly Handoyo Academia Edu
www.academia.edu

Hukum Stokes Dan Viskositas
www.utakatikotak.com

Http Jurnal Untirta Ac Id Index Php Gravity Article Download 5108 3730

Https Nanopdf Com Download Departemen Pendidikan Nasional 9 Pdf

Pengertian Viskositas Macam Faktor Konsep Dan Satuan
www.gurupendidikan.co.id

Http Eprints Umm Ac Id 38822 3 Bab 20ii Pdf

Http Repository Gunadarma Ac Id 585 1 Pembuatan 20dan 20pengujian 20viskometer 20tabung Ug Pdf

Viskositas Dan Rheologi Kelompok 3 Rizky Ananda Af Jusmawanti Af Marfua Isnaeni Af Muh Ikbal T Af Reynaldi Agustiawan Ppt Download
slideplayer.info

Https Yefrichan Files Wordpress Com 2015 03 Alat Ukur Viskometer Pdf

Kimia Fisika Ii Viskositas
www.slideshare.net

Http Digilib Its Ac Id Public Its Paper 41711 2113030036 Presentationpdf Pdf

Viskositas
www.slideshare.net

Blog Mahasiswa Aak Viskometer
analissolo.blogspot.com

Viskositas Fluida
studylibid.com

Doc Tugas Pendahuluan Modul K 1 Soal Vincent Hean Academia Edu
www.academia.edu

Pengertian Viskositas Jenis Cara Mengukur Manfaat Blog Usaha321 Net
blog.usaha321.net

Pengertian Dan Rumus Hukum Viskositas
www.pemudabersatu.com

Http Repository Umy Ac Id Bitstream Handle 123456789 16320 F 20bab 20ii Pdf Sequence 6 Isallowed Y

Kekentalan Zat Cair
www.slideshare.net

Https Encrypted Tbn0 Gstatic Com Images Q Tbn 3aand9gct0nrdg1 Yxeh6hmopk12eekakn8lue3h Z1bsh2tucxlwfkfia Usqp Cau
encrypted-tbn0.gstatic.com

Viskositas Viskositas Adalah Salah Satu Sifat Fisik Cairan Yang Menyatakan Ukuran Kekentalan Cairan Yang Menyatakan Besar Kecilnya Gesekan Dalam Cairan Ppt Download
slideplayer.info

Pengukuran Viskositas
id.scribd.com

Bab 1 Viskositas
www.slideshare.net

Penentuan Viskositas Larutan Gula Menggunaan Metode Vessel Terhubung Viscosimeter Berbasis Video Based Laboratory Dengan Software Tracker Pdf Free Download
docplayer.info

Https Yefrichan Files Wordpress Com 2015 03 Alat Ukur Viskometer Pdf

Kimia Fisika Ii Viskositas
www.slideshare.net

Visco Sit As
id.scribd.com

Viskometer Docx
id.scribd.com

2

Https Encrypted Tbn0 Gstatic Com Images Q Tbn 3aand9gctrskuxdmjbvx L0lrae0iedarul2y14eg9w4q5c3vv6hfrz8uz Usqp Cau
encrypted-tbn0.gstatic.com

Https Yununa Blogspot Com 2018 05 Viskositas Html

Farmasi Fisik Komprehensif Pages 51 100 Text Version Anyflip
anyflip.com

Hukum Stokes Dan Viskositas Pengertian Rumus Dan Contoh
moztrip.com

Bab Ii Perc Viskositas
www.slideshare.net

Perbaikan Modul 1 Kelompok 6 Pdf Praktikum Laboratorium Rekayasa Hayati I Rheologi Dan Viskositas Oleh Kelompok 06 Ketua Kelompok Ruli Juliansyah Course Hero
www.coursehero.com

Contoh Soal Dan Pembahasan Viskositas Guru Ilmu Sosial
www.ilmusosial.id

Http Repository Gunadarma Ac Id 585 1 Pembuatan 20dan 20pengujian 20viskometer 20tabung Ug Pdf

Viskositas Pdf
id.scribd.com

Viskositas Pdf Document
fdokumen.com

Viskometer Ia
id.scribd.com

Http Ojs Uho Ac Id Index Php Enthalpy Article Download 2740 2042

Viskositas Dan Rheologi Kelompok 3 Rizky Ananda Af Jusmawanti Af Marfua Isnaeni Af Muh Ikbal T Af Reynaldi Agustiawan Ppt Download
slideplayer.info

Viskositas Dan Rheologi Kelompok 3 Rizky Ananda Af Jusmawanti Af Marfua Isnaeni Af Muh Ikbal T Af Reynaldi Agustiawan Ppt Download
slideplayer.info

2

Pengertian Viskositas Apa Itu Net
apa-itu.net

Hukum Stokes Dan Viskositas Pengertian Rumus Dan Contoh
moztrip.com

Viskositas Dan Tegangan Muka Docx Document
fdokumen.com

Http Repository Gunadarma Ac Id 585 1 Pembuatan 20dan 20pengujian 20viskometer 20tabung Ug Pdf

Pengertian Viskositas Jenis Rumus Faktor Sifat Pengukuran
pendidikan.co.id

Kimia Fisika Ii Viskositas
www.slideshare.net

Cari Cari Penentuan Kekentalan Cairan Dengan Viskometer Ostwald Dan Bola Jatuh
delvina-vina.blogspot.com

Laporan Resmi Viskositas Dan Tegangan Muka Pdf Document
fdokumen.com

Kimia Fisika Ii Viskositas
www.slideshare.net

Http Eprints Umm Ac Id 38822 3 Bab 20ii Pdf

199223761 Viskositas Kelompok Va Pdf Laboratorium Kimia Fisika Percobaan Viskositas Kelompok Va Nama 1 2 3 4 5 Eriska Wahyu Kusuma Faiz Riskullah Course Hero
www.coursehero.com

Laporan Praktikum Farfis Perc Iv Docx Document
fdokumen.com

Doc Viskositas Apapunadadisini Apapunadadisini Academia Edu
www.academia.edu

Laporan Praktikum Kimfis Viskositas Indahprmtha
indahprmtha.wordpress.com

Viskositas Sebagai Fungsi Suhu Pdf Document
fdokumen.com

close