Sangat Membantu

Rumus Voltmeter


Mei 2013 Materi Listrik Dinamis
dhannydotcom.wordpress.com

Cara Membaca Amperemeter Dan Voltmeter
id.scribd.com

Dasar Dan Pengukuran Listrik X 1 By Ardiansyah Rafli Issuu
issuu.com

Cara Mengukur Beda Potensial Tegangan Listrik
mafia.mafiaol.com

Make A Digital Voltmeter Using An Arduino Projects
www.allaboutcircuits.com

Electrical Measurement Measuring Instrument Ppt Video Online Download
slideplayer.com

Voltmeter Pengertian Rumus Dan Cara Penggunaan Blog Penemu
blogpenemu.blogspot.com

7 Instrumen Volt Meter Dan Ammeter
www.slideshare.net

Smk Tiara Nirwana Cara Membaca Multimeter Avometer Analog
smktiaranirwana.blogspot.com

Rumus Beda Potensial Beserta Pengertian Dan Rumus Nya
rumus.co.id

Doc Praktikum Hukum Ohm Dan Pembuktian Rumus V I R Dian Luxy Academia Edu
www.academia.edu

Pdf Measurement Of Telephone Line Parameters Using The Three Voltmeter Method
www.researchgate.net

Cara Pembacaan Multimeter Analog Avo Meter Dengan Mudah
akhdanazizan.com

Jika Amperemeter Menunjukan 3 A Tentukanlah Besarnya Hambatan R Dan Penujuk Voltmeter Brainly Co Id
brainly.co.id

Doc Cara Mengukur Arus Dan Tegangan Dc Dengan Multimeter Nabilla Sasyana Reza Academia Edu
www.academia.edu

Pengertian Rumus Dan Bunyi Hukum Ohm
teknikelektronika.com

Wheatstone Bridge Jembatan Wheatstone Djukarna
djukarna.wordpress.com

7 Instrumen Volt Meter Dan Ammeter
www.slideshare.net

Menara Multimeter Dan Pengukuran Arus Searah Ppt Download
slideplayer.info

Digital Voltmeter Using Pic Microcontroller Pic Microcontroller Digital Ammeter Microcontrollers
www.pinterest.com

Amperemeter Dan Voltmeter Pengertian Desain Rumus Dan Contoh Soal Pelajaran Sekolah Online
www.pelajaran.co.id

Hukum Ohm Bunyi Rumus Dan Contoh Soal Hukum Ohm
www.studiobelajar.com

Rumus Yang Dipakai Ppt Video Online Download
slideplayer.com

Https Encrypted Tbn0 Gstatic Com Images Q Tbn 3aand9gcqv4fzws5drj2w34zeuigasqxzjx9g6m0txwb1jlpl4ctjfu9eq Usqp Cau
encrypted-tbn0.gstatic.com

Chapter19 Giancoli Edisi 5 Jawaban Fisika Pdf Document
fdocument.org

7 Instrumen Volt Meter Dan Ammeter
www.slideshare.net

Hukum Ohm Pengertian Bunyi Teori Rumus Dan Contoh Soal
www.gurupendidikan.co.id

Membuat Digital Voltmeter 0 50 V Dengan Arduino Inkubator Teknologi Com
inkubator-teknologi.com

Generasi Fisika Amperemeter Dan Voltmeter
www.fisikane.web.id

Prinsip Kerja Amperemeter Penggilingan Kecepatan
id.scribd.com

Doc Analisa Pengukuran Kuat Arus Dan Beda Potensial Terhadap Bernardus Plasenta P Academia Edu
www.academia.edu

Memperbesar Batas Ukur Docx Document
fdokumen.com

Cara Membaca Amperemeter Dan Voltmeter Idschool
idschool.net

Doc 04 Pengukuran Besaran Listrik Voltmeter Arus Searah Dan Ohmmeter2 Rizkiawan Rizkiawan Academia Edu
www.academia.edu

Volt Meter Arus Searah Dc Volt Meter
elektronika-dasar.web.id

Rumus Menghitung Pembacaan Oscilloscope Electra Semarang
electrasemarang.blogspot.com

Pdf Measurement Of Telephone Line Parameters Using The Three Voltmeter Method
www.researchgate.net

Hambatan Dalam Amperemeter Dan Voltmeter
www.slideshare.net

Cara Membaca Amperemeter Dan Voltmeter Idschool
idschool.net

Analisa Data Voltmeter Docx
id.scribd.com

Pengertian Rumus Arus Listrik Dan Contoh Soal
rumus.co.id

Pengertian Dan Rumus Hambatan Listrik Serta Contohnya Sains Seru
www.sainsseru.com

Contoh Soal Beserta Jawaban Tentang Alat Ukur Listrik Guru Ilmu Sosial
www.ilmusosial.id

Rumus Arus Listrik Rumus Penjelasan Dan Contohnya
passinggrade.co.id

Hambatan Dalam Amperemeter Dan Voltmeter
www.slideshare.net

Voltmeter Dan Ampermeter
www.slideshare.net

Sk 6 Listrik Arus Searah
studylibid.com

Rumus Arus Listrik Rumus Penjelasan Dan Contohnya
passinggrade.co.id

Rumus Beda Potensial Pengertian Penjelasan Beserta Rumus Lengkap
ruangguru.co

Pengertian Voltmeter Lengkap Pengertian Fungsi Dan Rumus Rumus
sharingconten.com

Electronic Science Dc Voltmeter
electrocampus.blogspot.com

Https Openlibrary Telkomuniversity Ac Id Pustaka Files 137205 Jurnal Eproc Perancangan Dan Realisasi Voltmeter Dan Amperemeter Dc Menggunakan Mikrokontroler Pdf

7 Instrumen Volt Meter Dan Ammeter
www.slideshare.net

Kene 66 Materi Rumus Arus Listrik Dan Pengukurannya Fisika Kelas 10
fauzikene.blogspot.com

Pdf Measurement Of Telephone Line Parameters Using The Three Voltmeter Method
www.researchgate.net

Https Encrypted Tbn0 Gstatic Com Images Q Tbn 3aand9gcshih Vbb6entpxtqoq6vom53r409kcq51k9yagizs Usqp Cau
encrypted-tbn0.gstatic.com

Alat Ukur Dan Instrumentasi Ppt Download
slideplayer.info

Arus Dan Tegangan Listrik Bolak
www.scribd.com

Membuat Alat Untuk Mengukur Tegangan Voltmeter
kursuselektronikaku.blogspot.com

Amperemeter Memiliki Hambatan Dalam 360 Ohm Dan Memiliki Batas Ukur 50 Miliamperr Setelah Dipasang Brainly Co Id
brainly.co.id

Cara Membaca Dan Menggunakan Voltmeter Belajar Elektronika
abdulelektro.blogspot.com

Rumus Dan Rangkaian Pembagi Tegangan Voltage Divider
teknikelektronika.com

Bab 6 Pemasangan Mutimeter Menurut Fungsinya Ppt Download
slideplayer.info

Rumus Arus Listrik Rumus Penjelasan Dan Contohnya
passinggrade.co.id

Mengukur Arus Listrik Dc Serviceku
serviceku.wordpress.com

Materi Arus Dan Tegangan Listrik Bolak Balik English Version
fisikakontekstual.com

Rumus Ukuran Amperemeter Brainly Co Id
brainly.co.id

Sebuah Aki Dengan Ggl 6 Volt Dan Hambatan Dalam 1 Ohm Dihubungkan Dengan Kawat Tembaga Yang Brainly Co Id
brainly.co.id

1
encrypted-tbn0.gstatic.com

Cara Menggunakan Voltmeter Dan Amperemeter Untuk Mengukur Arus Dan Tegangan
kumpulancaramenggunakan.blogspot.com

Sebuah Voltmeter Ac Dihubungkan Ke Sumber Tegangan Ac Menunjukkan Nilai 220 Volt Maka Arus Efektif Brainly Co Id
brainly.co.id

Cara Menghitung Hasil Pengukuran Multimeter
id.scribd.com

Hambatan Dalam Amperemeter Dan Voltmeter
www.slideshare.net

Pdf Measurement Of Telephone Line Parameters Using The Three Voltmeter Method
www.researchgate.net

Materi Arus Dan Tegangan Listrik Bolak Balik
fisikakontekstual.com

Modul Elektrik Elektif T1
pdfslide.net

Listrik Arus Bolak Balik Ac Belajar Dengan Eksperimen
iksan35.wordpress.com

Voltmeter Dan Ampermeter
www.slideshare.net

7 Instrumen Volt Meter Dan Ammeter
www.slideshare.net

Amperemeter Dan Voltmeter Docx
id.scribd.com

7 Instrumen Volt Meter Dan Ammeter
www.slideshare.net

Memperbesar Batas Ukur
id.scribd.com

Voltmeter Arduino Dengan Serial Monitor Youtube
www.youtube.com

Direct Current Circuits Ppt Download
slideplayer.com

Https Encrypted Tbn0 Gstatic Com Images Q Tbn 3aand9gcshih Vbb6entpxtqoq6vom53r409kcq51k9yagizs Usqp Cau
encrypted-tbn0.gstatic.com

Pengertian Muatan Listrik Jenis Sifat Rumus Dan Contoh Soal Muatan Listrik Lengkap Pelajaran Sekolah Online
www.pelajaran.co.id

Hambatan Dalam Amperemeter Dan Voltmeter
pdfslide.net

Listrik Dinamis Pengertian Makalah Rumus Contoh Manfaat
www.dosenpendidikan.co.id

Voltmeter Ammeter Fisika Kelas X Youtube
www.youtube.com

Cara Membaca Alat Ukur Listrik Multimeter Avometer Jagad Id
jagad.id

Beda Potensial Listrik Rumus Contoh Soal Dan Penyelesaiannya
www.utakatikotak.com

Pengertian Arus Listrik Dan Rumus Serta Contohnya Sains Seru
www.sainsseru.com

2

Rumus Arus Listrik Rumus Penjelasan Dan Contohnya
passinggrade.co.id

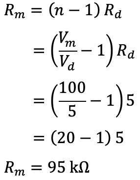
Sebuah Voltmeter Mempunyai Hambatan Dalam 5 Kw Dapat Mengukur Tegangan Maksimal 5 V Mas Dayat
www.masdayat.net

Cara Membaca Amperemeter Dan Voltmeter Idschool
idschool.net

Doc Pengukuran Daya Alfi Andy Academia Edu
www.academia.edu

Laporan Multimeter Doc
id.scribd.com

Pengertian Beda Potensial
id.scribd.com

Voltmeter Dan Ampermeter
www.slideshare.net

Makalah Voltmeter
www.slideshare.net

Tekmek 1 Alat Ukur
www.scribd.com

Bagaimana Cara Membuat Voltmeter Dengan Arduino Ceupoypoyi Note
ceupoypoyi.wordpress.com

Hambatan Dalam Amperemeter Dan Voltmeter
www.slideshare.net

close