Sangat Membantu

Rumus Volume Silinder Mesin


2 Cara Rumus Menghitung Kapasitas Mesin Motor Part 2 Oprek Motor
www.oprekmotore.com

Volume Silinder
www.viarohidinthea.com

Rasio Kompresi Mesin Apa Artinya Bagaimana Cara Menghitung Autoexpose
www.autoexpose.org

Rumus Mencari Capasitas Mesin Cc Johan Mekanik
www.johanmekanik.com

Cara Menghitung Kapasitas Mesin Volume Silinder Perbandingan Kompresi Kecepatan Piston Torsi Dan Tenaga Pada Sepeda Motor
pdfslide.net

Blue Sight Kapasitas Mesin Bagaimana Cara Menghitungnya
bluesight5.blogspot.com

Laksito Perhitungan Dasar Motor Volume Silinder Perbandingan Kompresi
laksito-minggir.blogspot.com

Kapasitas Mesin Mobil Apa Dan Dan Bagaimana Cara Menghitungnya Teknisimobil Com
teknisimobil.com

Mudah Menghitung Kubikasi Silinder Sepeda Motor Tmcblog Com
tmcblog.com

Teknologi Otomotif Dasar 2 Sks Teori Ppt Download
slideplayer.info

Apa Itu Cc Centimeter Cubic Pada Mesin Dan Bagaimana Cara Menghitungya Lks Otomotif
www.lksotomotif.com

Tips Hitung Bore Up Dan Diameter Klep Kaskus
www.kaskus.co.id

Cara Hitung Cc Mesin Motor Penting Buat Yang Mau Bore Up Gridoto Com
otomotifnet.gridoto.com

Rumus Silinder Tabung Berserta Contoh Soal Dan Jawaban
www.pinterpandai.com

Perbandingan Kompresi Sebuah Mesin Mobil Seperti Apa Teknisimobil Com
teknisimobil.com

Rumus Volume Tabung Contoh Soal Dan Penjelasan Lengkap
saintif.com

Mudah Cara Menghitung Cc Motor Memakai Rumus By Aditya Nugroho Medium
medium.com

Cara Menghitung Kapasitas Mesin Pada Kendaraan Gampang Banget Gridoto Com
otomania.gridoto.com

Perhitungan Matematis Daya Mesin Suzuki Satria F 150
www.cronyos.com

Materi Pmkr 4 Cara Menghitung Volume Cc Mesin Youtube
www.youtube.com

Rumus Menghitung Volume Tabung Silinder Cara Aimyaya Cara Semua Cara
www.cara.aimyaya.com

Dasar Sepeda Motor Created By Heroe Abi Hafsah Ppt Download
slideplayer.info

Otomotif Cara Menghitung Cc Mobil
peduliotomotif.blogspot.com

Rumus Menghitung Volume Tabung Silinder Cara Aimyaya Cara Semua Cara
www.cara.aimyaya.com

Penjelasan Stroke Up Bikin Mesin Rasa Balap Belipart Blog
www.belipart.com

Penjelasan Rumus Volume Kerucut Dan Contoh Soalnya Blog Teknisi
blogteknisi.com

2 Cara Rumus Menghitung Kapasitas Mesin Motor Part 1 Oprek Motor
www.oprekmotore.com

Ternyata Hitung Kapasitas Mesin Atau Tahu Jumlah Silinder Itu Gampang Banget Bila Tahu Bore Dan Stroke Mengupas Soal Motor
kupasmotor.wordpress.com

Cara Hitung Cc Mesin Motor Tutorial Tips Trik Dan Cara Membuat Sesuatu
tokopuas.com

Pengertian Tekanan Kompresi Dan Perbandingan Kompresi Teknik Otomotif Com
www.teknik-otomotif.com

Mudah Menghitung Kubikasi Silinder Sepeda Motor Tmcblog Com
tmcblog.com

Formula Volume Silinder Contoh Pemecahan Masalah Pendidikan Menengah Dan Sekolah 2020
id.sodiummedia.com

Rumus Mencari Capasitas Mesin Cc Johan Mekanik
www.johanmekanik.com

Tips Cara Menghitung Volume Mesin Cc Dan Perbandingan Kompresi Rat Motorsport Indonesia
rat-motorsport.com

Hobby Dan Olahraga Cara Menghitung Volume Silinder Mesin
evandoublespeed.blogspot.com

Pdf Perhitungan Energi Pembakaran Bahan Bakar Di Dalam Silinder Mesin Bensin
www.researchgate.net

Begini Nih Rumus Cara Menghitung Cc Mesin Fastnlow Net
fastnlow.net

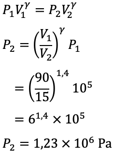
Sebuah Silinder Mesin Diesel Berisi Udara Dengan Volume 90 Cm3 Suhu 270c Dan Tekanan 1 Atm Mas Dayat
www.masdayat.net

Contoh Perhitungan Motor Diesel Kuliah Konversi Energi Kang Nurdian
nurdian25dhee.wordpress.com

Cara Menghitung Perbandingan Kompresi Dan Volume Silinder Langkah Piston Widiyanata Blog
blog.widiyanata.com

Perhitungan Matematis Daya Mesin Suzuki Satria F 150
www.cronyos.com

Http Jurnal Ubl Ac Id Index Php Jtm Article Download 737 731

Kelas 2 Tsm 2 Tugas 7 Sesuai Dengan Ayat Pertama Yang Facebook
m.facebook.com

Rumus Mencari Capasitas Mesin Cc Johan Mekanik
www.johanmekanik.com

Doc 76725077 Bore Scorpio Sugeng Baskoro Academia Edu
www.academia.edu

3 Cara Menghitung Cc Motor Bore Up Dan Stroke Up Moladin
moladin.com

Tips Cara Menghitung Volume Mesin Cc Dan Perbandingan Kompresi Rat Motorsport Indonesia
rat-motorsport.com

Mesin Konversi Energi
www.slideshare.net

Cara Menghitung Volume Langkah Piston Dan Perbandingan Kompresi Teknik Otomotif Com
www.teknik-otomotif.com

Cara Mengukur Volume Langkah Piston Piston Displacement Dan Sekolah Kami
www.sekolahkami.com

Cara Menghitung Rasio Kompresi Mesin Begini Rumusnya
www.federaloil.co.id

Http Repository Usd Ac Id 29605 2 045214021 Full 5b1 5d Pdf

Ini Cara Menghitung Cc Motor Ternyata Gampang Motorisblog
motorisblog.com

Mengenal Spesifikasi Mesin Volume Langkah Torak Piston Displacement Youtube
www.youtube.com

Cara Menghitung Perbandingan Kompresi Dan Volume Silinder Langkah Piston Bisa Otomotif
www.bisaotomotif.com

790 Teknisi Otodidak Sepeda Motor Pdf Document
fdokumen.com

Cara Menghitung Volume Langkah Piston Dan Perbandingan Kompresi Teknik Otomotif Com
www.teknik-otomotif.com

Rumus Volume Silinder Tabung Dan Contoh Soalnya
rumus.co.id

Sebuah Silinder Mesin Diesel Berisi Udara Dengan Volume 90 Cm3 Suhu 270c Dan Tekanan 1 Atm Mas Dayat
www.masdayat.net

Rasio Kompresi Mesin Apa Artinya Bagaimana Cara Menghitung Autoexpose
www.autoexpose.org

Ppt Dasar Sepeda Motor Powerpoint Presentation Free Download Id 3136541
www.slideserve.com

Rumus Volume Tabung Contoh Soal Dan Penjelasan Lengkap
saintif.com

Sebenarnya Apa Maksud Dari Rasio Kompresi Mesin Fastnlow Net
fastnlow.net

Cara Menghitung Volume Silinder Tabung Ukuran Dan Satuan
ukurandansatuan.com

Menghitung Volume Silinder Sepeda Motor
id.scribd.com

Voluma Silinder
id.scribd.com

Data Data Utama Pada Motor
www.scribd.com

Cara Menghitung Volume Silinder
www.slideshare.net

Cara Gampang Menghitung Kapasitas Silinder Mesin Motorplus Online Com
www.motorplus-online.com

Http Eprints Polsri Ac Id 322 3 Bab 20ii Pdf

Begini Cara Menghitung Cc Mesin Motor Mudah Banget Motorplus Online Com
www.motorplus-online.com

Menghitung Volume Cilinder Motor Docx Document
fdokumen.com

Apa Itu Cc Centimeter Cubic Pada Mesin Dan Bagaimana Cara Menghitungya Lks Otomotif
www.lksotomotif.com

Pdf Analisis Emisi Gas Buang Dan Daya Sepeda Motor Pada Volume Silinder Diperkecil
www.researchgate.net

Rumus Rasio Kompresi Beserta Soal Dan Jawaban Pinterpandai
www.pinterpandai.com

Cara Menghitung Cc Volume Silinder Mesin Motor
www.cronyos.com

1 Ml Berapa Cc Ukuran Dan Satuan
ukurandansatuan.com

Https Media Neliti Com Media Publications 98156 Id Analisis Pengaruh Bentuk Permukaan Pisto Pdf

8 Nama Komponen Mesin Diesel Dan Fungsi Beserta Gambar 2020
www.teknikarea.com

Https Journal Uny Ac Id Index Php Jpvo Article Download 21782 11326

Contoh Perhitungan Motor Diesel Kuliah Konversi Energi Kang Nurdian
nurdian25dhee.wordpress.com

Cara Menghitung Kapasitas Mesin Sepeda Motor
www.wuryantoro.com

Mengenal Alat Ukur Cara Menghitung Volume Silinder Motor
wahyuh450.blogspot.com

Cara Menghitung Perbandingan Kompresi Dan Volume Silinder Langkah Piston Bisa Otomotif
www.bisaotomotif.com

3 Cara Menghitung Cc Motor Bore Up Dan Stroke Up Moladin
moladin.com

Analisis Materi Volume Benda Putar Pada Aplikasi Cara Kerja Piston Di Mesin Kendaraan Roda Dua By Jurnal Al Jabar Issuu
issuu.com

Tips Hitung Bore Up Dan Diameter Klep Kaskus
www.kaskus.co.id

Http Repository Utu Ac Id 156 1 I V Pdf

4 Cara Hitung Cc Motor Dengan Benar Dan Wajib Diketahui Otoflik
www.otoflik.com

Mengitung Volume Silinder
pt.scribd.com

Kak Tolong Bantuan Ya Ini Soal Turunan Brainly Co Id
brainly.co.id

Http Jurnal Ubl Ac Id Index Php Jtm Article Download 737 731

Catatan Rumusan Motor Rumus Menhitung Cc Motor Adalah 3 14 X D Rus Wandy Academia Edu
www.academia.edu

Http Repository Usd Ac Id 29605 2 045214021 Full 5b1 5d Pdf

Teknologi Dasar Otomotif
dokumen.tips

Https Encrypted Tbn0 Gstatic Com Images Q Tbn 3aand9gct Rbdpuyclay6ymbcuh40uftnaju4tifolcg Usqp Cau

Cara Mengukur Volume Langkah Piston Piston Displacement Dan Sekolah Kami
www.sekolahkami.com

Cara Menghitung Volume Silinder
www.slideshare.net

Bab I
www.slideshare.net

Aplikasi Ilmu Fisika Dalam Mempelajari Sepeda Motor Sekolah007
www.sekolah007.com

close