Sangat Membantu

Rumus Waktu Paruh


Kinetika Kimia Reaksi Orde Kedua Reaksi Orde Ketiga Waktu Paruh Ppt Download
slideplayer.info

40 Contoh Soal Radioaktif Radiokimia Pilihan Ganda Pembahasan
soalkimia.com

Aktivitas Suatu Sampel Radioaktif Menjadi 1 5 Aktivitas Semula Dalam Waktu 10 Tahun Berapakah Brainly Co Id
brainly.co.id

Kliping Koran Stabilitas Bahan Aktif Dan Produk Obat Kinetika Kimia Dan Orde Reaksi
syx-gf.blogspot.com

Materi Kinetika Kimia
www.slideshare.net

Pengertian Waktu Paruh Radioaktif Definisi Dan Penjelasan Apayangdimaksud Com
apayangdimaksud.com

Waktu Paruh Fisika Modern Fisika Un Fisika Sma 2016 No 38 Youtube
www.youtube.com

Waktu Paruh Wikipedia Bahasa Indonesia Ensiklopedia Bebas
id.wikipedia.org

Kinetika Kimia Orde Reaksi Waktu Paruh Ppt Download
slideplayer.info

Memahami Grafik Tentang Laju Reaksi Dan Variasi Soal Urip Dot Info
www.urip.info

Pelajaran Soal Rumus Kinetika Reaksi Wardaya College
www.wardayacollege.com

Rumus Microsoft Exceluntuk Menghitung Jam Kerja Berdasarkan Shift
rumuslengkap.com

Doc Waktu Paruh Endang Purnamasari Academia Edu
www.academia.edu

Inti Atom Dan Radioaktivitas
www.slideshare.net

Soal Dan Pembahasan Unsur Radioaktif Kimia Usaha321 Net
usaha321.net

Seberapa Banyakkah Yang Tersisa Setelah 32 Hari Waktu Paruh Iodin 131 Adalah 8 Hari Inilah
id.scribd.com

Materi Fisika Modern Dan Radioaktivitas
fisikakontekstual.com

Ilmu Pengetahuan 2 Contoh Soal Fisika Waktu Paruh
ilmupopuler2.blogspot.com

Pelajaran Soal Rumus Larutan Lengkap Wardaya College Cute766
cute766.info

Suatu Radioisotop X Mempunyai Waktu Paruh 15 Hari Setelah Disimpan Selama 60 Hari Maka Berat Brainly Co Id
brainly.co.id

Https Media Neliti Com Media Publications 193971 Id Penentuan Aktivitas 60co Dan 137cs Pada Pdf

Ppt Disusun Oleh Elda Frediana R K K3313026 Powerpoint Presentation Id 4382325
www.slideserve.com

Rumus2online Radioactive Decay
rumus2online.blogspot.com

Rumus Waktu Paruh Unsur Radioaktif Brainly Co Id
brainly.co.id

Soal Peluruhan Radioaktif Dan Penyelesaiannya Ayo Sekolah Fisika
www.ayo-sekolahfisika.com

Contoh Soal Waktu Paruh Dan Radioaktivitas Serta Pembahasannya Soalfismat Com
soalfismat.com

Peluruhan Radioaktif Radioaktif Amaldoft
amaldoft.wordpress.com

Program Radioaktivitas Zat Dengan Matlab Berbasis Gui By Ahmad Hasabi Issuu
issuu.com

Kinetika Kimia Orde Reaksi Waktu Paruh Ppt Download
slideplayer.info

Kumpulan Soal Pelajaran 8 Contoh Soal Waktu Paruh
soalujian-08.blogspot.com

Pembahasan Soal Radioaktivitas Guru Ilmu Sosial
www.ilmusosial.id

Deret Keradioaktifan Dan Rumus Waktu Paruh Contoh Soal Laju Peluruhan Kimia
www.nafiun.com

Memahami Grafik Tentang Laju Reaksi Dan Variasi Soal Urip Dot Info
www.urip.info

Catatan Aktivitas Peluruhan
golengku.blogspot.com

Aktivitas Inti Putri Panisa Academia Edu
www.academia.edu

Pengertian Peluruhan Radioaktif Dan Waktu Paruh My Stupid Theory
mystupidtheory.com

Https Encrypted Tbn0 Gstatic Com Images Q Tbn 3aand9gctkfbkilasrb6jkfkraplicuyoz Nrmxnzadpicweopgekn1e6l Usqp Cau
encrypted-tbn0.gstatic.com

Bab 2 Kinetika Menjelaskan Hubungan Konsentrasi Dan Waktu Paruh 9 Kinetika Kimia Atau Kecepatan Pdf Document
fdokumen.com

Rumus Radioaktif Dan Contoh Contoh Soal Beserta Jawabannya
www.pinterpandai.com

Waktu Paro Nofrika Yulianti Blog S
nofrikakimiapasca.wordpress.com

Pelajaran Soal Rumus Konsentrasi Waktu Paruh Wardaya College
www.wardayacollege.com

Rumus Relativitas Dan Contoh Contoh Soal Beserta Jawabannya
www.pinterpandai.com

Https Encrypted Tbn0 Gstatic Com Images Q Tbn 3aand9gctktko5p4ejsymplyjg3thpth31zr4otswtahv0qomqfparm9l5 Usqp Cau
encrypted-tbn0.gstatic.com

Soal Dan Pembahasan Un Fisika Sma Tahun 2018 36 40 Epanrita Com
www.epanrita.com

Kinetika Kimia Penurunan Rumus Order 3
id.scribd.com

Https Encrypted Tbn0 Gstatic Com Images Q Tbn 3aand9gcsqowhyfbrmpl2qzfzyhq4t2asyotzddir9si 388hlzdsxovrr Usqp Cau
encrypted-tbn0.gstatic.com

Bagaimana Rumus Pertumbuhan Dan Peluruhan Dalam Matematika Youtube
www.youtube.com

Rumus Kecepatan Peluruhan Radioaktif Nuklida Contoh Soal Kimia
www.nafiun.com

Ilmu Pengetahuan 1 Contoh Soal Waktu Paruh
ilmupopuler81.blogspot.com

Un Sma 2017 Matematika Ipa Pembahasan No 17 Peluruhan Radioaktif Youtube
www.youtube.com

Sesium 137 Picu Kanker Dan Mutasi Gen Ilmu Dan Teknologi Koran Tempo Co
koran.tempo.co

Peluruhan Radioaktif Radioaktif Amaldoft
amaldoft.wordpress.com

Pengertian Peluruhan Radioaktif Dan Waktu Paruh My Stupid Theory
mystupidtheory.com

Rumus Waktu Paruh Contoh Soal Dan Penyelesaiannya My Stupid Theory
mystupidtheory.com

Soal Utbk Sbmptn Kimia 2017 Quipper Blog
www.quipper.com

Https Encrypted Tbn0 Gstatic Com Images Q Tbn 3aand9gcstqbgzcxtxcpieenqlkosfesdddeuo86y3h F0r5cxwz5wmasx Usqp Cau
encrypted-tbn0.gstatic.com

170432459 Waktu Paro Docx
www.slideshare.net

Teori Neki Sutria12
sites.google.com

Unsur Radioaktif Blog Guru Kimia Rini Sundari
kimiarini.wordpress.com

Radioaktif Dan Radioisotop
www.slideshare.net

Peluruhan Radioaktif Radioaktif Amaldoft
amaldoft.wordpress.com

Soal Waktu Paruh Sisa Unsur Radioaktif Suksesprivat
les.suksesprivat.com

Pengertian Peluruhan Radioaktif Dan Waktu Paruh My Stupid Theory
mystupidtheory.com

Diazepam Adalah Turunan Dari Benzodiazepine Dengan Rumus Molekul 7 Doc Document
vdocuments.mx

Pembahasan Soal Waktu Paruh Guru Ilmu Sosial
www.ilmusosial.id

Waktu Paruh Pengertian Rumus Dan Contoh Soal
kabarkan.com

Peluruhan Radioaktif Docx
id.scribd.com

Kd Meeting 13 14
www.slideshare.net

Cara Menghitung Waktu Paruh 8 Langkah Dengan Gambar Wikihow
id.wikihow.com

Gimana Sih Caranya Ilmuwan Tahu Umur Fosil Yang Ditemukan Zenius Blog
www.zenius.net

Pdf Analogi Waktu Paruh Dan Konstanta Peluruhan Disintegrasi Radioaktif
www.researchgate.net

Fisika Inti Kelompok 8
www.slideshare.net

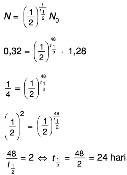
Dari Penimbangan Torium 234 Ternyata Massanya 1 28 Mg Jika 48 Hari Kemudian Mas Dayat
www.masdayat.net

Unsur Radioaktif Oleh M Nurissalam S Si Sma Muhammadiyah I Metro Ppt Download
slideplayer.info

Rumus Hukum Kekekalan Momentum Sudut Ardra Biz
ardra.biz

Waktu Paruh Dan Aktivitas Radioaktif Docx
id.scribd.com

Kimia Inti
chembucket.byethost10.com

Materi Laju Reaksi Laju Reaksi
sites.google.com

Perhitungan Waktu Paruh Docx
id.scribd.com

14708251105 Maria Hanifah Radioaktifitas Dan Teknologi Nuklir
www.slideshare.net

Suatu Zat Radioaktif Memiliki Waktu Paruh 10 Bulan Sebanyak 320 G Zat Radioaktif Tersimpan Disuatu Brainly Co Id
brainly.co.id

Unsur Radioaktif Oleh M Nurissalam S Si Sma Muhammadiyah I Metro Ppt Download
slideplayer.info

Waktu Paruh Suatu Unsur Radioaktif 3 8 Hari Waktu Yang Diperlukan Agar Unsur Radioaktif Tersebut Brainly Co Id
brainly.co.id

Kinetika Reaksi Ppt Download
slideplayer.info

Pelajaran Soal Rumus Konsentrasi Waktu Paruh Wardaya College
www.wardayacollege.com

Menghitung Perbedaan Tekanan Di Titik Pada Penampang Besar Dan Kecil Ardra Biz
ardra.biz

Waktu Paruh Unsur Radioaktif Youtube
www.youtube.com

Kalkulator Waktu Paruh Dan Laju Reaksi Urip Dot Info
www.urip.info

Pengertian Radioaktivitas Fisika Jenis Sinar Radioaktif Peluruhan Sinar Alfa Beta Gamma Deret Aktivitas Waktu Paruh Bahaya Radiasi Fisika Contoh Soal Praktikum Jawaban
www.nafiun.com

Kumpulan Contoh Soal Contoh Soal Waktu Paruh Dalam Fisika
bakingupforlosttime.blogspot.com

Rumus Gerak Parabola Dan Keterangannya Idschool
idschool.net

01 Sebanyak 15 Gram Campuran Logam Besi Dan Zenius Net
www.yumpu.com

Http Ejournal Balitbang Kkp Go Id Index Php Jppi Article Download 4815 4204

5 Unsur Radioaktif Reni Kimia
renideswantikimia.wordpress.com

Peluruhan Radioaktif Radioaktif Amaldoft
amaldoft.wordpress.com

Contoh Soal Waktu Paruh Contoh Soal Dan Materi Pelajaran 7
duniabelajarsiswapintar207.blogspot.com

Http Ejournal Balitbang Kkp Go Id Index Php Jppi Article Download 4815 4204

Doc Materi Kinetika Kimia Bella Arvianti Academia Edu
www.academia.edu

Waktu Paruh Dan Aktivitas Radioaktif
www.utakatikotak.com

Gimana Sih Caranya Ilmuwan Tahu Umur Fosil Yang Ditemukan Zenius Blog
www.zenius.net

Waktu Paruh Wikipedia Bahasa Indonesia Ensiklopedia Bebas
id.wikipedia.org

Radio Iso Top Untuk Menentukan Umur Suatu Fosil Pdf Document
fdokumen.com

Greatedu
greatedu.co.id

Radioaktif Plutonium Menjalani Peluruhan Orde Pertama Dengan Waktu Paruh Yang Diperkirakan 24 000 Brainly Co Id
brainly.co.id

close