Sangat Membantu

Rumus Xl Xc


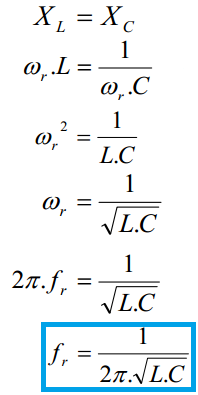
Greatedu
greatedu.co.id

Derivation Of The Lc Resonance Formula Youtube
www.youtube.com

Rangkaian Paralel Resistor Induktor Dan Kapasitor Pada Arus Bolak Balik 1 Fase Teknik Listrik
kusumandarutp.blogspot.com

Materi Arus Dan Tegangan Listrik Bolak Balik English Version
fisikakontekstual.com

Contoh Soal Rangkaian Rlc Dan Pembahasannya Soalfismat Com
soalfismat.com

How To Calculate Impedance 10 Steps With Pictures Wikihow
www.wikihow.com

8 Rangkaian Rlc Seri
www.slideshare.net

Rumus Excel 1
www.scribd.com

Penjelasan Rangkaian Seri Rlc Pada Arus Bolak Balik
blog.ruangguru.com

Nilai Impedansi Rangkaian Di Bawah Ini Adalah 100 Ohm Besar Tegangan Listrik Pada Ujung Ujung Brainly Co Id
brainly.co.id

Materi Arus Dan Tegangan Listrik Bolak Balik English Version
fisikakontekstual.com

Listrik Arus Bolak Balik Ac Belajar Dengan Eksperimen
iksan35.wordpress.com

Rangkaian Paralel Resistor Induktor Dan Kapasitor Pada Arus Bolak Balik 1 Fase Teknik Listrik
kusumandarutp.blogspot.com

Adesudiman Pr08 Fasilkom 1006665933
www.scribd.com

Penjelasan Rangkaian Seri Rlc Pada Arus Bolak Balik
blog.ruangguru.com

Rangkaian R Resistan L Reaktansi Induktif C Reaktansi Kapasitif
materiselamasekolah.wordpress.com

Pada Suatu Rangkaian Seri Rlc Diketahui R 300 Ohm L 0 25 Henry Dan C 8 F Hitunglah Empedansi Brainly Co Id
brainly.co.id

Arus Bolak Balik Pengertian Rangkaian Jenis Contoh Soal
www.gurupendidikan.co.id

Bank Rumus
pt.slideshare.net

8 Rangkaian Rlc Seri
www.slideshare.net

Materi Arus Dan Tegangan Listrik Bolak Balik
fisikakontekstual.com

7c Menghitung Impedansi
id.scribd.com

Doc Arus Zakiah Priska Academia Edu
www.academia.edu

Materi Arus Dan Tegangan Listrik Bolak Balik
fisikakontekstual.com

Mesoporous Tantalum Phosphates Preparation Acidity And Catalytic Performance For Xylose Dehydration To Produce Furfural Rsc Advances Rsc Publishing
pubs.rsc.org

Rumus Daya Listrik Pln
id.scribd.com

Rangkaian Rlc Seri Pdf Download Rqpk Nekazhkam Site
rqpk.nekazhkam.site

Rangkaian Rl Rc Rlc Impedansi Dan Resonansi Ppt Download
slideplayer.info

Greatedu
greatedu.co.id

4 Ways To Copy Formulas In Excel Wikihow
www.wikihow.com

Rumus Elektro For Android Apk Download
apkpure.com

Penjelasan Rangkaian Seri Rlc Pada Arus Bolak Balik
blog.ruangguru.com

Percobaan 6 Resonansi Pdf Free Download
docplayer.info

Materi Arus Dan Tegangan Listrik Bolak Balik English Version
fisikakontekstual.com

8 Rangkaian Rlc Seri
www.slideshare.net

Bank Rumus
pt.slideshare.net

Arus Dan Tegangan Listrik Bolak
www.scribd.com

Greatedu
greatedu.co.id

Simple Parallel Tank Circuit Resonance Resonance Electronics Textbook
www.allaboutcircuits.com

Rangkaian Rl Rc Rlc Impedansi Dan Resonansi Ppt Download
slideplayer.info

Arus Dan Tegangan Bolak Balik Fisika Sma
rumushitung.com

Kumpulan Rumus Excel Mitra Kuliah
www.mitrakuliah.com

Pengertian Impedansi Listrik Electrical Impedance Teknik Elektronika
teknikelektronika.com

Arus Bolak Balik Syaiflash Com
www.syaiflash.com

Kumpulan Rumus Excel Mitra Kuliah
www.mitrakuliah.com

4 Rangkaian Ac Paralel
www.slideshare.net

Rangkaian Seri Rlc Dan Frekuensi Resonansi
www.edutafsi.com

8 Rangkaian Rlc Seri
www.slideshare.net

How To Calculate Impedance 10 Steps With Pictures Wikihow
www.wikihow.com

Rumus Induktor Xl Ac Electricity Fsk Dasar Elektronika Analog Dan Digital Reaktansi Induktif Pengertian Dan Rumusnya Nulis Ilmu Bpf Band Pass Filter Indo Beningter
shefalitayal.com

Materi Arus Dan Tegangan Listrik Bolak Balik
fisikakontekstual.com

Materi Arus Dan Tegangan Listrik Bolak Balik
fisikakontekstual.com

Arus Bolak Balik Syaiflash Com
www.syaiflash.com

Rumus Arus Bolak Balik
www.slideshare.net

Pembahasan Soal Rlc Arus Dan Tegangan Ac Part 1
id.scribd.com

Rumus Lengkap Arus Dan Tegangan Bolak Balik
id.scribd.com

Kumpulan Rumus Excel Mitra Kuliah
www.mitrakuliah.com

Penjelasan Rangkaian Seri Rlc Pada Arus Bolak Balik
blog.ruangguru.com

Rangkaian Listrik Resonansi
www.slideshare.net

Contoh Soal Rangkaian Rlc Dan Pembahasannya Soalfismat Com
soalfismat.com

Materi Arus Dan Tegangan Listrik Bolak Balik
fisikakontekstual.com

Rangkaian Paralel Resistor Induktor Dan Kapasitor Pada Arus Bolak Balik 1 Fase Teknik Listrik
kusumandarutp.blogspot.com

Rumus Excel 1
www.scribd.com

Arus Dan Tegangan Bolak Balik Fisika Sma
rumushitung.com

Gambar 3 A Diagram Fasor Arus B Diagram Fasor Tegangan Pdf Download Gratis
docplayer.info

Rangkaian Paralel Resistor Induktor Dan Kapasitor Pada Arus Bolak Balik 1 Fase Teknik Listrik
kusumandarutp.blogspot.com

Teoridasarlistrik01
www.slideshare.net

3 Karakteristik Rangkaian Rlc
studylibid.com

Kumpulan Rumus Exel Lengkap Dan Fungsinya
laelitm.com

Contoh Soal Rangkaian Rlc Dan Pembahasannya Soalfismat Com
soalfismat.com

Resonansi Listrik Teknik Listrik
kusumandarutp.blogspot.com

Pengertian Impedansi Listrik Electrical Impedance Teknik Elektronika
teknikelektronika.com

Berikut Ini Rumus Untuk Menghitung Reaktansi Kapasitif Dan Raktansi Induktif Pdf Download Gratis
docplayer.info

Arus Bolak Balik Pengertian Rangkaian Jenis Contoh Soal
www.gurupendidikan.co.id

Pengertian Arus Bolak Balik Rumus Dan Manfaatnya Jagad Id
jagad.id

Arus Dan Tegangan Listrik Bolak
dokumen.tips

Listrik Arus Bolak Balik Ac Belajar Dengan Eksperimen
iksan35.wordpress.com

Kumpulan Rumus Excel Mitra Kuliah
www.mitrakuliah.com

Rangkaian Rl Rc Rlc Impedansi Dan Resonansi Ppt Download
slideplayer.info

Rumus Arus Bolak Balik
www.slideshare.net

Perhatikan Gambar Berikut Terlampir Jika Besarnya R 60 W Xl 120 W Dan Xc 40 W Rangkaian Brainly Co Id
brainly.co.id

Greatedu
greatedu.co.id

Pengertian Reaktansi Kapasitif Capacitive Reactance Serta Rumus Dan Cara Menghitungnya
teknikelektronika.com

Pengertian Impedansi Listrik Electrical Impedance Teknik Elektronika
teknikelektronika.com

Rangkaian Rl Rc Rlc Impedansi Dan Resonansi Ppt Download
slideplayer.info

28 Common Questions Of A Simple Alternating Current Circuit
physics.fisikastudycenter.com

Contoh Soal Rangkaian Rlc Dan Pembahasannya Soalfismat Com
soalfismat.com

9 Impedance And Phase Angle
www.intmath.com

How To Calculate Impedance 10 Steps With Pictures Wikihow
www.wikihow.com

Rangkaian Arus Bolak Balik Ppt Download
slideplayer.info

Penjelasan Rangkaian Seri Rlc Pada Arus Bolak Balik
blog.ruangguru.com

Rangkaian R L C Seri Dihubungkan Dengan Sumber Tegangan Arus Bolak Balik Yang Memiliki Frekuensi Brainly Co Id
brainly.co.id

Karangan Yang Bermanfaat Arus Bolak Balik
arsenalsyahrul.blogspot.com

Cara Menghitung Impedansi 10 Langkah Dengan Gambar Wikihow
id.wikihow.com

Arus Bolak Balik Alternating Current
www.slideshare.net

Jenis Rangkaian Arus Ac Ppt Download
slideplayer.info

Resonansi Listrik
www.slideshare.net

Impedance Z Resistance Reactance Electronics Area
electronicsarea.com

Berikut Ini Rumus Untuk Menghitung Reaktansi Kapasitif Dan Raktansi Induktif Pdf Download Gratis
docplayer.info

Pengertian Arus Bolak Balik Rumus Dan Manfaatnya Jagad Id
jagad.id

close