Sangat Membantu

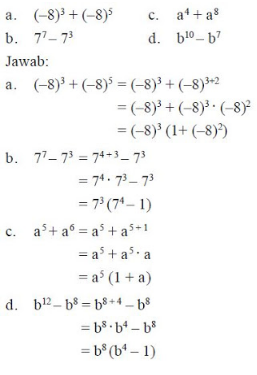
Sifat Penjumlahan Dan Pengurangan Bilangan Berpangkat


Cara Menyederhanakan Bilangan Pecahan Berpangkat Brainly Co Id
brainly.co.id

Matematika Interactive Worksheet
www.liveworksheets.com

Doc Materi 9 Sm Adi Kurniawan Academia Edu
www.academia.edu

Sifat Sifat Operasi Bilangan Berpangkat Beserta Contoh Soal Dan Pembahasannya Berpendidikan Com
www.berpendidikan.com

Anak Kelas 9 Yuk Pahami Materi Bilangan Berpangkat Bulat Positif Negatif Dan Nol Ini
www.quipper.com

Anak Kelas 9 Yuk Pahami Materi Bilangan Berpangkat Bulat Positif Negatif Dan Nol Ini
www.quipper.com

Cara Mengerjakan Bilangan Pecahan Berpangkat Guru Ilmu Sosial
www.ilmusosial.id

Cara Menyelesaikan Akar Yang Didalamnya Ada Akar Lagi Workslasopa
workslasopa968.weebly.com

Soal Bilangan Berpangkat Bulat Positif Negatif Dan Nol
www.utakatikotak.com

Cara Mengerjakan Bilangan Berpangkat Pecahan Guru Ilmu Sosial
www.ilmusosial.id

Penjumlahan Bilangan Berpangkat Dan Pembahasan Soal Soalnya
mardinata.com

Contoh Soal Operasi Bilangan Berpangkat Dan Bentuk Akar Kumpulan Soal Pelajaran 8
soalujian-78.blogspot.com

Sifat Sifat Operasi Bilangan Berpangkat Beserta Contoh Soal Dan Pembahasannya Berpendidikan Com
www.berpendidikan.com

Bilangan Berpangkat Dan Bentuk Akar
studylibid.com

1 Pangkat Bulat Positif Sifat Sifat Perpangkatan Docx Latihan 1 Dengan Menggunakan Sifat Sifat Bilangan Berpangkat Sederhanakanlah Bentuk Bentuk Course Hero
www.coursehero.com

Sifat Perpangkatan Bilangan Berpangakat Perpangkatan Dari Perkalian Dan Perpangakatan Dari Pembagian Rumushitung Com
rumushitung.com

2

Penjumlahan Dan Pengurangan Bentuk Akar
mafia.mafiaol.com

Contoh Soal Bilangan Berpangkat Bulat Positif Negatif Dan Nol Buat Kamu Anak Kelas 9
www.quipper.com

Bilangan Berpangkat Youtube
www.youtube.com

Bilangan Berpangkat Youtube
www.youtube.com

Bilangan Bulat Oleh Ainna Ulfa Nst Pendidikan Matematika Ppt Download
slideplayer.info

Bilangan Berpangkat Jenis Sifat Operasi Hitung Soal Penyelesaian
www.yuksinau.id

Trik Pengurangan Bilangan Pangkat 2 Selisih 1 Angka Youtube
www.youtube.com

Sifat Bilangan Berpangkat Beserta Pengertiannya Dalam Matematika
rumusrumus.com

Bab Iv Bilangan Berpangkat Dan Bentuk Akar
studylibid.com

Bilangan Berpangkat
id.scribd.com

Pembagian Bilangan Berpangkat Pangkat Nol Dan Pangkat Negatif Dilengkapi Soal Latihan Dan Pembahasan Dari Buku Matematika Smp Kelas Ix Kurikulum 2013 Defantri Com
www.defantri.com

Perkalian Bilangan Berpangkat Youtube
www.youtube.com

Modul Bilangan Berpangkat
www.slideshare.net

Contoh Soal Bilangan Berpangkat Bulat Positif Negatif Dan Nol Buat Kamu Anak Kelas 9
www.quipper.com

Bilangan Berpangkat Interactive Worksheet
www.liveworksheets.com

Operasi Perkalian Dan Pembagian Bilangan Bulat
www.utakatikotak.com

Faradiba Bilangan Berpangkat
faradibaarifin25.blogspot.com

Bilangan Berpangkat
www.slideshare.net

Bilangan Berpangkat Algebros
yeniwidiastuti.wordpress.com

Ppt A Bentuk Pangkat Powerpoint Presentation Free Download Id 6031973
www.slideserve.com

Pengertian Bilangan Berpangkat Dan Jenisnya Kelas Pintar
www.kelaspintar.id

Bahan Ajar Eksponen On23wx2eojl0
idoc.pub

Mari Belajar Bilangan Berpangkat Asyik Belajar
asyikbelajar.com

Modul Bentuk Pangkat
www.slideshare.net

Bilangan Berpangkat Trafo Instrumentasi
trafoinstrumen.wordpress.com

Materi Smp Bilangan Berpangkat
www.slideshare.net

Contoh Soal Operasi Bilangan Berpangkat Kumpulan Soal Pelajaran 8
soalujian-78.blogspot.com

Pertemuan 2 Operasi Hitung Pada Bilangan Berpangkat Youtube
www.youtube.com

Pengertian Dan Sifat Bilangan Berpangkat Beserta Contoh Soalnya
www.belajarmtk.com

Www Divapendidikan Com Rencana Pelaksanaan Pembelajaran Rpp Satuan Pendidikan Smpn S Mata Pelajaran Matematika Kela Matematika Kelas 7 Matematika Belajar
www.pinterest.fr

Matematika Kelas 9 Bilangan Bentuk Akar Sifat Sifat Dan Cara Merasionalkannya
blog.ruangguru.com

Streaming Matematika Kelas 7 Bilangan Bulat 3 Perkalian Pembagian Pemangkatan Sifat Distributif Vidio Com
www.vidio.com

Contoh Soal Penjumlahan Dan Pengurangan Bilangan Pangkat Dwi Purwanto
dwipurwantoid.blogspot.com

Matematika Kelas 9 Bilangan Berpangkat Pengertian Dan Sifatnya
blog.ruangguru.com

Malpersrei
malpersrei.mihanblog.com

Bilangan Berpangkat Jenis Sifat Operasi Hitung Soal Penyelesaian
www.yuksinau.id

Cara Mengerjakan Bilangan Berpangkat Besar Guru Ilmu Sosial
www.ilmusosial.id

Kometal Amazon Ca Appstore For Android
www.amazon.ca

Matematika Kelas 9 Bilangan Bentuk Akar Sifat Sifat Dan Cara Merasionalkannya
blog.ruangguru.com

Assalamualaikum Assalamualaikum Ayu Sekar Rini Istasari Sn Ppt Download
slideplayer.info

Matematika Kelas 9 Bilangan Bentuk Akar Sifat Sifat Dan Cara Merasionalkannya
blog.ruangguru.com

Contoh Soal Dan Pembahasan Bilangan Berpangkat Bulat Positif Guru Ilmu Sosial
www.ilmusosial.id

Soal Bilangan Berpangkat Bulat Positif Negatif Dan Nol
www.utakatikotak.com

Contoh Soal Bilangan Berpangkat Bulat Positif Negatif Dan Nol Buat Kamu Anak Kelas 9
www.quipper.com

Sifat Penjumlahan Dan Pengurangan Bilangan Berpangkat
mafia.mafiaol.com

Bilangan Berpangkat Jenis Sifat Operasi Hitung Soal Penyelesaian
www.yuksinau.id

Bilangan Pangkat Pecahan Pengertian Rumus Sifat Operasi Hitung Dan Contoh Soal Bilangan Pangkat Pecahan Lengkap Https Www Pe Pecahan Matematika Operasi
www.pinterest.ph

Doc Bab 5 Bilangan Berpangkat Dan Bentuk Akar Deasyra Syamsudin Academia Edu
www.academia.edu

Bentuk Akar Sifat Operasi Hitung Merasionalkan Cara Menyederhanakan Dan Contoh Soalnya Lengkap Tutorialbahasainggris Co Id
tutorialbahasainggris.co.id

Sifat Sifat Eksponen Eksponen Dan Logaritma
ekslogmath.wordpress.com

Bilangan Berpangkat Lengkap Soal Dan Pembahasan
www.utakatikotak.com

Contoh Soal Bilangan Berpangkat
rumusrumus.com

Faradiba Bilangan Berpangkat
faradibaarifin25.blogspot.com

Bilangan Berpangkat Dan Bentuk Akar Pdf Free Download
docplayer.info

Sifat Penjumlahan Dan Pengurangan Bilangan Berpangkat Anak Gaul
anakgaulbaru.blogspot.com

Perpangkatan Cara Menghitung Pangkat Sifat Dan Tabel Perpangkatan
www.advernesia.com

Belajar Matematika Bilangan Berpangkat The Enlightman
www.theenlightman.com

Bentuk Akar Pages 1 30 Flip Pdf Download Fliphtml5
fliphtml5.com

Bilangan Berpangkat Algebros
yeniwidiastuti.wordpress.com

1 Kisi Kisi Mtk 9 Doc Google Drive
drive.google.com

2

Operasi Hitung Campuran Bilangan Pangkat Dua Dan Contohnya
www.belajarmtk.com

Sifat Sifat Operasi Bilangan Berpangkat Beserta Contoh Soal Dan Pembahasannya Berpendidikan Com
www.berpendidikan.com

Bilangan Berpangkat
es.scribd.com

Rangkuman Dan Soal Bilangan Berpangkat Dan Bentuk Akar Materi Belajar Dari Rumah Di Tvri Untuk Smp Semua Halaman Bobo
bobo.grid.id

Perkalian Bilangan Berpangkat Dilengkapi Soal Latihan Dan Pembahasan Dari Buku Matematika Smp Kelas Ix Kurikulum 2013 Defantri Com
www.defantri.com

5 Contoh Sifat Perkalian Eksponen Brainly Co Id
brainly.co.id

Bilangan Berpangkat
www.slideshare.net

Assalamualaikum Assalamualaikum Ayu Sekar Rini Istasari Sn Ppt Download
slideplayer.info

Bilangan Berpangkat Algebros
yeniwidiastuti.wordpress.com

Https Files1 Simpkb Id Guruberbagi Rpp 50313 1593059471 Pdf

Doc Rppmatematika Berkarakter Smakelas Xsms1 Syamsul Arifin Academia Edu
www.academia.edu

Sifat Sifat Perkalian Dan Pembagian Bilangan Bulat Berpangkat Bilangan Bulat Positif Rumushitung Com
rumushitung.com

Sifat Sifat Operasi Bilangan Berpangkat Beserta Contoh Soal Dan Pembahasannya Berpendidikan Com
www.berpendidikan.com

Contoh Soal Dan Pembahasan Sifat Sifat Bilangan Bulat Smp Kelas 7 Vii Terbaru
www.sheetmath.com

Bilangan Berpangkat Dan Bentuk Akar 9
studylibid.com

Bilangan Berpangkat Jenis Sifat Operasi Hitung Soal Penyelesaian
www.yuksinau.id

2 Lkpd Kd 3 1 Pertemuan 2 Operasi Perpangkatan Docx
id.scribd.com

Sifat Sifat Operasi Bilangan Berpangkat Beserta Contoh Soal Dan Pembahasannya Berpendidikan Com
www.berpendidikan.com

Belajar Matematika Bilangan Berpangkat The Enlightman
www.theenlightman.com

Sifat Sifat Operasi Bilangan Berpangkat Pengertian Dan Contohnya Ijlisuu
ijlisuu.blogspot.com

Operasi Perkalian Pada Bentuk Aljabar
mafia.mafiaol.com

Bab 1 Operasi Bilangan Real
www.slideshare.net

close