Sangat Membantu

Soal Induksi Matematika Habis Dibagi


Http Digilib Uinsby Ac Id 19060 7 Bab 204 Pdf

Induksi Matematika Keterbagian Buktikan 4007 N 1 Habis Dibagi 2003 Youtube
www.youtube.com

Induksi Matematika Ppt Download
slideplayer.info

Contoh Soal Induksi Matematika Sederhana Kumpulan Soal Pelajaran 3
kumpulansoal-113.blogspot.com

1 Dengan Induksi Matematika Buktikan Bahwa 4n 1 Habis Dibagi Dengan 3 Untuk Semua N Bilangan Brainly Co Id
brainly.co.id

Matematika Wajib Kelas Xi Ips
www.sma1banda.sch.id

Induksi Matematika 5 2n 1 Habis Dibagi 5 Brainly Co Id
brainly.co.id

Induksi Matematika Pembuktian Habis Dibagi Youtube
www.youtube.com

Induksi Matematika Sman 96 Youtube
www.youtube.com

Contoh Soal Induksi Matematika Kelas 11 Pilihan Ganda Guru Ilmu Sosial
www.ilmusosial.id

Induksi Matematika 6x7 N 2x3 N Habis Dibagi 4 Youtube
www.youtube.com

Induksi Matematika Soal Request Laelatul Hidayah Youtube
www.youtube.com

Barisan Dan Deret Notasi Sigma Dan Induksi Matematika
www.slideshare.net

Buktikan Dengan Induksi Matematika Bahwa 5 N 1 Habis Dibagi 4 Untuk Semua Bilangan Positif N Brainly Co Id
brainly.co.id

Buktikan Dengan Induksi Matematika Bahwa N N 1 N 2 Habis Dibagi 6 Mas Dayat
www.masdayat.net

Induksi Matematika Materi Contoh Soal Pembuktian
www.yuksinau.id

Gunakan Induksi Matematika Untuk Membuktikan 11n 6 Habis Dibagi 5 Brainly Co Id
brainly.co.id

Logika Matematika Bab 5 Induksi Matematika Ppt Download
slideplayer.info

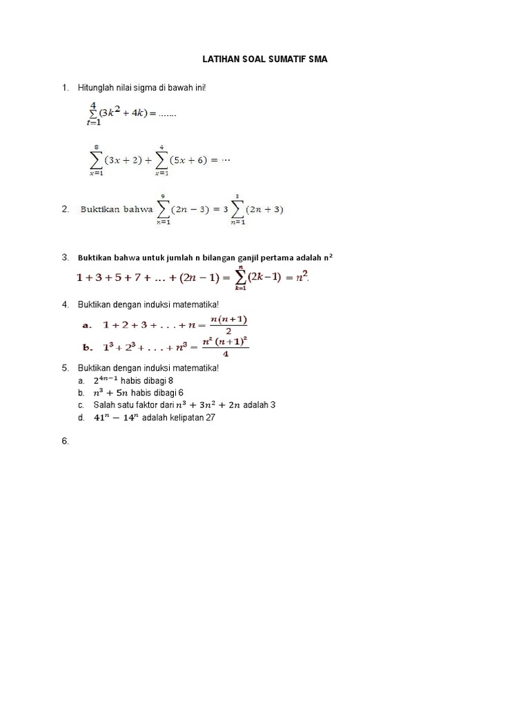
Latihan Soal Sumatif Sma Docx
id.scribd.com

Doc Soal Jawab Kuis4 Alya Putri Academia Edu
www.academia.edu

Induksi Matematika Materi Lengkap Matematika
www.materimatematika.com

Buktikan N N Habis Dibagi 3 Untuk Setiap N Bilangan Asli Brainly Co Id
brainly.co.id

Fakultas Sains Dan Teknologi Ppt Download
slideplayer.info

Induksi Matematika Pengertian Materi Pembahasan Dan Contoh Soal
ilmubelajar.com

Buktikan 4n 1 Habis Dibagi 3
www.seputarpengetahuan.co.id

Contoh Soal Induksi Matematika Habis Dibagi 6 Kumpulan Soal Pelajaran 5
soalujian-75.blogspot.com

Pdf Penyelesaian Soal Matematika Dengan Pembuktian Kusuma Hadi Purnawan Academia Edu
www.academia.edu

52n 1 Habis Dibagi 5 Mas Dayat
www.masdayat.net

Part I College Mudah Dengan Induksi Matematika Bahwa Untuk Setiap Bilangan Asli N 72n 1 1 Habis Dibagi Pdf Document
fdokumen.com

Uh Induksi Matematika 2017 2018
www.scribd.com

Buktikan 4007n 1 Habis Dibagi 2003 Brainly Co Id
brainly.co.id

25 Soal Dan Pembahasan Induksi Matematika Pendidikan Matematika Laman 5
yos3prens.wordpress.com

Doc Kumpulan Soal Jawab Olimpiade Matematikadaripertemuan Berau Putri Utiw Academia Edu
www.academia.edu

25 Soal Dan Pembahasan Induksi Matematika Pendidikan Matematika Laman 5
yos3prens.wordpress.com

Jawaban Soal Matematika Bab Induksi Good Media
sportinggoodmedia.wordpress.com

Soal Induksi
www.slideshare.net

Kumpulan Soal Jawab Olimpiade Matematika
studylibid.com

Soal Latihan Induksi Matematika
id.scribd.com

Tolong Bantu Ya 7 2n 1 3 2n Habis Dibagi 8 Brainly Co Id
brainly.co.id

Buktikan Dengan Induksi Matematika Bahwa 2 Pangkat 2n 1 1 Habis Dibagi 3 Brainly Co Id
brainly.co.id

Soal Matematika Diskrit 2 N 1 Habis Dibagi 7 Untuk Semua Bilangan Bulat N 1 Brainly Co Id
brainly.co.id

Induksi Matematika Konsep Materi Contoh Soal Dan Pembahasan
saintif.com

Soal Induksi Matematika
pt.scribd.com

Matematika Wajib Kelas Xi Ips
www.sma1banda.sch.id

Soal Jawab Induksi Matematika Dapat Dibagi 5 Youtube
www.youtube.com

01 Induksi Matematika Pada Pembuktian Rumus Pdf Induksi Matematika A Induksi Matematika Pada Pembuktian Rumus Dalam Kehidupan Sehari Hari Kita Sering Course Hero
www.coursehero.com

25 Soal Dan Pembahasan Induksi Matematika Pendidikan Matematika Laman 5
yos3prens.wordpress.com

Soal Dan Pembahasan Induksi Matematika Pdf Guru Ilmu Sosial
www.ilmusosial.id

Contoh Soal 1
www.scribd.com

Induksi Matematika Pembuktian Pernyataan Habis Dibagi Belajar Mat
www.belajarmat.com

9n 1 Habis Dibagi 8 Mas Dayat
www.masdayat.net

Ppt Induksi Matematika
www.slideshare.net

25 Soal Dan Pembahasan Induksi Matematika Pendidikan Matematika Laman 5
yos3prens.wordpress.com

Kuis Ke 1 If251 Matematika Diskrit
studylibid.com

Soal Jawab Induksi Matematika Habis Dibagi 5 Youtube
www.youtube.com

Dengan Induksi Matematika 3n 1 Habis Dibagi Mas Dayat
www.masdayat.net

Pertemuan Iv Metoda Pembuktian Dlm Matematika Ppt Download
slideplayer.info

25 Soal Dan Pembahasan Induksi Matematika Pendidikan Matematika Laman 5
yos3prens.wordpress.com

Induksi Matematika Tipe Soal Habis Dibagi Matematika Wajib Kelas 11 Youtube
www.youtube.com

Buktikan Secara Indukdi Bahwa 11 Pangkat N 6 Habis Dibagi 5 Untuk N Semua Bilangan Asli Brainly Co Id
brainly.co.id

Soal Dan Pembahasan Induksi Matematika Sumber Soal Buku Siswa Matematika Sma Kurikulum 2013 Defantri Com
www.defantri.com

Modul 1 Bilangan Bulat
www.slideshare.net

Induksi Matematika Materi Matematika Diskrit Ppt Download
slideplayer.info

Jurusan Pendidikan Matematika
studylibid.com

Metode Pembuktian Matematika
www.slideshare.net

Contoh Soal Induksi Matematika Kelas 11 Kurikulum 2013 Kumpulan Soal Pelajaran 3
kumpulansoal-113.blogspot.com

Http Seminar Uny Ac Id Semnasmatematika Sites Seminar Uny Ac Id Semnasmatematika Files Banner Pm 130 Pdf

Numpang Nanya Ya Kk Soal Titipan Dr Kk Rahmat Xⁿ 1 Habis Dibagi Oleh X 1 X 1 N Brainly Co Id
brainly.co.id

Soal Jawab Induksi Matematika Habis Dibagi 3 Youtube
www.youtube.com

Soal Induksi
www.slideshare.net

Tunjukkan Dengan Induksi Matematika Bahwa 15n 1 Habis Dibagi 14 Mas Dayat
www.masdayat.net

Induksi Matematika Kelas 11 Soal Habis Dibagi Video 2 Youtube
www.youtube.com

Contoh Soal Pembuktian Induksi Matematika Habis Dibagi Marthamatika
www.marthamatika.com

3 Contoh Soal Induksi Matematika Dan Pembahasannya Lengkap
majalahpendidikan.com

Soal Latihan Fondasi Induksi Matematika
pdfslide.tips

Contoh Soal Induksi Matematika Beserta Jawabannya
rumusrumus.com

25 Soal Dan Pembahasan Induksi Matematika Pendidikan Matematika Laman 5
yos3prens.wordpress.com

Induksi Matematika Materi Lengkap Matematika
www.materimatematika.com

Induksi Matematika Materi Rumus Dan Contoh Soal Ayokboco Com
www.ayokboco.com

Soal Jawab Induksi Matematika Habis Dibagi 7 Youtube
www.youtube.com

Buktikan Dengan Induksi Matematika Bahwa 12n 1 Habis Dibagi 11 Mas Dayat
www.masdayat.net

Contoh Soal Induksi Matematika Habis Dibagi 2 Kumpulan Soal Pelajaran 5
soalujian-75.blogspot.com

Induksi Matematikabuktikan6 7 N 2 3 N Habis Dibagi 4 Brainly Co Id
brainly.co.id

Induksi Matematika Makalah Prinsip Dan Contoh Soal
rumusrumus.com

Contoh Soal Induksi Matematika Dan Jawaban Pembahasan
soalkimia.com

Contoh Soal Induksi Matematika Youtube
www.youtube.com

Contoh Soal Induksi Matematika Habis Dibagi Brainly Kumpulan Soal Pelajaran 5
soalujian-75.blogspot.com

Soal Induksi
www.slideshare.net

Metoda Pembuktian Induksi Matematika Soal Latihan 1 Buktikan 7 N 1 Selalu Habis Dibagi 6 Untuk Pdf Document
fdokumen.com

Bab I Induksi Matematik Induksi Matematik Merupakan Salah
studylibid.com

2

Menemukan Rumus Suku Ke N Suatu Barisan
id.scribd.com

5 2n 1 Habis Dibagi 5 Brainly Co Id
brainly.co.id

Induksi Matematika
id.scribd.com

Induksi Matematika Materi Lengkap Matematika
www.materimatematika.com

Print Induksi Docx
id.scribd.com

Pengertian Rumus Dan Contoh Soal Induksi Matematika Ruang Les Online
ruangles.co.id

Buktikan N N 1 N 2 Habis Dibagi 6 Matematika Sup 2 Sup
matematikakuadrat.blogspot.com

25 Soal Dan Pembahasan Induksi Matematika Pendidikan Matematika Laman 5
yos3prens.wordpress.com

Soal Induksi Pdf Document
fdokumen.com

close