Sangat Membantu

Soal Tpa Matematika


Soal Kemampuan Analitik Div Matematika 4jo Kdi
mtk4jokdi.school.blog

Prediksi Un Matematika Smp For Android Apk Download
apkpure.com

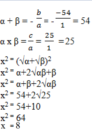
Pembahasan Soal Barisan Tpa Sbmptn Deret Dan Baris Matematika Sbmptn Unacademy
unacademy.com

Contoh Tes Potensi Akademik Tpa Matematika Dasar Dan Kunci Jawaban
id.scribd.com

Persiapan Efektif Belajar Tps Utbk Penalaran Umum Zenius Blog
www.zenius.net

Contoh Soal Tpa Matematika Berpola
id.scribd.com

Tes Kemampuan Numerik Contoh Soal Tpa Matematika Berpola Contoh Soal Tpa
www.contohsoaltpa.com

Contoh Soal Tes Potensi Akademik Ptk Perhubungan 2017 2018 Bhs Inggris Mas Apet
www.masapet.com

Sharinggan Contoh Soal Tpa Matematika Dasar Dan Pembahasan
sharinggan2.blogspot.com

Test Potensi Akademik Lengkap For Android Apk Download
apkpure.com

Latihan Soal Tpa For Android Apk Download
apkpure.com

Contoh Soal Tes Perbankan Dan Bumn Tips Psikotest Pt Pertamina Penyebab Gagal Masuk Tni Rekrutmen Tni 2019 Playtubes Psikot Di 2020 Matematika Illinois Perbankan
id.pinterest.com

Test Potensi Akademik Lengkap 1 1 8 Apk Android Apps
apk.center

Tips Cara Cepat Mengerjakan Soal Usm Stan Gu Buk
www.gu-buk.net

Contoh Soal Psikotes Matematika Gambar Jawaban Lengkap
sahabatnesia.com

Contoh Soal Psikotes Matematika Gambar Jawaban Lengkap Psikotes 3 Jenis Tes Psikologi Dalam Seleksi Kerja Yang Contoh Soal Psikot Di 2020 Matematika Buku Psikologi
id.pinterest.com

Tes Numerik Penalaran Matematika Tpa Ii Paket Lengkap Soal Perbandingan Dan Numerik Matematika Tpa Unacademy
unacademy.com

Pembahasan Tpa Zeniusclub Youtube
www.youtube.com

Soal Sbmptn Deret Aritmatika Guru Ilmu Sosial
www.ilmusosial.id

Tes Akademik Sma Taruna Nusantara Matematika 2007 2008 Pdf Document
fdokumen.com

Latihan Soal Tpa Un Sbmptn Um Ugm Simak Ui
siaphadapimasadepan.blogspot.com

A13afb47efce2ce32729d458a5d51793 Pmnam Com Br

Contoh Soal Tpa Sbmptn 2019 Dan Pembahasan
edutore.com

Easysitehut Blog
easysitehut.weebly.com

Belajar Pembahasan Soal Matematika Dasar Sbmptn Yuk
www.quipper.com

Jual 1000 Soal Matematika Dasar Tpa Jakarta Barat Bulutangkis Id Tokopedia
www.tokopedia.com

Matematika Tpa Bappenas Modul 2
id.123dok.com

Contoh Soal Tpa Smp Sma Sbmptn 2018 Pembahasan Download Kumpulan Contoh Soal Tpa Stan 2019 Gratis Terbaru
soalsoaltpa.blogspot.com

Panduan Belajar Sbmptn Tps Tpa Tipe Soal Pola Gambar Zenius Blog
www.zenius.net

Www Banksoal Web Id Soal Soal Tes Potensi Akademik Tpa Materi Tes Logika Yang Sering Muncul Dalam Tes Penerimaan Cpns Pdf Document
fdokumen.com

Yuk Kerjakan Contoh Soal Tpa Penalaran Analitik Ini Agar Sukses Sbmptn
www.quipper.com

Contoh Soal Tpa Dan Pembahasan Pdf Guru Ilmu Sosial
www.ilmusosial.id

Soal Toeic Dan Pembahasan Pdf Companybabysite S Blog
companybabysite.hatenablog.com

Tpa Sbmptn 2018 Vebuka Com
vebuka.com

Download Soal Tpa Dan Pembahasan Gratis Guru Ilmu Sosial
www.ilmusosial.id

Soal Dan Pembahasan Tpa Sbmptn Matematika Aljabar I Gu Buk
www.gu-buk.net

Tips Menghadapi Soal Utbk Matematika Zenius Blog
www.zenius.net

Jual I000 Soal Matematika Dasar Sma Dilengkapi Tes Potensi Akademik Tpa Jakarta Barat Golden R Tokopedia
www.tokopedia.com

Contoh Soal Tes Potensi Akademik Ptk Perhubungan 2017 2018 Fisika Mas Apet
www.masapet.com

Tpa Matematika
id.scribd.com

E Book Bank Soal Tpa Test Potensi Akademik
www.slideshare.net

Soal Tpa Masuk Smp Pdf 2019 Bimbel Privat Surabaya 0878 9797 4400 Wa
bimbelprivatsurabaya.com

Soal Latihan Matematika Kelas 6 In 2020 Office Word Math Number Sense Words
www.pinterest.com

Latihan Contoh Soal Deret Matematika Tpa Bappenas 11 20 Youtube
www.youtube.com

Super Link Website
www.scribd.com

Soal Tpa Seleksi Masuk Sma Negeri Rsbi Tahun 2012 2013 Wangsajaya S Weblog
wangsajaya.wordpress.com

Soal Tpa Seleksi Masuk Sma Negeri Rsbi Tahun 2012 2013 Wangsajaya S Weblog
wangsajaya.wordpress.com

Contoh Soal Tpa Matematika Dan Pembahasannya Pdf Contoh Soal Terbaru
www.shareitnow.me

Maragopan Unlimited Information
www.maragopan.com

Tes Potensi Dasar Online Guru Paud
www.gurupaud.my.id

Free Download Program Contoh Soal Tpa Bappenas S2 Pdf Editor Arcadeeasysite
arcadeeasysite689.weebly.com

Pembahasan Umptkin 2019 Tkd Tpa Matematika Dasar Kuantitatif Kode Soal 1911 Soal Asli Youtube
www.youtube.com

Tes Potensi Akademik Tpa
www.slideshare.net

Open Library Intisari Soal Soal Matematika Untuk Psikotes Tpa Tbs Tes Cpns Bumn
openlibrary.telkomuniversity.ac.id

Soal Kemampuan Matematika Div Matematika 4jo Kdi
mtk4jokdi.school.blog

Osnmatematika Download Instagram Hashtag Photos And Videos Imginn Com
imginn.com

Soal Soal Stpn Downloadl Peatix
soal-soal-stpn-downloadl-63.peatix.com

Soal Stis 2021 Dan Pembahasan Spmb Stis 2021 Pagunpost
www.pagunpost.com

2

Contoh Soal Tes Psikotes Tpa Wawancara Kerja Di Pt Gudang Garam Wawancara Kerja Wawancara Matematika
id.pinterest.com

Tes Potensi Akademik Tpa
www.slideshare.net

Contoh Soal Psikotes Numerik Dan Jawabannya Kumpulan Materi Pelajaran Dan Contoh Soal 5
kisikisisoaldanmateripelajaran368.blogspot.com

Tes Potensi Akademik Onilne Iqbal Parabi
iqbalparabi.com

Pengukuran Kuantitas Beserta Contoh Soal Dan Jawabannya Matematika Dan Komputer
dokumen.tips

Ebook Contoh Soal Tes Potensi Akademik Tpa Snmptn Bappenas S2 S3 Gratis Online Ver1 Pdf Document
vdocuments.site

Uzivatel Clear Indonesia Na Twitteru Minggu Pagi Enaknya Latihan Soal Tpa Matematika Dulu Nih Sbmptn Utbk2020 Matematika Soal Catatan Ui Simakui
twitter.com

Rahasia Taklukkan Tes Potensi Akademik Tpa Agar Tak Lagi Jadi Momok Cermati Com
www.cermati.com

Tes Kemampuan Numerik Contoh Soal Tpa Aritmatika Dasar Contoh Soal Tpa
www.contohsoaltpa.com

Contoh Soal Akademik Bahasa Indonesia Dan Kunci Jawaban Guru Ilmu Sosial
www.ilmusosial.id

Contoh Soal Tes Logika Matematika Dan Matematika Bercerita Contoh Soal Tpa
www.contohsoaltpa.com

Buku Tpa New Update Drilling Soal Soal Asli Tpa Tbs Oto Bappenas Shopee Indonesia
shopee.co.id

Bandung Yogyakarta Berikut Ini Adalah Kisi Kisi Soal Osc Untuk Universitas Bandung Dan Yogyakarta Metro Tv Scoopnest
www.scoopnest.com

Doc Pembahasan Matematika Berpola Jul Fp Academia Edu
www.academia.edu

Zenius Sur Twitter Persebaran Topik Soal Tpa Tps Matematika Dasar Dan Matematika Ipa Sbmptn
twitter.com

Soal Tpa Seleksi Masuk Sma Negeri Rsbi Tahun 2012 2013 Wangsajaya S Weblog
wangsajaya.wordpress.com

100 Cara Paling Ampuh Menyelesaikan Soal Tpa Sbmptn
www.quipper.com

Belajar Pembahasan Soal Matematika Dasar Sbmptn Yuk
www.quipper.com

Maragopan Unlimited Information
www.maragopan.com

Contoh Soal Tpa Matematika Kelipatan Angka 1 2 3 4 4 5 6 7 2 4 6 8 9 10 18 19 1 4 Brainly Co Id
brainly.co.id

Thintimes Netlify Com
thintimes.netlify.app

Best Contoh Soal Tpa
terbaruintisoal.blogspot.com

2

Tes Potensi Akademik Tpa
www.slideshare.net

Pelatihan Tes Potensi Akademik Tpa Ppt Download
slideplayer.info

Pdf Pengembangan Soal Tes Potensi Akademik Numerik Penerimaan Siswa Baru Smp Berbantuan Media Berbasis Wireless Application Protocol Java 2 Micro Edition J2me Bani Pamungkas Academia Edu
www.academia.edu

Inilah Materi Tes Tpa Sipencatar 2017 Berita Trans
beritatrans.com

Kumpulan Soal Dan Pembahasan Soal Sbmptn Saintek Lasopaido
lasopaido372.weebly.com

Persiapan Efektif Belajar Tps Utbk Penalaran Umum Zenius Blog
www.zenius.net

Belajar Pembahasan Soal Matematika Dasar Sbmptn Yuk
www.quipper.com

Pdf Contoh Soal Sipencantar Pip Nadia Indah Puspita Academia Edu
www.academia.edu

Tes Potensi Akademik Tpa
www.slideshare.net

Sbmptn Ltmpt Ac Id Kisi Kisi Soal Utbk Sbmptn 2019 Matematika Fisika Kimia Download Disini Halaman All Tribun Manado
manado.tribunnews.com

Soal Try Out Tpa Matematika Dasar 1
id.scribd.com

2

Ujian Mandiri Photos Facebook
www.facebook.com

2

Free Download Program Contoh Soal Tpa Bappenas S2 Pdf Editor Moseoomseo
moseoomseo.weebly.com

Soal Matematika Tpa Tes Potensi Akademik 2016 Nisfullailiyah20
nisfullailiyah20.wordpress.com

Pembahasan Soal Analogi Guru Ilmu Sosial
www.ilmusosial.id

0821 4324 7049 Pembahasan Soal Tpa Logika Matematika Sukses Tpa Com Youtube
www.youtube.com

close