Sangat Membantu

Fisika Medis Adalah


Ebook Fisika Medis
soalkimia.com

Departemen Fisika Fmipa Ui Gelar Ujian Akhir Residen Fisikawan Medik Spesialis Radioterapi Fmipa Ui
www.sci.ui.ac.id

Seputar Fisika Medik Medical Company 122 Photos Facebook
www.facebook.com

Permenkes 83 Tahun 2015 Tentang Standar Pelayanan Fisika Medik
www.slideshare.net

Permenkes 83 Tahun 2015 Tentang Standar Pelayanan Fisika Medik
www.slideshare.net

Seputar Fisika Medik Medical Company 122 Photos Facebook
www.facebook.com

Fisika medis adalah aplikasi ilmu fisika dalam dunia mediskedokteran yang dipraktikkan oleh fisikawan medik.

Fisika medis adalah. Menjadi fisikawan medik memerlukan pendidikan dan pelatihan terstruktur mengenai konsep dan teknik penerapan fisika dalam bidang medis. Nah ini adalah salah satu bagian dari fisika medis. Fisikawan medik dapat bekerja di institusi fasilitas pelayanan kesehatan akademik atau penelitian.

Saat ini teknologi kesehatan terus berkembang karenanya dibutuhkan tenaga ahli yang dapat menguasai penggunaan teknologi dalam dunia medis dan mengembangkan inovasinya. Selain itu menurut standar internasional dalam radiologi harus dilaksanakan oleh ahli yang berkompeten. Di indonesia profesi ini dinaungi oleh undang undang dan diwakili oleh aliansi fisikawan medik indonesia.

Fisika medis adalah ilmu yang mempelajari aplikasi ilmu fisika dalam bidang medis. Aplikasi fisika dalam memahami fungsi tubuh manusia dalam keadaan sehat atau sakit fisika fisiologi dan aplikasi fisika untuk alat bantu pada kebutuhan medic instrumentasi medik. Klik di sini untuk tahu lebih lanjut mengenai fisika medis dan fisikawan medik.

Fisika medis adalah media publikasi resmi dari asosiasi institusi pendidikan fisika medis indonesia aipfmi dan asosiasi fisikawan medik indonesia afmi. Fisika medis menerbitkan makalah melalui proses penelaahan sejawat peer review dengan lingkup teori dan aplikasi ilmu fisika dalam bidang medisklinis diantaranya. Fisika medis atau medical physics adalah bidang ilmu yang multidisiplin dan tidak hanya ilmu fisika aja karena fisika medis adalah salah satu cabang ilmu fisika yang concern dalam penerapan konsep dan metodologi fisika dalam bidang kedokteran khususnya dalam diagnosis dan treatment penyakit.

Dua kajian utamanya adalah.

Dr Johan Noor Fisika Medis Semakin Dibutuhkan Dunia Radiologi Prasetya Ub
prasetya.ub.ac.id

Rencana Pelatihan Bidang Fisika Medik Tahun 2020 Training Center Undip
tc.undip.ac.id

Peran Dan Peluang Fisika Medis Sebagai Tenaga Kesehartan Youtube
www.youtube.com

Matana University On Twitter Terapi Radiasi Radiation Therapy Physicists Peran Seorang Ahli Fisika Medis Pada Terapi Radiasi Meliputi Perencanaan Pengobatan Dan Radioterapi Desain Mesin Pengujian Kalibrasi Dan Pemecahan Masalah Gimana Kamu
twitter.com

Physics Today 10 Fisika Medis Phyiscs By Rangga Agung S Team
physicsranggaagung.wordpress.com

Diklat Profesi Fisikawan Medik Aipfmi
www.aipfmi.org

Ks Fisika Medis Fisika
fisika.walisongo.ac.id

Rsud Abdoel Wahab Sjahranie Samarinda
www.rsudaws.co.id

Departemen Fisika Fmipa Ui Dorong Peningkatan Kualitas Fisikawan Medik Di Banjarmasin Fmipa Ui
www.sci.ui.ac.id

Seputar Fisika Medik Medical Company 122 Photos Facebook
www.facebook.com

Pertemuan Ilmiah Tahunan Pit Fisika Medis Dan Biofisika 2017 Fmipa Ui
www.sci.ui.ac.id

Himpunan Mahasiswa Fisika Medis Ui Home Facebook
www.facebook.com

Pitfmb 2018
www.afismi.org

Skripsi Jurusan Fisika Medis Archives Jasa Pembuatan Skripsi
skripsiyuk.com

Seputar Fisika Medik 2020
www.gleauty.com

Tenaga Fisikawan Medis Di Indonesia Kurang
www.ngopibareng.id

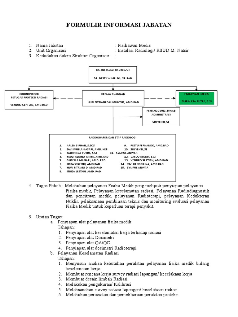
Anjab Fisika Medis
id.scribd.com

Permenkes 83 Tahun 2015 Tentang Standar Pelayanan Fisika Medik
www.slideshare.net

Prodi Fisika Gelar Seminar Wujudkan Fisikawan Medik Profesional Universitas Nasional
www.unas.ac.id

Pertemuan Ilmiah Tahunan Pit Fisika Medis Dan Biofisika 2017 Fmipa Ui
www.sci.ui.ac.id

Mengenal Lebih Dalam Peranan Fisika Medis Di Physics Summit Inspiring Talk Youtube
www.youtube.com

Apa Itu Fisika Medis Sinurhasanah
sinurhasanah.wordpress.com

Pengabdian Masyarakat Departemen Fisika Fmipa Ui 2018 Universitas Indonesia
www.ui.ac.id

Aliansi Fisikawan Medik Indonesia Home Facebook
www.facebook.com

Permenkes 83 Tahun 2015 Tentang Standar Pelayanan Fisika Medik
www.slideshare.net

Fisikawan Medis Penting Tapi Jarang Orang Yang Tahu
www.ngopibareng.id

Kuliah Tamu Fisika Medis Oleh Pakar Dari Korea Selatan Departemen Teknik Nuklir Teknik Fisika
tf.ugm.ac.id

Kebutuhan Tinggi Bali Kekurangan Tenaga Fisika Medis Kabarnusa Com
www.kabarnusa.com

Program Studi Fisika Teknik Dan Sains
teknik.unas.ac.id

Pdf Visualisasi Termal Permukaan Tangan Manusia Sebagai Alternatif Bahan Ajar Fisika Medis
www.researchgate.net

Pendidikan Dan Peran Fisikawan Medik Dalam Pelayanan Kesehatan
studylibid.com

Fisika Instrumentasi Program Studi Fisika
fisika.unpar.ac.id

Fmipa Ui Gelar Pertemuan Ilmiah Fisika Medis Biofisika 2017 Fmipa Ui
www.sci.ui.ac.id

Fisika Medis Muhammad Mustain S Blog
ain09.blog.uns.ac.id

Pengantar Fisika Kedokteran Ugm Press Badan Penerbit Dan Publikasi Universitas Gadjah Mada
ugmpress.ugm.ac.id

Himpunan Mahasiswa Fisika Medis Ui Home Facebook
www.facebook.com

Kuliah Tamu Fisika Medis Dari Alumni Fisika Unand Yosi Sudarsi Asril M Si
fisika.fmipa.unand.ac.id

Pelayanan Surat Ijin Kerja Fisikawan Medis
sipp.menpan.go.id

Aliansi Fisikawan Medik Indonesia E Learning Kementerian Kesehatan Republik Indonesia
e-sehat.org

Program Studi Fisika Teknik Dan Sains
teknik.unas.ac.id

Seluk Beluk Sinar X Dibahas Dalam Workshop Fisikawan Medik Di Ungaran Tribun Jateng
jateng.tribunnews.com

Jabatan Fungsional Fisikawan Medis
infoasn.id

Mengembangkan Potensi Fisika Medis Melalui Fgd Medical Physics 2019 Youtube
www.youtube.com

Physical Fun Learning Penerapan Ilmu Fisika Dalam Bidang Medis
christaliafisika.blogspot.com

Rsud Melawi Butuh Tenaga Sarjana Fisika Medik Suarakalbar Co Id Referensi Masyarakat Kalimantan Barat
www.suarakalbar.co.id

Diklat Profesi Fisikawan Medik Mahasiswa Aktif Program Studi S2 Fisika Dengan Kekhususan Atau Pdf Document
fdokumen.com

P0 Pengenalan Fismed
id.scribd.com

Webinar Series 6 Tantangan Dan Peluang Berkarir Di Fisika Medis Youtube
www.youtube.com

Jurusan Fisika Medis Mata Kuliah Prospek Kerja Universitas
edutore.com

Dokumen Patuh Etik Profesi Fisikawan Medik
www.afismi.org

Fisikawan Medis Penting Tapi Jarang Orang Yang Tahu
www.ngopibareng.id

Universitas Diponegoro On Twitter Bpex Merupakan Jurnal Internasional Bereputasi Yang Menerbitkan Hasil Penelitan Dalam Bidang Fisika Medis Dan Teknik Biomedis Pada Th 2019 Bpex Masuk Sbg Jurnal Dg Kualifikasi Q2 Dg Impact
twitter.com

Home Afismi
www.afismi.org

Rs Baptis Kediri On Twitter 2 Fisika Medis Sarjana Sains Https T Co N0mro54uxh Atau Sarjana Tehnik S T Photo Copy Ijazah Terlegalisir Ipk Min 3 00 Str Usia Maksimal 30 Tahun
twitter.com

Departemen Fisika Kedokteran Fkui
fk.ui.ac.id

Permenkes 83 Tahun 2015 Tentang Standar Pelayanan Fisika Medik
www.slideshare.net

Fisikawan Medis Penting Tapi Jarang Orang Yang Tahu
www.ngopibareng.id

Program Studi Fisika Teknik Dan Sains
teknik.unas.ac.id

Selamat Siang Rekan Fm Ini Ada Sedikit Seputar Fisika Medik Facebook
www.facebook.com

Slp Fisika Medis Program Studi S1 Teknik Fisika
bpe.telkomuniversity.ac.id

Ptkmr Batan Dan Jurusan Fisika Adakan Kuliah Umum Dan Praktikum Keselamatan Radiasi
fisika.fmipa.unand.ac.id

Peran Fisikawan Medis
www.khotimahk87.my.id

Permenkes 83 Tahun 2015 Tentang Standar Pelayanan Fisika Medik
www.slideshare.net

Jurusan Fisika Medis Mata Kuliah Prospek Kerja Universitas
edutore.com

Https Peraturan Bkpm Go Id Jdih Userfiles Batang Kepmenkes 048 2007 Pdf

Rencana Kegiatan Pelatihan Bidang Fisika Medik Tahun 2017 Training Center Undip
tc.undip.ac.id

Indonesia Kekurangan Sekitar 800tenaga Fisikawan Medis Kilasjatim Com
kilasjatim.com

Fisika Medis X Ray Machine
fisikamedisonline.blogspot.com

Fisika Medis Atau Medical Physics Adalah Bidang Ilmu Yang
id.scribd.com

Matana University
www.matanauniversity.ac.id

Permenkes 83 Tahun 2015 Tentang Standar Pelayanan Fisika Medik
www.slideshare.net

Jurusan Fisika Medis Mata Kuliah Prospek Kerja Universitas
edutore.com

Fisika Medis Dan Karier Prestige Yang Dapat Diraih Lulusanya
www.quipper.com

Tni Perkenalkan Fisika Medis Ke Siswa Smkn 5 Kabupaten Tangerang
www.baritorayapost.com

Penggabungan Ilmu Fisika Dengan Ilmu Kedokteran Menjadikan Brainly Co Id
brainly.co.id

Fisika Medis Fisika
fisika.walisongo.ac.id

Afismi Instagram Posts Gramho Com
gramho.com

Fisika Medis Fsm Uksw Video Promosi Youtube
www.youtube.com

Slp Fisika Medis Program Studi S1 Teknik Fisika
bpe.telkomuniversity.ac.id

Seputar Fisika Medik شركة خدمات طبية ١١٩ صورة فيسبوك
ar-ar.facebook.com

Afismi Instagram Posts Gramho Com
gramho.com

Ilmu Pengetahuan 2 Contoh Soal Fisika Radiodiagnostik
ilmupopuler2.blogspot.com

Peran Fisikawan Medis Dalam Pemanfaatan Ansn
studylibid.com

Dorong Perkembangan Keilmuan Fisika Medis Di Indonesia Fakultas Sains Dan Matematika Bekerjasama Dengan Rumah Sakit Ken Saras Departemen Fisika Universitas Diponegoro
fisika.fsm.undip.ac.id

Permenkes 83 Tahun 2015 Tentang Standar Pelayanan Fisika Medik
www.slideshare.net

Hmd Fisika Ui Pa Twitter Get Ready Future Medical Physicist Akademi Profesi Peminatan Fisika Medis Senin 11 Mei Semut Fisika Http T Co Orchfx3brc
twitter.com

Permenkes 83 Tahun 2015 Tentang Standar Pelayanan Fisika Medik
www.slideshare.net

Slp Fisika Medis Program Studi S1 Teknik Fisika
bpe.telkomuniversity.ac.id

Diklat Profesi Fisikawan Medik Mahasiswa Aktif Program Studi S2 Fisika Dengan Kekhususan Atau Pdf Document
fdokumen.com

Program Studi Fisika Teknik Dan Sains
teknik.unas.ac.id

Tupoksi Fisika Medis 1 Pdf
id.scribd.com

Kampus Murah Di Tangerang Jurusan Ipa
ronaa-sharasta.blogspot.com

Seputar Fisika Medik 2020
www.gleauty.com

Home Afismi
www.afismi.org

close