Sangat Membantu

Na2so4 Anhidrat


Produk Mineral Natrium Sulfat Anhidrat Glauber Garam Na2so4 Baik Harga 15124 09 1 Buy Produk Mineral Natrium Sulfat Anhidrat Glauber Garam Na2so4 Baik Harga 15124 09 1 Product On Alibaba Com
indonesian.alibaba.com

Cas 7757 82 6 Sodium Sulphate Anhydrous 99 Ssa Na2so4 Untuk Industri Tekstil
indonesian.sodiumsulfatesalt.com

Anhidrat Sodium Sulfat Na2so4 Msds Harga Rendah Anhidrat Sodium Sulfat Na2so4 Msds Pembelian
id.creditchemicals.com.cn

Na2so4 Sodium Sulphate Anhydrous Ph8 11 Bahan Baku Industri Untuk Industri Deterjen
indonesian.sodiumsulfatesalt.com

Pdf Pembuatan Natrium Sulfat Anhidrat Na2so4
www.researchgate.net

Pdf Antioxidant Activity Total Phenolic And Total Flavaonoid Of Extracts And Fractions Of Red Fruit Pandanus Conoideus Lam Semantic Scholar
www.semanticscholar.org

Sedangkan bentuk dekahidratnya mempunyai rumus kimia na 2 so 4 10h 2 o yang lebih dikenal dengan nama garam glauber atau sal mirabilisbentuk heptahidratnya juga berbentuk padatan yang akan.

Na2so4 anhidrat. Natrium sulfat anhidrat akan tetap mengendap lalu dilakukan pemisahan terhdap lapisan organik yang didapat dengan dekantasi. Cari produk alat laboratorium lainnya di tokopedia. Introduction to basic organic laboratory equipment and techniques.

Natrium sulfat anhidrat sodium sulfate na2so4 500 gram merek. Jual natrium sulfat anhidrat sodium sulfate anhydrate na2so4 500 gram dengan harga rp106000 dari toko online rofa laboratorium centre kota bandung. Natrium sulfat adalah garam natrium dari asam sulfurdalam bentuk anhidratnya senyawa ini berbentuk padatan kristal putih dengan rumus kimia na 2 so 4 atau lebih dikenal dengan mineral tenardit.

Evente koeruelbeluel 6 millio tonnat allitanak elo belole igy ez az egyik legnagyobb mennyisegben felhasznalt vegyuelet. Jual natrium sulfat anhidrat sodium sulfate na2so4 500 gram dengan harga rp120000 dari toko online alat bahan kimia kab. 35 teknis harap tanyakan stock produk sebelum order.

Sedangkan bentuk dekahidratnya mempunyai rumus kimia na2so410h2o yang lebih dikenal juga dengan nama garam glauber ataupun sal mirabilis. Organiknya dimasukkan ke dalam wadah berisi na2so4 dan didiamkan selama pm. Jual beli online aman dan nyaman hanya di tokopedia.

Stable at room temperature in closed containers under normal storage and handling conditions. Absorbs moisture or water from the air. Dibungkus dalam plastik double sealed.

Natrium sulfat ialah garam natrium dari asam sulfurdalam bentuk anhidratnya senyawa ini memiliki bentuk padatan kristal putih dengan rumus kimia na2so4 atau lebih dikenal juga dengan mineral tenardit. Penambahan natrium sulfat anhidrat bertujuan untuk memurnikan hasil yang diinginkan dengan mengikat sisa sisa air yang masih bercampur dengan lapisan organik tersebut. Terbaik dikelasnya cocok untuk pemakaian di laboratorium.

Dekahidrat formajat na 2 so 4 10h 2 o a 17. Molecular formulana2so4 molecular weight14204 section 10 stability and reactivity chemical stability. Szazad ota glauber sokent ismerik.

A natrium szulfat a natrium kensavval alkotott soja. Dan jika alat atau bahan yang anda cari. Abstrak natrium sulfat anhidrat na2so4 merupakan senyawa merupakan senyawa anorganik yang banyak dibutuhkan dalam berbagai industridiantaranya digunakan dalam industri kertas detergen dan.

Pdf Pembuatan Natrium Sulfat Anhidrat Na2so4
www.researchgate.net

99 Min Sodium Sulphate Anhydrous Na2so4 Glauber Garam Sodium Sulfate Anhydrous Buy Sodium Sulfate Anhidrat Anhidrat Natrium Sulfat Na2so4 Product On Alibaba Com
indonesian.alibaba.com

Natrium Sulfat Anhidrat Sodium Sulfate Na2so4 500 Gram Shagufta Laboratory
shaguftalaboratory.com

Pembuatan Kertas Sodium Industri Sodium Anhidrat Sulfat Industri 97 Kemurnian Ec No 231 821 13 Ssa
m.indonesian.sodiummetabisulfitepowder.com

Natrium Sulfat Anhidrat Na2so4 Buy Natrium Sulfat Anhidrat Natrium Sulfat Na2so4 Product On Alibaba Com
indonesian.alibaba.com

Pembuatan Natrium Sulfat Anhidrat
id.scribd.com

Jual Na Sulfat Anhidrat Sodium Sulfat Anhydrat Na2so4 Kota Semarang Asian Bahan Farmasi Tokopedia
www.tokopedia.com

Detergent Industry Sodium Sulfate Salt Glauber Salt Cake Ph6 8 Na2so4 99 Min
indonesian.sodiumsulfatesalt.com

Viscose Tekstil Kelas Natrium Sulfat Anhidrat 99 Na2so4 Buy Sodium Sulphate Anhydrous 99 Viscose Sodium Sulphate Anhydrous Na2so4 Product On Alibaba Com
indonesian.alibaba.com

Anhidrat Sodium Sulfat Na2so4 Msds Harga Rendah Anhidrat Sodium Sulfat Na2so4 Msds Pembelian
id.creditchemicals.com.cn

Natrium Sulfat Pengertian Rumus Sifat Dan Fungsinya
rumusrumus.com

Populer Sodium Sulfate Natrium Sulfat Na2so4 1 Kg Shopee Indonesia
shopee.co.id

Anhidrat Sodium Sulfat Na2so4 Msds Harga Rendah Anhidrat Sodium Sulfat Na2so4 Msds Pembelian
id.creditchemicals.com.cn

Produsen Harga Baik Natrium Sulfat Anhidrat Natrium Sulfat Anhidrat Buy Natrium Sulfat Anhidrat Natrium Sulfat Anhidrat Harga Produsen Natrium Sulfat Anhidrat Product On Alibaba Com
indonesian.alibaba.com

Https Encrypted Tbn0 Gstatic Com Images Q Tbn 3aand9gcqfpravywh4lstypnyoi Biidicjleu9dn8nondb9hkh5qs Vu6 Usqp Cau
encrypted-tbn0.gstatic.com

Cina Natrium Sulfat Anhidrat Na2so4 Berkualitas Tinggi Pemasok Dan Produsen Grosir Sodium Sulfat Anhidrat Na2so4 Grosir Kaikesi
id.kks-kaikes.com

Anhidrat Sodium Sulfat Na2so4 Msds Harga Rendah Anhidrat Sodium Sulfat Na2so4 Msds Pembelian
id.creditchemicals.com.cn

Anhidrat Sodium Sulfat Na2so4 Msds Harga Rendah Anhidrat Sodium Sulfat Na2so4 Msds Pembelian
id.creditchemicals.com.cn

Doc Ekstraksi Fhia Fhyo Academia Edu
www.academia.edu

Sateri Natrium Sulfat Anhidrat Na2so4 Buy Sateri Natrium Sulfat Anhidrat Na2so4 Sateri Natrium Sulfat Anhidrat Natrium Sulfat Anhidrat Product On Alibaba Com
indonesian.alibaba.com

Cina Na2so4 Industri Kelas Pemasok Produsen Pabrik Ekspor Shaanxi Batubara Industri Dan Kimia Group
id.carbon-coal.com

Cina Sulfite Natrium Anhidrat Na2so4 Pemasok Produsen Pabrik Ekspor Shaanxi Batubara Industri Dan Kimia Group
id.carbon-coal.com

Anhidrat Sodium Sulfat Na2so4 Msds Harga Rendah Anhidrat Sodium Sulfat Na2so4 Msds Pembelian
id.creditchemicals.com.cn

Identifikasi Umum Terhadap Minyak Atsiri Pdf Document
vdokumen.com

Natrium Sulfat Resep Kimia Industri
resepkimiaindustri.blogspot.com

Cina Sulfite Natrium Anhidrat Na2so4 Pemasok Produsen Pabrik Ekspor Shaanxi Batubara Industri Dan Kimia Group
id.carbon-coal.com

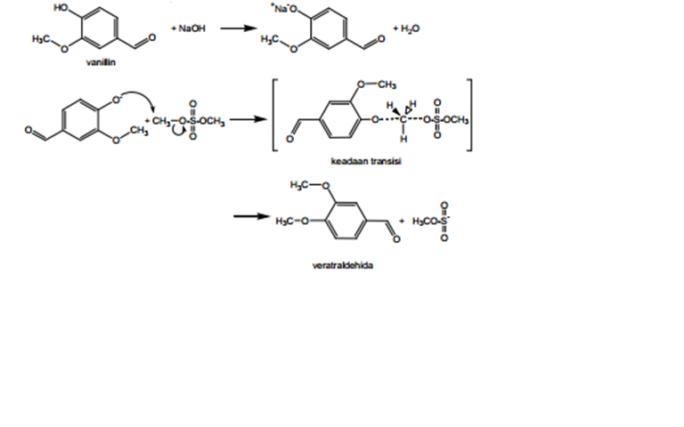
Substitution Reactions
studylib.net

Sodium Sulphate Anhydrous Washing Powder Pengisi Cas 7757 82 6 Na2so4
m.indonesian.washing-detergents.com

Cina Sodium Sulfat Anhidrat Berkualitas Tinggi Pemasok Dan Produsen Grosir Sodium Sulfat Sodium Anhidrat Kaikesi
id.kks-kaikes.com

Na2so4 99 Natrium Sulfat Anhidrat Ssa Harga Buy 99 Natrium Sulfat Anhidrat Harga Natrium Sulfat Anhidrat Ssa Harga Harga Na2so4 99 Ssa Product On Alibaba Com
indonesian.alibaba.com

Jual Tersedia Bahan Kimai Sodium Sulfat Cv Gihon Juma Sentosa Medan Sumatera Utara
www.indotrading.com

Produk Baja China Baja Nitrogen Pembuat Pembekal Pemborong Fosfat Baja Bahagian Cahaya Matahari
my.sunshinefertilizantes.com

Natrium Sulfat Pengertian Rumus Sifat Dan Fungsinya
rumusrumus.com

Iii Metode Penelitian
studylibid.com

Pembuatan Natrium Sulfat Anhidrat
id.scribd.com

Anhidrat Sodium Sulfat Na2so4 Msds Harga Rendah Anhidrat Sodium Sulfat Na2so4 Msds Pembelian
id.creditchemicals.com.cn

Aan Sukri Kimia Jambi
aansukri24.blogspot.com

Pembuatan Natrium Sulfat Anhidrat
id.scribd.com

Analisis Dan Sintesis
studylibid.com

Pembuatan Natrium Sulfat Anhidrat
id.scribd.com

Kelas Industri Natrium Sulfat 99 Na2so4 Bubuk Untuk Sabun Dan Deterjen Aditif Natrium Karbonat Anhidrat Natrium Sudium Buy Harga Natrium Sulfat Natrium Sulfida Bubuk Bubuk Natrium Karbonat Product On Alibaba Com
indonesian.alibaba.com

Sodium Sulfate Natrium Sulfat Cas 7757 82 6 106639
www.merckmillipore.com

Glauber Garam Produsen Na2so4 Natrium Sulfat Anhidrat 99 Produsen Buy Sodium Sulphate Anhydrous Sodium Sulphate Anhydrous 99 Glauber Garam Produsen Na2so4 Sodium Sulphate Anhydrous 99 Produsen Product On Alibaba Com
indonesian.alibaba.com

Penambahan Natrium Sulfat Anhidrat Bertujuan Untuk Memurnikan Hasil Yang Course Hero
www.coursehero.com

Pik Sodium Sulfat Pdf Document
fdokumen.com

Produsen Pemasok Na2so4 Msds Natrium Sulfat Anhidrat Buy Msds Natrium Sulfat Anhidrat Natrium Sulfat Anhidrat Produsen Natrium Sulfat Anhidrat 99 Product On Alibaba Com
indonesian.alibaba.com

Anhidrat Sodium Sulfat Na2so4 Msds Harga Rendah Anhidrat Sodium Sulfat Na2so4 Msds Pembelian
id.creditchemicals.com.cn

Http Www Ifrj Upm Edu My 17 20 01 202010 11 20ifrj 2010 97 106 20rohman 20indonesia Pdf

Jual Natrium Sulfat Anhidrat Sodium Sulfate Anhydrate Na2so4 500 Gram Kota Bandung Rofa Laboratorium Centre Tokopedia
www.tokopedia.com

Chemical Compounds Of Essential Oils From Frd And Drd Download Table
www.researchgate.net

Produsen Pemasok Na2so4 Msds Natrium Sulfat Anhidrat Buy Msds Natrium Sulfat Anhidrat Natrium Sulfat Anhidrat Produsen Natrium Sulfat Anhidrat 99 Product On Alibaba Com
indonesian.alibaba.com

Best Seller Sodium Sulfate Na2so4 1kg Natrium Sulfate Peralatan Medis Laboratori Industrial Bukalapak Com Inkuiri Com
m.inkuiri.com

Viscose Sodium Sulphate Anhydrous 99 Na2so4 Hs Kode 28331100 Bubuk Putih
indonesian.sodiumsulfatesalt.com

Andi Hartomo Yusuf Skripsi Fmipa Naskah Ringkas 2015
www.slideshare.net

Price Of Sodium Sulphate Anhydrous Na2so4 View Sodium Sulphate Anhydrous Ce Product Details From Zhengzhou Clean Chemical Co Ltd On Alibaba Com
cleanchem.en.alibaba.com

Pdf The Effect Of Heating Time To The Content Of Pigments And Vitamin A In Cassava Manihot Esculenta Crantz And Ceara Rubber Manihot Glaziovii Muell Arg Leaves
www.researchgate.net

Cina Na2so4 Industri Kelas Pemasok Produsen Pabrik Ekspor Shaanxi Batubara Industri Dan Kimia Group
id.carbon-coal.com

Benzaldehida Poliester Porfirin
id.scribd.com

Sodium Sulfate Others Sumberberliankimia Co Id Supplier Bahan Kimia Jakarta Supplier Bahan Kimia Bahan Kimia Jakarta
www.sumberberliankimia.co.id

Https Www Researchgate Net Publication 340767378 Optimasi Waktu Destilasi Uap Dan Identifikasi Komponen Minyak Kulit Jeruk Siam Citrus Nobilis L Fulltext 5e9c5032a6fdcca78924e61a Optimasi Waktu Destilasi Uap Dan Identifikasi Komponen Minyak Kulit Jeruk Siam Citrus Nobilis L Pdf

Anhidrat Sodium Sulfat Na2so4 Msds Harga Rendah Anhidrat Sodium Sulfat Na2so4 Msds Pembelian
id.creditchemicals.com.cn

Jawban Pertanyaan
id.scribd.com

Suyatno Rindang Farmasis Antioxidant Activity Total Phenolic And Total Flavaonoid Of Extracts And Fractions Of Red Fruit Pandanus Conoideus Lam
suyatnorindang.blogspot.com

Larutan Dan Kelarutan Pada Kristal Ppt Download
slideplayer.info

Sintesis Senyawa M P Metilbenzil P Kumaramida Dari Asam P Kumarat Youtube
www.youtube.com

Anhidrat Sodium Sulfat Na2so4 Msds Harga Rendah Anhidrat Sodium Sulfat Na2so4 Msds Pembelian
id.creditchemicals.com.cn

Na2so4 Magnesium Solubility
www.scribd.com

Anhidrat Sodium Sulfat Na2so4 Msds Harga Rendah Anhidrat Sodium Sulfat Na2so4 Msds Pembelian
id.creditchemicals.com.cn

Pdf Pembuatan Natrium Sulfat Anhidrat Na2so4
www.researchgate.net

Pemasok Magnesium Sulfate Bebas Disesuaikan Dan Produsen Harga Murah Magnesium Sulfat Anhidrat Jinxing
id.mgso4factory.com

Pemanfaatan Biji Alpukat Sebagai Bahan Bioetanol
id.scribd.com

Cina Sulfite Natrium Anhidrat Na2so4 Pemasok Produsen Pabrik Ekspor Shaanxi Batubara Industri Dan Kimia Group
id.carbon-coal.com

Fungsi Natrium Sulfat Anhidrat Laeli Tm
laelitm.com

Cina Natrium Sulfat Anhidrat Na2so4 Berkualitas Tinggi Pemasok Dan Produsen Grosir Sodium Sulfat Anhidrat Na2so4 Grosir Kaikesi
id.kks-kaikes.com

Msds Natrium Sulfat
id.scribd.com

Jual Produk Sulfat Anhidrat Sodium Sulfate Na2so4 Murah Dan Terlengkap September 2020 Bukalapak
www.bukalapak.com

Jual Best Seller Natrium Sulfat Anhidrat Sodium Sulfate Anhydrate Kota Surabaya Edra Market Tokopedia
www.tokopedia.com

A Normal Liver B Paracetamol 3 G Kg Bw C Fresh Rhizome Download Scientific Diagram
www.researchgate.net

Reaksi Dehidrasi Kristal Natrium Sulfat Trjadi Mnurut Prsamaan Na2so4 Xh2o Gt Na2so4 Xh2o Jika Brainly Co Id
brainly.co.id

Sodium Sulfate Na2so4 Pubchem
pubchem.ncbi.nlm.nih.gov

Merah Muda Natrium Sulfat Anhidrat Warna Speckles Untuk Sabun Butiran Bentuk
indonesian.washing-detergents.com

Natrium Sulfat Anhidrat
dokumen.tips

Natrium Sulfat Anhidrat Sodium Sulfate Na2so4 500 Gram Shopee Indonesia
shopee.co.id

Isolasi Dan Analisis Pigmen Dari Tumbuhan
www.slideshare.net

Substitution Reactions
studylib.net

Cina Sulfite Natrium Anhidrat Na2so4 Pemasok Produsen Pabrik Ekspor Shaanxi Batubara Industri Dan Kimia Group
id.carbon-coal.com

Price Of Sodium Sulphate Anhydrous Na2so4 Buy Sodium Sulphate Anhydrous Price Of Sodium Sulphate Anhydrous Sodium Sulphate Anhydrous Na2so4 Product On Alibaba Com
www.alibaba.com

Anhidrat Sodium Sulfat Na2so4 Msds Harga Rendah Anhidrat Sodium Sulfat Na2so4 Msds Pembelian
id.creditchemicals.com.cn

Natrium Sulfat Resep Kimia Industri
resepkimiaindustri.blogspot.com

Jual Na Sulfat Anhidrat Sodium Sulfat Anhydrat Na2so4 Kota Semarang Asian Bahan Farmasi Tokopedia
www.tokopedia.com

Jual Natrium Sulfat Anhidrat Sodium Sulfate Na2so4 500 Gram Kab Bandung Alat Bahan Kimia Tokopedia
www.tokopedia.com

Natrium Karbonat Wikipedia Bahasa Indonesia Ensiklopedia Bebas
id.wikipedia.org

Pik Sodium Sulfat Pdf Document
fdokumen.com

Glauber Garam Natrium Sulfat Anhidrat 99 Na2so4 Harga Buy Na2so4 Sodium Sulphate Harga Natrium Hidrogen Sulfat Product On Alibaba Com
indonesian.alibaba.com

Natrij Sulfat Wikipedia
bs.wikipedia.org

close