Sangat Membantu

Rumus Ampere Meter


Cara Penggunaan Amperemeter
www.geocities.ws

Perhatikan Rangkaian Listrik Di Bawah Jika Amperemeter A Pada Gambar Menunjukkan Pembacaan Brainly Co Id
brainly.co.id

Rumus Daya Listrik Arus Bolak Balik Ac 1 Phase Dan 3 Phase
akhdanazizan.com

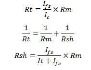
Rumus Ukuran Amperemeter Brainly Co Id
brainly.co.id

Materi Arus Dan Tegangan Listrik Bolak Balik English Version
fisikakontekstual.com

Rumus Fisika
www.slideshare.net

Pengertian dari arus listrik ialah banyak nya muatan listrik yang di sebab kan dari pergerakan elektron elektron mengalir melalui suatu titik dalam sirkuit listrik tiap satuan waktu nya.

Rumus ampere meter. Berikut ini adalah caranya. Perlu anda ketahui ada dua cara menggunakan amperemeter untuk pengukuran. Dan dalam kehidupan kita sehari hari sebenar nya contoh dari arus listrik.

Seseorang yang akan mengukur hambatan listrik gunakan ohm meter. Bila yang akan diukur adalah arus besar sebagian besar dari arus tersebut perlu dialirkan ke sebuah tahanan yang disebut shunt. Alat ukur kuat hambatan.

B 3600 x moi 2a yang dimana. Cara menggunakan ampere yang tanpa clamp ampere. Jadi 1 ampere atau amp berarti sebuah arus listrik yang mengalir dari kutub positif ke negatif.

Tinggal dimasukan rumus saja gan untuk 3 ampere ada sebuah 3 dan cosphi. Namun tidak sedikit yang menyebutnya dengan istilah amp saja. Kesimpulannya ada beberapa jenis alat ukur listrik.

V x i x 3 x cos phi p. Rumus kuat medan magnet solenoida bagian tengah. Fungsi ampere meter adalah untuk mengetahui nilai ampere yang mengali dalam instalasi listrik ataupun rangkaian listrik.

Dengan jarak terpisah dan penampang yang diabaikan akan memunculkan gaya sebesar 2 x 10 7 newtonmeter. Tetapi cos phinya dibuat 1 saja nilainya. Sehingga idealnya adalah dalam suatu amperemeter tentu harus mempunyai hambatan yang kecil supaya arus listrik bisa berkurang dalam suatu rangkaian juga sangat kecil.

Dan arus listrik sendiri dapat di ukur dalam satuan coulomb atau detik atau bisa juga dengan ampere. Sebagai contoh misalnya amperemeter memiliki hambatan dimana dengan disisipkannya ampere meter itu maka akan mengakibatkan arus listrik pada rangkaian menjadi sedikit berkurang. V tegangan volt i arus ampere r hambatan ohm dalam ilmu fisika ampere dilambangkan dengan huruf a adalah satuan si untuk arus listrik yang biasa dikecilkan menjadi amp.

380 x 250 x 173 x 1. B kuat medan magnetik t a jari jari lingkaran yang terbentuk oleh kawat m i kuat arus listrik a mo 4p x 107dalam satuan standard. A ampere m meter wb weber.

Contoh soal tentang satuan daya watt. Ampere merupakan satuan si untuk menunjukkan kuat arus listrik. Definisi kata clamp adalah menggenggam.

Dalam menggunakan ampere meter kita harus benar jika tidak maka hasilnya akan kurang tepat dan bisa juga akan minus jika salah. Seseorang yang ingin mengukur kuat arus listrik gunakan amperemeter. Alat ukur arus dcmerawat ampere meterampere meterampere meter dcdc ammeterteori ampere meterrangkaian ampere meterampere meter shuntshunt ayrtontahanan ayrtonteori shunt ayrtonpengertian shunt ayrtonrumus.

Perlu dipahami dari rumus daya ini jika semakin tinggi ampere maka daya yang dipakai akan semakin tinggi apabila tegangan tetap 220v. Apa itu clamp ampere. Satu ampere adalah suatu arus listrik yang mengalir dari kutup positif ke kutup negatif sedemikian sehingga di antara dua penghantar.

Rumus Daya Listrik Pengertian Hambatan Tetangan Dan Contoh
www.dosenpendidikan.co.id

Cara Membaca Amperemeter Dan Voltmeter Idschool
idschool.net

Rumus Yang Dipakai Ppt Video Online Download
slideplayer.com

Rumus Rumus Cara Menghitung Arus Tegangan Dan Daya Listrik Paling Mudah P X3d V X3d I X3d Fisika Teknik Listrik Fisika Rangkaian Elektronik
co.pinterest.com

Sugeng Rawuh Selamat Datang Welcome Rumus Menentukan Diameter Kabel
teguhpati.blogspot.com

Hambatan Dalam Amperemeter Dan Voltmeter
www.slideshare.net

Amperemeter Dan Voltmeter Pengertian Desain Rumus Dan Contoh Soal Pelajaran Sekolah Online
www.pelajaran.co.id

Pengertian Satuan Besaran Pokok Turunan Macam Dan Contoh
www.gurupendidikan.co.id

Cara Menghitung Satuan Volt Ampere Dan Watt
www.plcdroid.com

Https Encrypted Tbn0 Gstatic Com Images Q Tbn 3aand9gcrd7fwnimca5cuh2p3xvj75s1i 5ovefutyhq Usqp Cau

Rumus Hambatan Listrik Dan Contoh Soal Lengkap
rumusrumus.com

Blog Antoksolo Mengubah Volt Meter Menjadi Ampere Meter
antoksolo.blogspot.com

Rumus Yang Dipakai Ppt Video Online Download
slideplayer.com

Voltmeter Dan Ampermeter
www.slideshare.net

Pengertian Kuat Arus Listrik Rumus Contoh Soal Kuat Arus Listrik
www.seputarpengetahuan.co.id

Rumus Daya Fisika P W T Penjelasan Contoh Soal Dan Jawaban
www.pinterpandai.com

Amperemeter Dan Voltmeter Docx
id.scribd.com

Hukum Ohm Pengertian Bunyi Teori Rumus Dan Contoh Soal
www.gurupendidikan.co.id

Sugeng Rawuh Selamat Datang Welcome Rumus Menentukan Diameter Kabel
teguhpati.blogspot.com

Tegangan Jepit Sebuah Baterai Ketika Menyuplai Arus 2a Adalah 6v Ketika Menyuplai Arus 3a Tegangan Brainly Co Id
brainly.co.id

Cara Menghitung Ampere Motor 3 Dan 1 Phase Dengan Rumus Daya
www.plcdroid.com

Alat Ukur Arus Listrik Amperemeter Happynetku S Blog
happynetku.wordpress.com

Cara Membaca Amperemeter Dan Voltmeter Idschool
idschool.net

Digital Voltmeter Using Pic Microcontroller Pic Microcontroller Digital Ammeter Microcontrollers
www.pinterest.com

Lengkap Pengertian Bunyi Rumus Hingga Penerapannya Hukum Ohm
cerdika.com

Doc Nama Eka Nur Septiani Kelas Tl B Nim Eka Nur Septiani Academia Edu
www.academia.edu

Cara Menghitung Ampere Motor 3 Dan 1 Phase Dengan Rumus Daya
www.plcdroid.com

Cara Membaca Multimeter Analog Dan Digital Panduan Teknisi
panduanteknisi.com

Https Encrypted Tbn0 Gstatic Com Images Q Tbn 3aand9gcshih Vbb6entpxtqoq6vom53r409kcq51k9yagizs Usqp Cau
encrypted-tbn0.gstatic.com

7 Instrumen Volt Meter Dan Ammeter
www.slideshare.net

Rumus Rumus Cara Menghitung Arus Tegangan Dan Daya Listrik Paling Mudah Wijdan Kelistrikan
www.kelistrikanku.com

How Moving Coil Meters Work Explain That Stuff
www.explainthatstuff.com

Pin Di Fisika Physics
id.pinterest.com

Menghitung Drop Voltage Electricity For Beautifull Life
electricdot.wordpress.com

Generasi Fisika Amperemeter Dan Voltmeter
www.fisikane.web.id

7 Instrumen Volt Meter Dan Ammeter
www.slideshare.net

Sk 6 Listrik Arus Searah
studylibid.com

Pengertian Rumus Arus Listrik Dan Contoh Soal
rumus.co.id

Volt Meter Arus Searah Dc Volt Meter
elektronika-dasar.web.id

Rumus Daya Listrik Pengertian Hambatan Tetangan Dan Contoh
www.dosenpendidikan.co.id

Cara Mengukur Pengukuran Kuat Arus Listrik
mafia.mafiaol.com

Sugeng Rawuh Selamat Datang Welcome Rumus Menentukan Diameter Kabel
teguhpati.blogspot.com

Sugeng Rawuh Selamat Datang Welcome Rumus Menentukan Diameter Kabel
teguhpati.blogspot.com

7 Instrumen Volt Meter Dan Ammeter
www.slideshare.net

Prinsip Kerja Amperemeter Penggilingan Kecepatan
id.scribd.com

7 Instrumen Volt Meter Dan Ammeter
www.slideshare.net

7 Instrumen Volt Meter Dan Ammeter
www.slideshare.net

Circuit Symbols Electrical Engineering Projects Electrical Wiring Electrical Circuit Symbols
www.pinterest.es

Pengertian Rumus Dan Bunyi Hukum Ohm
teknikelektronika.com

Cara Menghitung Satuan Volt Ampere Dan Watt
www.plcdroid.com

7 Instrumen Volt Meter Dan Ammeter
www.slideshare.net

Ampermeter Voltmeter Ohm Meter
www.unboxing.eu.org

Amperemeter Dan Voltmeter Pengertian Desain Rumus Dan Contoh Soal Pelajaran Sekolah Online
www.pelajaran.co.id

Amperemeter Memiliki Hambatan Dalam 360 Ohm Dan Memiliki Batas Ukur 50 Miliamperr Setelah Dipasang Brainly Co Id
brainly.co.id

Volt Ampere Volt Ampere Watt Formula
voltamperetomeiga.blogspot.com

Kene 66 Materi Rumus Arus Listrik Dan Pengukurannya Fisika Kelas 10
fauzikene.blogspot.com

Cara Membaca Amperemeter Dan Voltmeter Idschool
idschool.net

Jendela Den Ngabei Amperemeter
jendeladenngabei.blogspot.com

Rumus Fisika For Android Apk Download
apkpure.com

Jika Amperemeter Menunjukan 3 A Tentukanlah Besarnya Hambatan R Dan Penujuk Voltmeter Brainly Co Id
brainly.co.id

Amperemeter Dan Voltmeter Pengertian Desain Rumus Dan Contoh Soal Pelajaran Sekolah Online
www.pelajaran.co.id

Cara Menggunakan Tang Ampere Clamp Meter Dan Prinsip Kerjanya Teknik Elektronika
teknikelektronika.com

Rumus Yang Dipakai Ppt Video Online Download
slideplayer.com

Instalasi Motor 3 Fasa
www.slideshare.net

Menghitung Satuan Watt Ampere Dan Volt Tempat Kita Berbagi Ilmu
duniaberbagiilmuuntuksemua.blogspot.com

Rumus Yang Dipakai Ppt Video Online Download
slideplayer.com

Laporan Praktek
www.scribd.com

Kumpulan Rumus Dan Rangkuman Teori Listrik Dinamis
www.edutafsi.com

Cara Mengukur Pengukuran Kuat Arus Listrik
mafia.mafiaol.com

Hukum Ohm Bunyi Rumus Dan Contoh Soal Hukum Ohm
www.studiobelajar.com

Ampere Meter Arus Searah Ampere Meter Dc
elektronika-dasar.web.id

Pengertian Voltmeter Lengkap Pengertian Fungsi Dan Rumus Rumus
sharingconten.com

Https Encrypted Tbn0 Gstatic Com Images Q Tbn 3aand9gcsbmsmca7pecej0 Zc Igsv8hqxrsgp2tkt92nh Pc1s6iijbbt Usqp Cau
encrypted-tbn0.gstatic.com

Ammeter
id.scribd.com

7 Instrumen Volt Meter Dan Ammeter
www.slideshare.net

Amperemeter Dan Voltmeter Pengertian Desain Rumus Dan Contoh Soal Pelajaran Sekolah Online
www.pelajaran.co.id

Pengertian Voltmeter Lengkap Pengertian Fungsi Dan Rumus Rumus
sharingconten.com

Rumus Yang Dipakai Ppt Video Online Download
slideplayer.com

Https Encrypted Tbn0 Gstatic Com Images Q Tbn 3aand9gctaxb3fxsgjpaeguevm98h6jr01cga6odnp Yhippfmejyi8bhq Usqp Cau
encrypted-tbn0.gstatic.com

Volt Ampere Volt Ampere In Kilowatt
voltamperetomeiga.blogspot.com

Prinsip Kerja Amperemeter Penggilingan Kecepatan
id.scribd.com

Rumus Arus Listrik Paralel Ampere Contoh Soal
laelitm.com

Hukum Ohm Pengertian Bunyi Teori Rumus Dan Contoh Soal
www.gurupendidikan.co.id

Besarnya Kuat Arus Listrik Yang Ditunjukkan Amperemeter Di Bawah Ini Adalah Brainly Co Id
brainly.co.id

Rumus Rumus Cara Menghitung Arus Tegangan Dan Daya Listrik Paling Mudah Wijdan Kelistrikan
www.kelistrikanku.com

Rumus Hukum Ohm Pengertian Bunyi Contohnya Lengkap
materi.co.id

Cara Membaca Amperemeter Dan Voltmeter
id.scribd.com

Pengukuran Kuat Arus Listrik
fisienal.blogspot.com

Amperemeter Dan Voltmeter Pengertian Desain Rumus Dan Contoh Soal Pelajaran Sekolah Online
www.pelajaran.co.id

Kene 66 Materi Rumus Arus Listrik Dan Pengukurannya Fisika Kelas 10
fauzikene.blogspot.com

Cara Menghitung Biaya Pemakaian Listrik Idschool
idschool.net

Amperemeter Dan Voltmeter Pengertian Desain Rumus Dan Contoh Soal Pelajaran Sekolah Online
www.pelajaran.co.id

Pembahasan Soal Rangkaian Listrik Gurumuda Net
gurumuda.net

Rumus Daya Listrik Arus Bolak Balik Ac 1 Phase Dan 3 Phase
akhdanazizan.com

Voltmeter Ammeter Fisika Kelas X Youtube
www.youtube.com

Mei 2013 Materi Listrik Dinamis
dhannydotcom.wordpress.com

Cara Menghitung Satuan Volt Ampere Dan Watt
www.plcdroid.com

close