Sangat Membantu

Rumus Cepat Rambat Bunyi Di Udara


Gelombang Bunyi Materi Fisika Lengkap
www.utakatikotak.com

Gelombang Bunyi Cepat Rambat Bunyi Di Udara Yang Dipengaruhi Oleh Tekanan Dinyatakan Dengan Persamaan Pada Gas Ideal M Pdf Download Gratis
docplayer.info

Penyelesaian Cepat Rambat Bunyi Udara Materiipa Com
materiipa.com

Rumus Cepat Rambat Gelombang Bunyi Di Udara Guru Ilmu Sosial
www.ilmusosial.id

Rumus Cepat Rambat Gelombang Dan Contoh Soal
rumus.co.id

Gelombang Bunyi Fisika Kelas 11 Quipper Blog
www.quipper.com

Atau jika panjang gelombang atau frekuensi periode yang diketahui rumus berikut dapat digunakan.

Rumus cepat rambat bunyi di udara. Cepat rambat bunyi berbeda beda dan bergantung dengan jenis material media rambatnya. By guru arrasyid posted on april 28 2020. Rumus cepat rambat bunyi di udara jika diketahui frekuensi.

Bunyi tersebut memiliki cepat rambat yang bergantung pada media yang dilaluinya. Besar cepat rambat bunyi juga dipengaruhi dengan temperatur khususnya jika media rambatnya yaitu gas. V s.

4 s 300 ms jadi laju rambat bunyi di udara saat itu adalah 300 ms. Rumus cepat rambat bunyi. Dan di dalam rumus cepat rambat gelombang bunyi terdapat rumus cepat rambat gelombang transversal rumus cepat rambat gelombang longitudinal rumus cepat rambat gelombang bunyi contoh soal cepat rambat gelombang rumus.

Pada dasarnya bunyi merambat melalui medium tertentu seperti zat padat cair atau gas. Rumuscoid pada kesempatan kali ini kita akan membahas tentang rumus cepat rambat gelombang bunyi dan pada pembahasan sebelumnya kita telah membahas soal rumus cosinus. Dalam rumus cepat rambat bunyi juga dikenal sebagai istilah resonansi yang tidak lain ialah kondisi ikut bergetarnya suatu benda yang di akibatkan oleh getaran benda lain didekatnya.

Contohnya cepat rambat bunyi di udara pada suhu normal sebesar 343 ms2 namun cepat rambat bunyi di udara pada suhu 0 derajat celcius hanya sebesar 331 ms2. Setelah mempelajari gelombang bunyi beberapa waktu lalu rg squad kini perlu mengetahui mengenai cepat rambat bunyi. Rambatan bunyi petasan di udara t 4 s s 12 km 1200 m.

Cepat rambat bunyi untuk pembahasan kali ini kami akan mengulas mengenai cepat rambat bunyi yang dimana dalam hal ini meliputi pengertian klasifikasi rumus faktor dan contoh agar lebih memahami dan dimengerti simak ulasan dibawah ini. Sedangkan untuk pemantulan bunyi metode pengukurannya memakai kedalaman kolam danau atau laut. Contoh soal cepat rambat bunyi rumus cepat rambat bunyi di udara jika diketahui frekuensi contoh soal cepat rambat bunyi pada zat padat contoh soal cepat rambat bunyi pada zat gas.

V st v cepat rambat bunyi ms s jarak sumber ke pengamat m t selang waktu s kata kunci pencaharian sering dicari di google. T 1200 m. Sedangkan untuk pemantulan bunyi cara pengukurannya menggunakan kedalaman kolam danau dan juga laut.

Dalam rumus cepat rambat bunyi juga dikenal istilah resonansi yang tak lain adalah kondisi ikut bergetarnya suatu benda akibat getaran benda lain didekatnya. Untuk selengkapnya simak penjelasan di bawah ya.

Materi Gelombang Bunyi Kelas 8 Idschool
idschool.net

Gelombang Bunyi
fisikakontekstual.com

Rumus Cepat Rambat Gelombang Bunyi Di Air Guru Ilmu Sosial
www.ilmusosial.id

6 Rumus Gelombang Dan Bunyi Smp Kelas 8 Semester 2 Kurikulum 2013 Materikimia
materikimia.com

Rumus Resonansi Pengertian Rumus Dan Contohnya
passinggrade.co.id

Gelombang Bunyi 8 Smp Smp5 Cepat Rambat Bunyi Di Udara Adalah 320 M S Tentukan Jarak Sumber
pdfslide.tips

Gelombang Bunyi Karakteristik Taraf Intensitas Sumber Contoh Soal
www.studiobelajar.com

Https Encrypted Tbn0 Gstatic Com Images Q Tbn 3aand9gcqtcpalvfl93mrrqldkxpgca Nrzvxpszuchmlic Sjrpipqj G Usqp Cau
encrypted-tbn0.gstatic.com

Cepat Rambat Gelombang Bunyi
mafia.mafiaol.com

Rumus Cepat Rambat Bunyi Guru Ilmu Sosial
www.ilmusosial.id

Sebuah Kolom Udara Memiliki Panjang 40 Cm Jika Garpu Tala Mempunyai Frekuensi 320 Hz Maka Brainly Co Id
brainly.co.id

Siswa Tekun Belajar Pipa Organa Terbuka Dan Tertutup
siswatekunbelajar.blogspot.com

Bunyi Pengertian Syarat Kecepatan Sifat Jenis Dan Rumus Cepat Rambat
pendidikan.co.id

2

Contoh Soal Dan Kunci Jawaban Cepat Rambat Bunyi
cepatrambatbunyi.blogspot.com

Https Encrypted Tbn0 Gstatic Com Images Q Tbn 3aand9gcqx W2huvjov1va1rvlzf5n3vyooegln Mldvb3oeu9jcmdehdz Usqp Cau
encrypted-tbn0.gstatic.com

Gelombang Bunyi
fisikakontekstual.com

Cepat Rambat Gelombang Bunyi Kelas Xii Fitrianidp
fitrianidp.wordpress.com

Chapter Ii2
www.slideshare.net

Greatedu
greatedu.co.id

Resonansi Bunyi Dengan Garpu Tala Pages 1 5 Flip Pdf Download Fliphtml5
fliphtml5.com

Rumus Kecepatan Suara Gelombang Suara Soal Dan Jawaban
www.pinterpandai.com

Gelombang Bunyi Karakteristik Sifat Contoh Frekuensi
www.gurupendidikan.co.id

Rumus Cepat Rambat Gelombang Dan Cara Menghitungya
saintif.com

Rumus Cepat Rambat Bunyi Di Udara Guru Ilmu Sosial
www.ilmusosial.id

Cepat Rambat Bunyi Pengertian Contoh Soal Rumus Persamaan
pengajar.co.id

Pengertian Bunyi Syarat Sifat Rumus Cepat Rambat Bunyi Dan Jenis Bunyi Lengkap Pelajaran Sekolah Online
www.pelajaran.co.id

Rumus Cepat Rambat Gelombang Transversal Dan Longitudinal
rumusrumus.com

1
encrypted-tbn0.gstatic.com

Materi Gelombang Bunyi Kelas 8 Idschool
idschool.net

Cepat Rambat Bunyi Di Udara Fabulous World
famelia28.wordpress.com

Pada Posisi Tersebut Terjadi Resonansi Yang Terkuat Jika Frekuensi Garputala 550 Hz Cepat Rambat Brainly Co Id
brainly.co.id

Gelombang Bunyi Pengertian Sifat Sifat Karakteristik Contoh Soal Ilmu Ipa Fisika
www.imronweb.com

Gelombang Bunyi Dan Rumusnya
rumushitung.com

Gelombang Bunyi Cepat Rambat Bunyi Di Udara Yang Dipengaruhi Oleh Tekanan Dinyatakan Dengan Persamaan Pada Gas Ideal M Pdf Download Gratis
docplayer.info

Cepat Rambat Bunyi Pada Mediumnya
blog.ruangguru.com

Diktat Fisika 12 Bunyi
www.slideshare.net

Rumus Bunyi Pengertian Sifat Karakteristik Contoh Soal
rumusbilangan.com

Gelombang Bunyi Sifat Karakteristik Rumus Dan Contoh Soal
rumus.co.id

Rumus Resonansi Pengertian Rumus Dan Contohnya
passinggrade.co.id

Rumus Cepat Rambat Guru Ilmu Sosial
www.ilmusosial.id

Rumus Cepat Rambat Bunyi Di Udara Jika Diketahui Frekuensi
rumusbilangan.com

Gelombang Bunyi Fisika Kelas 11 Quipper Blog
www.quipper.com

Rumus Cepat Rambat Gelombang Contoh Soal Pembahasan
www.nesabamedia.com

Gelombang Bunyi 8 Smp Smp5 Cepat Rambat Bunyi Di Udara Adalah 320 M S Tentukan Jarak Sumber Pdf Document
fdokumen.com

Cepat Rambat Bunyi Pengertian Rumus Faktor Dan Contoh
ayoksinau.teknosentrik.com

Bunyi Pengertian Syarat Kecepatan Sifat Dan Jenisnya
www.seputarpengetahuan.co.id

Pengertian Dan Rumus Cepat Rambat Bunyi Di Udara Serta Contoh Soal Cepat Rambat Gelombang Bunyi Berpendidikan Com
www.berpendidikan.com

Resonansi Bunyi Dengan Garpu Tala Pages 1 5 Flip Pdf Download Fliphtml5
fliphtml5.com

Laporan Praktikum Fisika Cepat Rambat Bunyi Dalam Dawai Dan Tabung
www.slideshare.net

Rumus Cepat Rambat Bunyi Pada Zat Padat Guru Ilmu Sosial
www.ilmusosial.id

Rumus Gelombang Pengertian Ciri Sifat Dan Contoh Soal
www.dosenpendidikan.co.id

Gelombang Bunyi Fisika Kelas 11 Quipper Blog
www.quipper.com

Laporan Fisdas Resonansi
www.slideshare.net

Pengertian Dan Rumus Cepat Rambat Bunyi Lengkap
www.utakatikotak.com

Mata Kuliah Kdpf Cepat Rambat Bunyi
mulyawulansari.blogspot.com

Greatedu
greatedu.co.id

Rumus Cepat Rambat Gelombang Bunyi Pada Zat Cair Guru Ilmu Sosial
www.ilmusosial.id

Cepat Rambat Bunyi Di Udara Ala Newton Edufisika
www.edufisika.com

Rumus Cepat Rambat Gelombang Dan Cara Menghitungya
saintif.com

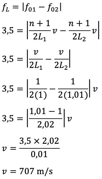
Dua Pipa Organa Terbuka Masing Masing Dengan Panjang 1 00 M Dan 1 01 M Menghasilkan 3 5 Mas Dayat
www.masdayat.net

1 Cepat Rambat Bunyi Gelombang
fanandfeelings.wordpress.com

Cepat Rambat Gelombang Bunyi Transversal Dawai Zat Padat Cair Dan Gas Rumus Fisika Contoh Soal Jawaban
www.nafiun.com

Gelombang Bunyi Dan Rumusnya
rumushitung.com

Smp Ipa Gelombang Bunyi Viii Smp
id.scribd.com

Cepat Rambat Bunyi Klasifikasi Rumus Faktor Dan Contoh
www.dosenpendidikan.co.id

Materi Gelombang Bunyi Kelas 8 Idschool
idschool.net

Fisika Latihan Soal Gelombang Bunyi Pahamify Belajar Jadi Seru
pahamify.com

Gelombang Bunyi
fisikakontekstual.com

Diktat Fisika 12 Bunyi
www.slideshare.net

Bunyi Sebuah Alat Gamelan Menyebabkan Udara Dalam Bumbung Bambu Yang Panjangnya 18 Cm Berosonansi Brainly Co Id
brainly.co.id

Doc Winda Winda Kharisma Academia Edu
www.academia.edu

Siswa Tekun Belajar Cepat Rambat Gelombang Bunyi
siswatekunbelajar.blogspot.com

Cepat Rambat Bunyi Pada Zat Gas
id.scribd.com

Resonansi
id.scribd.com

Sebuah Garputala Dengan Frekuensi 660 Hz Digetarkan Di Dekat Suatu Tabung Gelas Percobaan Resonansi Mas Dayat
www.masdayat.net

Cepat Rambat Bunyi Di Udara Docx Document
fdokumen.com

Cepat Rambat Bunyi Pada Mediumnya
blog.ruangguru.com

Rumus Cepat Rambat Bunyi Soal Ipa Ips
www.soalipaips.com

Ulangan Harian
studylibid.com

Siswa Tekun Belajar Resonansi Dan Pelayangan Bunyi Fisika
siswatekunbelajar.blogspot.com

Berkelas Ppt Download
slideplayer.info

Cepat Rambat Gelombang Bunyi Pdf Document
fdokumen.com

Cepat Rambat Bunyi Pada Zat Padat
id.scribd.com

Materi Gelombang Bunyi Kelas 8 Idschool
idschool.net

C Hukum Mersenne Menurut
www.yumpu.com

Cepat Rambat Bunyi Dan Perbedaan Kecepatan Perambatan Pada Medium
www.amongguru.com

Ipa Kelas 8f Bunyi
nurulspt.blogspot.com

Https Encrypted Tbn0 Gstatic Com Images Q Tbn 3aand9gcsa22munsvreg9bfbyjt9nmygdlwrd Hccoiyf2m1u98nyr7bxb Usqp Cau
encrypted-tbn0.gstatic.com

Gelombang Bunyi
fisikakontekstual.com

Menghitung Cepat Rambat Gelombang Bunyi Di Udara
id.scribd.com

Contoh Soal Pipa Organa Dan Penyelesaiannya Soalfismat Com
soalfismat.com

Kunci Jawaban Sebuah Kolom Udara Memiliki Panjang 40 Cm Jika Garpu Tala Mempunyai Frekuensi 320 Hz Rofa Education Centre
rofaeducationcentre.blogspot.com

Rumus Cepat Rambat Bunyi Dalam Zat Padat Cair Dan Gas Guru Ilmu Sosial
www.ilmusosial.id

Fisika Latihan Soal Gelombang Bunyi Pahamify Belajar Jadi Seru
pahamify.com

Kelas08 Ctl Ipa Rinie Nur Rahardjo Yuni Muhammad By S Van Selagan Issuu
issuu.com

Cepat Rambat Bunyi Bangku Sekolah
bangkusekolah.com

Rumus Cepat Rambat Gelombang Dan Cara Menghitungya
saintif.com

close