Sangat Membantu

Rumus Gaya Coulomb Adalah


Hukum Colomb Bunyi Rumus Aplikasi Pengertian Dan Contoh Soal
blog.edukasystem.com

Contoh Soal Hukum Coulomb Dan Pembahasannya Contoh Soal Terbaru
www.shareitnow.me

Rangkuman 32 Contoh Soal Pembahasan Listrik Statis
tanya-tanya.com

Hukum Coloumb Rumus
id.scribd.com

Soal Dan Pembahasan Gaya Coulomb Fokus Fisika
fokusfisika.com

Listrik Statis Kelas Ix Smp Smp 5 Semarangsmp5 Dari Rumus Gaya Coulomb Didapatkan Soal No 2 Dua Buah Muatan Listrik Memiliki Besar Yang Sama Yaitu 6 µc Jika Gaya Coulomb Yang Pdf Document
fdokumen.com

K adalah konstanta coulomb k 898810 9 nm 2 c 2 q 1 adalah muatan pertama dalam coulomb c.

Rumus gaya coulomb adalah. Karena letak ketiga muatan tidak dalam satu garis lurus maka besarnya nilai f dihitung dengan. Rumuscoid setelah sebelumnya kita membahas tentang rumus volume bangun ruang kali ini kita akan membahas materi tentang rumus gaya kita akan jabarkan secara detail dan lengkap dari pengertian gaya sifat sifat macam macam berdasarkan jenis rumus dan satuan dan contoh soal dari gaya. Ikon yang digunakan untuk gaya adalah f huruf kapital.

Meneliti hubungan gaya listrik dengan dua muatan dan jarak antar keduanya dengan menggunakan neraca puntirbunyi hukum coulomb rumus dan contoh soal akan kita bahas disini. Dengan a adalah sudut yang diapit antara f 1 dan f 2. Satuan internasional si yang digunakan untuk kekerasan adalah newton n.

F 2 gaya coulomb pada q 3 akibat yang ditimbulkan oleh q 2 f gaya coulomb pada q 3 akibat muatan q 1 dan q 2. Muatan iv dan i dengan jarak 3 m. Baca juga gaya normal.

Jumlah gaya ke arah kanan adalah 2k jumlah gaya ke arah kiri adalah 2k 2k 4k. Dengan menggunakan rumus hukum coulomb sobat idschool dapat menentukan cara mencari besar gaya coulomb besar muatan benda atau jarak kedua muatan pada hukum coulomb. F adalah gaya pada q 1 dan q 2 yang diukur dalam newton n.

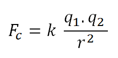
F c gaya tarik menarik tolak menolak newtonn k konstanta pembanding 9 x 10 9 nm 2 c 2. Secara khusus anda harus menghitung kekuatan dan arah gaya listrik. Dari pernyataan seorang ahli fisika yang bernama charles augustin de coulomb dan dikenal dengan istilah hukum coulomb dapat dituliskan secara sitematis seperti di bawah ini.

Berikut ilustrasi arah arah gaya coulomb pada muatan keempat. Arah gaya adalah ke kiri. Hukum ini menjelaskan tentang hubungan antara gaya yang muncul antara dua titik.

Gaya coulomb pada muatan q 3 adalah f f 1 f 2. Q 2 adalah muatan kedua dalam coulomb c. Posted in fisika tagged contoh soal gaya coulomb smp hukum coulomb adalah hukum coulomb dan medan listrik hukum coulomb fisika materi hukum coulomb persamaan hukum coulomb.

R adalah jarak antara 2 pengisian dalam meter m. Hukum charles augustin de coulomb adalah rumus yang memungkinkan anda untuk menghitung gaya listrik yang dihasilkan di antara dua buah muatan listrik. Fc gaya tarik menarik atau tolak menolak pada satuan newton n.

Hukum coulomb sesuai dengan namanya hukum coulomb digagas oleh charles augustin de coulomb warga kebangsaan perancis di tahun 1785. Hukum coulomb adalah teori yang membahas gaya tarik menarik benda antara dua benda yang bermuatan. Rumus gaya coulomb dimana f gaya coulomb n q 1 besar muatan pertama c q 2 besar muatan kedua c.

Atau juga dapat dirumuskan seperti ini.

Rangkuman Rumus Kelas 9
www.slideshare.net

Listrik Statis Pengertian Rumus Materi Dan Contoh Soal Listrik Statis
ilmubelajar.com

Listrik Statis
fisikakontekstual.com

Konsep Hukum Coulomb Dan Kumpulan Contoh Soal Serta Penjelasannya Gammafis Blog
www.gammafisblog.com

Gaya Coulomb Fokus Fisika
fokusfisika.com

Listrik Statis Proses Medan Hukum Coulomb Gaus Contoh
www.dosenpendidikan.co.id

Rumus Listrik Statis Sma Xii Ipa
fisikastudycenter.com

Fisika Kelas Ix Listrik Statis Menghitung Gaya Coulomb Youtube
www.youtube.com

Rumus Hukum Coulomb Dan Medan Listrik Idschool
idschool.net

Pembuktian Persamaan Medan Listrik Dan Gaya Coulomb I Listrik Statis Youtube
m.youtube.com

Rumus Hukum Coulomb Dan Medan Listrik Idschool
idschool.net

Pengertian Dan Bunyi Hukum Coulomb Teknik Elektronika
teknikelektronika.com

Muatan Listrik Rumus Dan Contoh Soal
rumushitung.com

Hukum Coulomb Dan Medan Listrik Gigih Mandegani
blog.ub.ac.id

Gaya Coloumb Bunyi Contoh Soal Dan Rumus Hukum Coulomb Lengkap Tutorialbahasainggris Co Id
tutorialbahasainggris.co.id

Rumus Gaya Coulomb Dan Persamaan Hukum Coulomb Asep Respati
aseprespati.blogspot.com

Bunyi Contoh Soal Rumus Hukum Coulomb Yuksinau Id
www.yuksinau.id

Fisika Sma Xii Ipa Elektrostatis Gaya Coulomb Asafn2
adiwarsito.wordpress.com

Welcome To My Blog Oktober 2018
wawankristiawan31.blogspot.com

Hukum Coulomb Wikipedia Bahasa Indonesia Ensiklopedia Bebas
id.wikipedia.org

Penurunan Rumus Hukum Coulomb Dalam Tinjaun Lagrangian Youtube
www.youtube.com

Pertemuan 11 Muatan Gaya Elektrostatis Ppt Download
slideplayer.info

Gaya Coulomb Sebagai Vektor Ayo Sekolah Fisika
www.ayo-sekolahfisika.com

Pras Academy Smp Hukum Coulomb
smp.prasacademy.com

Hukum Coulomb Rumus Bunyi Contoh Soal Pembahasan
www.nesabamedia.com

Gaya Coulomb Belajar Fisika Asyik Dan Menyenangkan
bimbelfisikapakarnel.wordpress.com

Materi Hukum Coulomb Pengertian Rumus Contoh Soal
www.cryptowi.com

Bunyi Hukum Coulomb Beserta Contohnya
passinggrade.co.id

Cara Menentukan Besarnya Gaya Coulomb Dengan Hukum Coulomb Myrightspot Com
www.myrightspot.com

Gaya Coulomb Bunyi Hukum Rumus Contoh Soal
rumuspintar.com

Contoh Soal Gaya Listrik Dan Penyelesaiannya Soalfismat Com
soalfismat.com

Listrik Statis Contoh Soal Dan Fenomena Listrik Statis Materi Fisika Kelas 9 Semester 1 Gammafis Blog
www.gammafisblog.com

Pendidikan Fisika Kita Hukum Coulomb
fisikitaenal.blogspot.com

Https Encrypted Tbn0 Gstatic Com Images Q Tbn 3aand9gcqfcf9ctm17rerytxand 6nhfle3slphwzoru8vys0xnyqggzvz Usqp Cau
encrypted-tbn0.gstatic.com

Listrik Statis Fisika
www.slideshare.net

Listrik Statis Hukum Coulomb Medan Listrik Ppt Download
slideplayer.info

Fisika Kelas 12 Pengertian Hukum Coulomb
blog.ruangguru.com

Rumus Hukum Coulomb Dan Medan Listrik Idschool
idschool.net

Konsep Dan Contoh Soal Hukum Coulomb Gaya Coulomb Fisika Sma Kelas 12 Lakonfisika Net
www.lakonfisika.net

Materi Hukum Coulomb Pengertian Rumus Contoh Soal
www.cryptowi.com

Rumus Gaya Llmu Fisika Lengkap Dan Mudah Untuk Dipelajari
informazone.com

Bunyi Hukum Coulomb Rumus Contoh Soal Dan Penyelesaiannya
www.amongguru.com

Http Smpn6tmg Sch Id Temp Smp Ipa Listrik Statis Kelas Ix Smp Pdf

Listrik Statik Marina Rinawati Ppt Download
slideplayer.info

Hukum Coulomb Gaya Coulomb Persamaan Hukum Coulomb
fisikazone.com

Rksaogiqzmubam

Kumpulan Contoh Soal Dan Pembahasan Hukum Coulomb Serta Rumusnya Lengkap Masharist Com
www.masharist.com

Pengertian Muatan Listrik Beserta Rumus Sifat Sifat Jenis Jenis Dan Contoh Soal Muatan Listrik Pustakapengetahuan Com
www.pustakapengetahuan.com

Contoh Soal Hukum Coulomb Gurumuda Net
gurumuda.net

Tidak Hanya Planet Partikel Atom Pun Punya Gaya Serupa Gravitasi
www.quipper.com

Rumus Persamaan Hukum Coulomb Ardra Biz
ardra.biz

Rumus Dan Contoh Soal Gaya Coulomb Beserta Pembahasan Anto Tunggal
www.antotunggal.com

Listrik Statis Rangkuman Rumus Contoh Soal Umum
rumus.co.id

Rumus Hukum Coulomb Dan Contoh Soalnya Untuk Kelas 9 Smp Fisika Dan Matematika
fismath.com

Fisika Kelas 12 Pengertian Hukum Coulomb
blog.ruangguru.com

Coulomb Hukum Gaya Elektrostatik Konstanta Rumus Soal Jawaban
www.pinterpandai.com

Rumus Dan Rujukan Soal Gaya Coulomb Beserta Pembahasan Cara Ampuh Memahami Matematika Dengan Mudah
lincahmatematika.blogspot.com

Tuliskan Bunyi Dan Rumus Hukum Coulumb Brainly Co Id
brainly.co.id

Pras Academy Smp Rumus Hukum Coulomb
smp.prasacademy.com

Menentukan Medan Listrik Dan Hukum Coulomb
www.utakatikotak.com

Satuan Gaya Coulomb Ardra Biz
ardra.biz

Hukum Coulomb Pengertian Gaya Elektrostatik Energi Medan Potensial Listrik Contoh Soal Rumus Perhitungan
ardra.biz

Soal Kelas Ix Ikadwiningrum
ikadwiningrum.wordpress.com

Listrik Statis Pengertian Proses Rumus Contohnya Lengkap
materi.co.id

Muatan Listrik Pengertian Jenis Sifat Persamaan Rumus
www.seputarpengetahuan.co.id

Contoh Soal Hukum Coulomb Disertai Pembahasan Redaksiweb
www.redaksiweb.com

Tidak Hanya Planet Partikel Atom Pun Punya Gaya Serupa Gravitasi
www.quipper.com

Fisika Kelas 9 Memahami Rumus Dan Konsep Hukum Coulomb
blog.ruangguru.com

Medan Elektrostatis Yogiekharismaputra
yogiekharismaputra.wordpress.com

Rumus Muatan Listrik Dan Contoh Soal Paling Lengkap
rumusrumus.com

Penurunan Rumus Hukum Coulomb Dalam Tinjaun Lagrangian Youtube
www.youtube.com

Hukum Coulomb Dan Medan Listrik Topanfirdaus
blog.ub.ac.id

Listrik Statis Pengertian Rumus Contoh Yuksinau Id
www.yuksinau.id

Pembahasan Soal Gaya Listrik Gurumuda Net
gurumuda.net

Apa Definisi Pengertian Hukum Coulomb
mafia.mafiaol.com

Menentukan Medan Listrik Dan Hukum Coulomb
www.utakatikotak.com

Bunyi Dan Rumus Hukum Coulomb Dalam Fisika Pelita Ilmu
pelitahijau.blogspot.com

Pengertian Hukum Coulomb
www.temukanpengertian.com

Pembahasan Soal Un Fisika Tentang Gaya Coulomb
www.edutafsi.com

Rumus Hukum Coulomb Dan Medan Listrik Idschool
idschool.net

Pengertian Rumus Dan Contoh Soal Hukum Coulomb
bfl-definisi.blogspot.com

Perhatikan Pernyataan Berikut 1 Gaya Elektrostatika Tidak Dipengaruhi Oleh Jarak Tetapi Brainly Co Id
brainly.co.id

Fisika Kelas 9 Memahami Rumus Dan Konsep Hukum Coulomb
blog.ruangguru.com

Contoh Soal Gaya Coulomb Smp Rumus Co Id
rumus.co.id

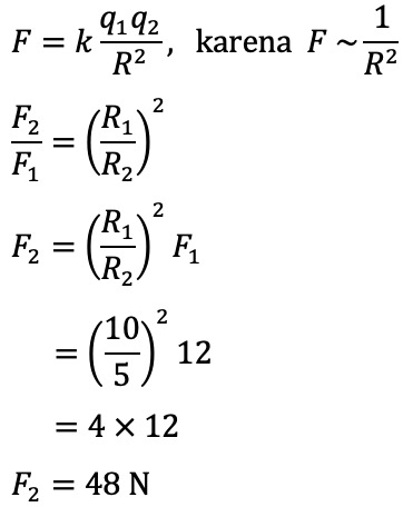
Gaya Listrik Yang Dialami Q Dari Titik A Adalah 12 N Jika Muatan Q Digeser Mendekati Titik A Sejauh 5 Mas Dayat
www.masdayat.net

Bunyi Hukum Coulomb Contoh Soal Rumusnya Lengkap Cute766
cute766.info

Muatan Listrik Rumus Dan Contoh Soal
rumushitung.com

Rangkuman Rumus Fisika Listrik Statis Dan Listrik Dinamis
studylibid.com

Listrik Statis Gaya Coulomb Pada Muatan Segaris
fisikastudycenter.com

Fisika Dasar 2 Pertemuan 1 Pendahuluan
fayllar.org

Https Encrypted Tbn0 Gstatic Com Images Q Tbn 3aand9gcsihut2ygi Iy4b0buwid3nsrrqwsfxz Y9urb Dfzl302q Gup Usqp Cau
encrypted-tbn0.gstatic.com

Listrik Statis Muatan Listrik Hukum Coulomb Bunyi Rumus Contoh Soal Percobaan Praktikum Jawaban Fisika Gaya Tarik Dan Tolak
www.nafiun.com

Hukum Coulomb Pengertian Bunyi Rumus Dan Contoh Soal
rumus.co.id

Bunyi Hukum Coulomb Contoh Soal Rumusnya Lengkap
www.sayanda.com

Hukum Coulomb
www.scribd.com

Edukasi Sma Listrik Statis Keluarga Ilma95 Erman Ema Malini Fadhil Ilma Ihsan Ilma Salsabila Saumi Ilma
www.ilma95.net

close