Sangat Membantu

Rumus Kalor Jenis Logam


Kalor Jenis Dan Kapasitas Kalor Asas Black Pengertian Dan Contohnya
ardra.biz

Kalor Jenis Gurumuda Net
gurumuda.net

K A L O R Sabar Coyy Ppt Download
slideplayer.info

Un Smp 2017 Ipa Pembahasan No 9 Menghitung Kalor Jenis Youtube
www.youtube.com

Doc Kalor Aconk Andi Academia Edu
www.academia.edu

Pengertian Kalor Kaparitas Kalor Kalor Jenis Kalor Laten Dan Contoh Soal Pelajaran Sekolah Online
www.pelajaran.co.id

Rumus menghitung kapasitas energi panas atau kalor.

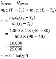
Rumus kalor jenis logam. Pengukuran kalor jenis suatu benda misalnya logam dilakukan dengan memasukkan logam panas ke dalam kalorimeter berisi air dingin. Perubahan suhu pada bahan bahan yang memiliki kalor jenis rendah lebih besar daripada bahan lainnya jika hal hal yang lainnya sama besar. Contoh soal tentang menghitung kalor.

Saat mencari kalor jenis coretlah satuan satuan yang bisa dicoret. Menurut kamus besar bahasa indonesia kbbi kalor adalah tenaga panas yang bisa diterima dan diteruskan. Pengertian dan rumus kalor kalor jenis dan kapasitas kalor setiap benda pasti menyerap panas baik benda padat berupa logam maupun zat cair.

Misalkan dua buah zat yang memiliki temperatur berbeda dicampurkan pada. Ketika benda bercampur dengan air suatu saat akan didapatkan suhu akhir campuran. Pelajari rumus untuk mencari kalor jenis makanan.

Rumuscoid setelah sebelumnya kita membahas tentang rumus tekanan hidrostatis kali ini kita akan membahas materi tentang rumus kalor jenis kita akan jabarkan secara detail mulai dari pengertian rumus satuan dan contoh soal kalor jenis beserta pembahasannya. Dengan menggunakan asas black kita dapat menentukan kalor jenis suatu zat pada kalorimeter dengan menggunakan persamaan berikut. Sejumlah kalor yang diberikan suatu benda tidak semuanya mengalami kenaikan suhu artinya masih bisa mengalami penurunan suhu.

Kalor jenis untuk banyak benda dapat dicari secara online untuk memeriksa pekerjaanmu. Rumus menghitung energi panas uap. Oleh karena itu kalor dipengaruhi oleh beberapa faktor yaitu massa selisih suhu dan kalor.

Panas disebut juga sebagai kalor atau suhu. Kalor yang diberikan ke suatu zat untuk peleburan atau penguapan disebut kalor laten. Untuk lebih lengkapnya simak penjelasan dibawah ini.

Rumuscoid kali ini kita akan membahas materi kimia tentang perpindahan panas atau biasa disebut juga perpindahan kalor kita akan jabarkan secara detail dan lengkap dari pengertian perpindahan pengertian perpindahan panas macam macam sifat sifat rumus dan contoh soal perpindahan kalor beserta pembahasannya. Lihat gambar di bawah ini dan hitung jumlah panas yang dibutuhkan untuk mengubah 500 gram es pada titik a dalam c jika jenis esnya adalah 2100 j kg oc dan panas dari lelehan es adalah 336000 j kg. Pemuaian benda dipengaruhi pada ukuran benda mula mula jenis benda dan perubahan suhu.

Suhu Dan Kalori
id.scribd.com

Kalor Pengertian Rumus Kapasitas Jenis Dan Contoh Soal
www.gurupendidikan.co.id

Logam Pada Tabel Berikut Yang Mengalami Kenaikan Suhu Terbesar Adalah Dibantu Nomor 12nya Ya Brainly Co Id
brainly.co.id

Kalor Ukmf Fosi Fp Unila
staff.unila.ac.id

Http Patragading19 Blogspot Com 2016 08 Kalor Jenis Logam Html

Cara Menghitung Kalor Jenis 6 Langkah Dengan Gambar Wikihow
id.wikihow.com

Suhu Dan Kalor Perpindahan Panas Asas Black Skala Termometer
www.studiobelajar.com

A Latihan Soal Suhu Dan Kalor
www.slideshare.net

Pembahasan Soal Perpindahan Kalor Gurumuda Net
gurumuda.net

A Latihan Soal Suhu Dan Kalor
www.slideshare.net

Laporan Hasil Penelitian Kalor Jenis
www.slideshare.net

Percobaan Asas Black Kalorimeter
www.slideshare.net

Kalor Aty Physics
sites.google.com

Anak Ipa Kalor Pengertian Teori Rumus Satuan Perpindahan
anakkipa.blogspot.com

Kapasitas Kalor Dan Kalor Jenis Logam
dokumen.tips

Contoh Soal Dan Pembahasan Tentang Kalor Dan Pemuaian
id.scribd.com

Arman Menemukan Sepotong Logam Setelah Diukur Massanya 250gram Dan Suhunya 30 C Ketika Dipanaskan Brainly Co Id
brainly.co.id

Urutan Logam Yang Menyerap Kalor Dari Besar Ke Kecil Adalah Brainly Co Id
brainly.co.id

1 Seorang Siswa Ingin Menentukan Jenis Logam Besaran Apa Yg Harus Dihitung Agar Dpt Mengetahui Brainly Co Id
brainly.co.id

Pengertian Kalor Jenis Rumus Dan Contoh Soal Kalor Jenis Beserta Pembahasan Lengkap Pelajaran Sekolah Online
www.pelajaran.co.id

Kalor Jenis Suatu Zat Logam Logam Log Cam Air Air Cam Air
id.scribd.com

Rumus Mencari Kalor Jenis Logam Danrumus Mencari Suhu Sesudah Brainly Co Id
brainly.co.id

Satop Acara 2 Penentuan Panas Spesifik Bahan
www.slideshare.net

Pengertian Kalor Beserta Rumus Dan Contoh Soal Pustakapengetahuan Com
www.pustakapengetahuan.com

Pengertian Rumus Kapasitas Perpindahan Kalor Dan Kalor Jenis
www.softilmu.com

Kalor Jenis Pengertian Rumus Tabel Persamaan Dan Contoh Soal
kabarkan.com

Suhu Dan Kalor
fisikastudycenter.com

Kalor Jenis Pengertian Satuan Rumus Contoh Soal Dan Pembahasan Fisikabc
www.fisikabc.com

A Latihan Soal Suhu Dan Kalor
www.slideshare.net

Percobaan Cara Menentukan Kalor Jenis Dengan Kalorimeter Rumus Contoh Soal Dan Pembahasan Fisikabc
www.fisikabc.com

Kalor Pengertian Rumus Kapasitas Jenis Dan Contoh Soal
www.gurupendidikan.co.id

Logam Bermassa 2 8 Kg Dipanaskan Hingga Mencapai Suhu 160 C Logam Tersebut Dimasukkan Ke Dalam Air Brainly Co Id
brainly.co.id

Ilmu Pengetahuan 2 Contoh Soal Fisika Tentang Kalor
ilmupopuler2.blogspot.com

Un Smp 2017 Ipa Pembahasan No 9 Menghitung Kalor Jenis Youtube
www.youtube.com

Materi Un 2014
www.slideshare.net

Laporan Lengkap Praktikum Menghitung Jumlah Kalor Dalam Kalorimeter
www.slideshare.net

Grafik Berikut Menunjukan Hubungan Antara Jumlah Kalor Yang Diperlukan Dengan Kenaikan Suhu Dari Brainly Co Id
brainly.co.id

Sebuah Logam Bermassa 0 2 Kg Dipanaskan Sampai 2000c Kemudian Logam Itu Dimasukkan Pada 450 G Mas Dayat
www.masdayat.net

Materi Kalor Jenis Rofa Education Centre
rofaeducationcentre.blogspot.com

Http Repository Wima Ac Id 4067 8 Lampiran Pdf

Kalorimeter Pengertian Fungsi Prinsip Kerja Umum
rumus.co.id

Wb Susanto Smansa Suhu Dan Kalor
wbsusanto.blogspot.com

Ilmu Pengetahuan 2 Contoh Soal Fisika Tentang Kalor
ilmupopuler2.blogspot.com

Prolog Materi Kalor Zenius Education
www.zenius.net

Kalor Dan Hukum Pertama Termodinamika Phyiscs By Rangga Agung S Team
physicsranggaagung.wordpress.com

Perpindahan Kalor Rumus Jenis Kapasitas Dan Contoh Soal
www.dosenpendidikan.co.id

Materi Dan Pembahasan Soal Kalor Asep Respati
aseprespati.blogspot.com

Benda Yang Memiliki Massa Jenis Terbesar Adalah B Kalor Jenis Logam B Lebih Kecil Dari Kalor Jenis Pdf Document
vdocuments.mx

Rumus Kalor Jenis Pengertian Satuan Tabel Dan Contoh Soal
rumus.co.id

Suhu Dan Kalor
id.scribd.com

Pengertian Rumus Kalor Lengkap Dengan Contoh Soalnya
rumusrumus.com

Materi Lengkap Suhu Dan Kalor Fisika Sma Serta Contohnya Sains Seru
www.sainsseru.com

Kalor Pengertian Rumus Kapasitas Jenis Dan Contoh Soal
www.gurupendidikan.co.id

Contoh Soal Menghitung Kalor Jenis Zat
contohsoal.netlify.app

Contoh Soal Dan Pembahasan Suhu Dan Kalor Alif Pustaka
www.alifpustaka.com

Rumus Kalor Suhu Jenis Contoh Dan Penjelasannya
passinggrade.co.id

Kapasitas Kalor Dan Kalor Jenis Logam
id.scribd.com

Laporan Hasil Penelitian Kalor Jenis
www.slideshare.net

Contoh Soal Dan Pembahasan Tentang Kalor Dan Pemuaian
pdfslide.tips

Latihan Soal Ipa Kalor Kelas 7 Smp Kurikulum 2013 K13
dvcodes.com

Tolong Dijawab Ya Dan Pakailah Cara Nya Aja Okk Brainly Co Id
brainly.co.id

Kalor
pdfslide.tips

Adityosabarno93 Materi Un
adityosabrno93.blogspot.com

Contoh Soal Dan Pembahasan Tentang Kalor Dan Pemuaian
id.scribd.com

Doc Laporan Praktikum Cara Menentukan Kalor Jenis Benda Padat Percobaan Iii Kalor Jenis Benda Padat Muinatid Muinatid Academia Edu
www.academia.edu

Pengertian Kalor Jenis Rumus Kapasitas Dan Perpindahannya
www.seputarpengetahuan.co.id

Contoh Soal Asas Black Menentukan Kalor Jenis Logam
www.edutafsi.com

Latihan Soal Ipa Kalor Kelas 7 Smp Kurikulum 2013 K13
dvcodes.com

Pengertian Kalor Jenis Rumus Kapasitas Dan Perpindahannya
www.seputarpengetahuan.co.id

Soal Dan Pembahasan
id.scribd.com

Kapasitas Kalor Dan Kalor Jenis Logam
dokumen.tips

Contoh Soal Suhu Dan Kalor Smp 2 Idschool
idschool.net

Pengertian Kalor Jenis Dan Contoh Soal Serta Pembahasannya
mafia.mafiaol.com

Pengertian Kalor Dan Rumusnya
blog.ruangguru.com

Kalor Pengertian Rumus Contoh Soal
rumuspintar.com

Satu Kilogram Batang Timah Hitam Kalor Jenis 1 300 J Kg C Bersuhu 80 C Dicelupkan Kedalam 2 Kg Brainly Co Id
brainly.co.id

Suhu Dan Kalor
fisikastudycenter.com

Urutan Logam Yang Menyerap Kalor Dari Besar Ke Kecil Adalah Tolong Bantu Cara Penyelesaian Nya Brainly Co Id
brainly.co.id

Un Smp 2017 Ipa Pembahasan No 9 Menghitung Kalor Jenis Youtube
www.youtube.com

Kalorimeter Pengertian Fungsi Prinsip Kerja Umum
rumus.co.id

Kapasitas Kalor Dan Kalor Jenis Logam
id.scribd.com

Soal Dan Pembahasan Tentang Suhu Dan Kalor Guru Ilmu Sosial
www.ilmusosial.id

Kalor Dan Kalor Jenis Prediksi Unbk 2018 Fisikasmp No 5 Youtube
www.youtube.com

Pengertian Kalor Jenis Dan Contoh Soal Serta Pembahasannya
mafia.mafiaol.com

Laporan Praktikum Kalorimeter Hajar Fisika
www.hajarfisika.com

Berdasarkan Grafik Jenis Logam Yg Dimaksud Adalah Brainly Co Id
brainly.co.id

Pada Suatu Percobaan Membuktikan Asas Black 500 Gram Logam Yang Suhunya 90 C Dimasukkan Ke Mas Dayat
www.masdayat.net

Cara Menghitung Kalor Jenis 6 Langkah Dengan Gambar Wikihow
id.wikihow.com

Suhu Dan Kalor
id.scribd.com

Cerdik Ala Tentor Sma Flip Book Pages 201 250 Pubhtml5
pubhtml5.com

Kalor Rumus Grafik Perubahan Wujud Zat Contoh Soal Idschool
idschool.net

Pengertian Suhu Dan Kalor Beserta Rumus Dan Daftar Kalor Jenis Berpendidikan Com
www.berpendidikan.com

Suhu Dan Kalor
fisikakontekstual.com

Kalor Docx Kalor 1 Sepotong Es Bermassa 5kg Suhunya Mula Mula 5oc Es Tersebut Suhunya Dinaikkan Sehingga Es Yang Melebur Adalah U00bd Bagian Jika Kalor Course Hero
www.coursehero.com

close