Sangat Membantu

Rumus Kelvin


Rumus Cepat Konversi Suhu Guru Ilmu Sosial
www.ilmusosial.id

Besaran Satuan Dan Dimensi
penacapella.wixsite.com

Rumus Konversi Suhu Celcius Fahrenheit Reamur Dan Kelvin Derajat Temperatur Suhu
segalaserbaserbi.blogspot.com

Gambar 1 Perbandingan Skala Celcius Reamur Fahrenheit Dan Kelvin Download Scientific Diagram
www.researchgate.net

Kadeek On Twitter Rumus Kimia Kelas 10 12
twitter.com

Pengertian Suhu Jenis Faktor Perubahan Dan Alat Ukur
www.gurupendidikan.co.id

Although initially defined by the freezing point of water and later the melting point of ice the celsius scale is now officially a derived scale defined in relation to the kelvin temperature scale.

Rumus kelvin. Skala kelvin berbeda dengan dua skala yang lain didasarkan pada suhu terendah yang mungkin yaitu 273 0 c. Kelvin k to celsius 0c temperature conversion. Rumus mengenai skala suhu memang sangat beragam.

Kelvin k 0c 27315 fahrenheit 0f 0c 18 32 rankine 0ra 18 0c 49167 delisle 0de 100 0c 15 newton 0n 0c 33100 reaumur 0re 0c 08 romer 0ro 0c 2140 75. Kelvin ke celsius k ke oc kalkulator konversi untuk suhu konversi dengan tambahan tabel dan rumus. K 0f 45967 18 kelvin.

Rumusnya adalah 0f 18 x k 273 32. T 0c 300k 27315 2685 0c. Biasanya skala kelvin disebut sebagai skala mutlak absolut atau skala termodinamik.

Rumus konversi suhu kelvin. Mengingat skala suhu tak hanya satu atau dua saja melainkan ada empat. Kelvin to celsius converter kelvin to celsius conversion table.

Reamur ke kelvin ore ke k kalkulator konversi untuk suhu konversi dengan tambahan tabel dan rumus. Satuan kelvin inilah yang digunakan sebagai satuan si untuk suhu. Sebut saja skala suhu celcius c reamur r fahrenheit f dan kelvin k.

Fahrenheit 0f k 18 45967 fahrenheit. Kelvin to celsius conversion formula. Rumus konversi suhu setelah pertemuan sebelumnya telah membahas materi fisika mengenai rumus gelombang yang telah dibahas secara lebih detail maka penulis dipertemuan ini akan bergantian membahan mengenai konversi suhu.

Kelvin to celsius formula. The temperature t in degrees celsius 0c is equal to the temperature t in kelvin k minus 27315. Konversi dari ke rumus kelvin.

Celsius 0c k 27315 celsius. T 0c t k 27315. K 0c 27315 rumus konversi lainnya conversion calculator for units of temperature.

Zero on the celsius scale 00c is now defined as the equivalent to 27315k with a temperature difference of 1 deg c equivalent to a difference of 1k meaning the unit size in each.

Materi Suhu Pengertian Skala Alat Ukur Rumusnya Lengkap
seputarilmu.com

Rumus Reamur Ke Kelvin Brainly Co Id
brainly.co.id

All Categories The Centauri Project
thecentauriproject.weebly.com

Rumus Konversi
id.scribd.com

Termodinamika Skala Suhu
termodinamikahits.blogspot.com

Konversi Suhu Online Dan Rumus Konversi Satuan Suhu Advernesia
www.advernesia.com

Rumus Perbandingan Skala Termometer Celcius Reamur Fahrenheit Kelvin Contoh Soal Dan Pembahasan Fisikabc
www.fisikabc.com

Https Encrypted Tbn0 Gstatic Com Images Q Tbn 3aand9gcqn1197ayscc5ka1ulohe4buwcbpibnll Emau9 Oj35fnpoau Usqp Cau
encrypted-tbn0.gstatic.com

Rumus C Ke R Cara Konversi Suhu Celcius Ke Reamur
rumusrumus.com

Rumus Materi Fisika For Android Apk Download
apkpure.com

Hukum Termodinamika 1 Dan 2 Penjelasan Rumus Dan Contoh Pembahasan Soal Lengkap Pelajaran Sekolah Online
www.pelajaran.co.id

Apa Rumus 1 Kelvin Ke Reamur 2 Reamur Ke Kelvin 3 Kelvin Ke Fahrenheit 4 Fahrenheit Ke Brainly Co Id
brainly.co.id

Konversi Suhu Celcius
id.scribd.com

Rumus Termometer Konversi Celcius Fahrenheit Reaumur Dan Kelvin Pengukur Suhu Pengukur Bahasa
id.pinterest.com

Rumus Fisika
www.slideshare.net

Hubungan Skala Celcius Kelvin Dan Fahrenheit Artikel Ilmu
gardaartikelsains.blogspot.com

Pengertian Kalor Jenis Rumus Dan Contoh Soal Kalor Jenis Beserta Pembahasan Lengkap Pelajaran Sekolah Online
www.pelajaran.co.id

Gobhuljwoz Fdm

Membuat Konversi Suhu Rumus Excel Belajar Office
www.belajaroffice.com

Apa Rumus Suhu Fahrenheit Ke Kelvin Brainly Co Id
brainly.co.id

Perancangan Program Aplikasi Konversi Suhu Berbasis Desktop Tugas Akhir Diajukan Untuk Memenuhi Salah Satu Syarat Kelulusan Program Diploma Iii Pdf Free Download
docplayer.info

Tabel Rumus Konversi Suhu Lengkap Dan Contoh Soal Konversi Suhu Vuiral
www.vuiral.com

P1 Ranadi Suhu
www.slideshare.net

Konversi Suhu Online Rumus Konversi Satuan Suhu Lengkap
www.zinergi.id

Daya Pengertian Rumus Lambang Dimensi Contoh Soal
www.yuksinau.id

Rumus Konversi
id.scribd.com

Rumus Konversi Suhu Gian Marco
www.gianmarco.org

Belajar Rumus Matematika Kelas 7 8 9 Kumpulan Rumus Matematika Kelas 7 8 9 Matematika Kelas 7 Teorema Pythagoras Matematika
id.pinterest.com

Cara Mengubah Celsius Menjadi Kelvin 10 Langkah Dengan Gambar
id.wikihow.com

Rumus Konversi Suhu Dan Contoh Soal Konversi Suhu
rumusrumus.com

Rumus C R F K Konversi Suhu Dari Semua Skala
rumusrumus.com

C Exercises Convert Temperature In Celsius To Kelvin W3resource
www.w3resource.com

Gian Marco Kumpulan Materi Pelajaran Sekolah Terlengkap
www.gianmarco.org

Tugas Fisika Teknik Bihar Al Anwar
www.scribd.com

Brainly Co Id 3 1 4 13 For Android Download
brainly-co-id.en.uptodown.com

Pengertian Dan Rumus Menghitung Konversi Satuan Suhu Pada Termometer Celsius Reamur Kelvin Fahrenheit Berpendidikan Com
www.berpendidikan.com

1 Kg Berapa Gram Rumus 1 Ons Berapa Gram 1kg Berapa Ons
www.dosenpendidikan.co.id

Exploring Color Writing Creativity Lighting By The Kelvin Scale
nitaleland.blogspot.com

6 Cara Untuk Mengonversi Fahrenheit Dan Celcius Wikihow
id.wikihow.com

C Exercises Convert Temperature In Kelvin To Fahrenheit W3resource
www.w3resource.com

Rumus Ipa Fisika Smp Bag 1 For Android Apk Download
apkpure.com

Rumus Konversi
id.scribd.com

Rumus Kelvin Fahrenheit Celcius Dan Reamur Brainly Co Id
brainly.co.id

Https Encrypted Tbn0 Gstatic Com Images Q Tbn 3aand9gcq7zn8n2zft7xcvoqh Kvrbnuobeuws0n0 Tdbbf3xkbc3myzg3 Usqp Cau
encrypted-tbn0.gstatic.com

Rumus Fisika
www.slideshare.net

Http Java Borneo Blogspot Com 2011 04 Konversi Suhu Celcius Fahrenheitkelvin Html

Tuliskan Rumus Rumus Suhu Yang Terdiri Dari Celcius Reamur Kelvin Fahrenheit Brainly Co Id
brainly.co.id

Covariance Formula For Population And Sample With Solved Example Questions
byjus.com

Celsius Vs Fahrenheit Vs Kelvin 2020
id.bccrwp.org

Suhu Dan Pengukurannya Asyiknya Belajar Sains
arifkristanta.wordpress.com

Rumus Konversi Suhu Pengertian Beserta Contohnya Lengkap
www.dosenpendidikan.co.id

Rumus Konversi Suhu Doc Document
fdokumen.com

6 8 Part 2 Temperature Class Java Youtube
www.youtube.com

Rumus Konversi Suhu Celcius Kelvin Dan Fahrenheit
www.gianmarco.org

Gobhuljwoz Fdm

Rumus Fisika
www.slideshare.net

Rumus Fisika Besaran Satuan Facebook
www.facebook.com

Pengertian Suhu Rumus Dan Alat Ukurnya
rumus.co.id

Suhu Pengertian Skala Satuan Rumus Konversi Pengukuran
rumusbilangan.com

3 Ways To Convert Fahrenheit To Kelvin Wikihow
www.wikihow.com

Pin Di Fisika Physics
id.pinterest.com

Cara Konversi Suhu Celcius Ke Reamur Fahrenheit Dan Kelvin Pdf Document
vdocuments.net

Pras Academy Smp Rumus Konversi Suhu Celcius Ke Reamur Ke Kelvin Ke Fahrenheit Dan Perbandingan Dua Termometer
smp.prasacademy.com

Rumus Termometer Konversi Celcius Fahrenheit Reaumur Dan Kelvin Pengukur Suhu Pengukur Bahasa
id.pinterest.com

Rumus Konversi Suhu Reamur Ke Celsius Fahrenheit Dan Kelvin
babab.net

Kumpulan Contoh Soal Konversi Satuan Suhu Celcius Reamur Fahrenheit Dan Kelvin Beserta Pembahasannya Fisikabc
www.fisikabc.com

Mengenal Termometer Sebagai Alat Ukur Suhu Rumushitung Com
rumushitung.com

Membuat Program Konversi Suhu Kazhimi S Blog
farizankazhimi.wordpress.com

Rumus C Ke K Mengubah Suhu Celcius Jadi Kelvin Rumusrumus Com
rumusrumus.com

Chiller Cooling Capacity How To Calculate The Engineering Mindset
theengineeringmindset.com

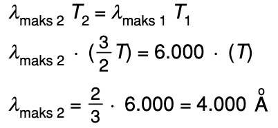
Panjang Gelombang Radiasi Maksimum Suatu Benda Pada Suhu T Kelvin Adalah 6 000 A Mas Dayat
www.masdayat.net

Rumus Konversi Suhu
dokumen.tips

Contoh Soal Konversi Skala Suhu Skala Celcius Skala Fahrenheit Skala Kelvin Gurumuda Net
gurumuda.net

Per Banding An Dan Hubungan Skala Suhu Mentok Pdf Document
vdokumen.com

Rumus Cepat Suhu Guru Ilmu Sosial
www.ilmusosial.id

Pengertian Satuan Besaran Pokok Turunan Macam Dan Contoh
www.gurupendidikan.co.id

Ranger Cakrabuana Gemppa Rumus Konversi Satuan Suhu
myranger89.blogspot.com

Ubah Kelvin Menjadi Fahrenheit Atau Celsius Kiat 2020
id.wikicell.org

Contoh Program Konversi Suhu Dengan C Kelas Programmer
kelasprogrammer.com

Jembatan Wheatstone Pengertian Fungsi Rumus Contoh Soal
rumusguru.com

Pengertian Kalor Beserta Rumus Dan Contoh Soal Pustakapengetahuan Com
www.pustakapengetahuan.com

Antoine Equation Wikipedia
en.wikipedia.org

Berikut Ini Cara Mengkonversi Suhu Dari Celcius Ke Kelvin
www.greelane.com

Suhu Dan Rumus Konversinya All About Science
saranghaechonsa.wordpress.com

Pengertian Suhu Perubahan Alat Ukur Jenis Dan Rumus
pendidikan.co.id

Program Konversi Suhu Bahasa C Berserta Source Code Kopi Coding
www.kopicoding.com

Para Pencari Ilmu Tuts Belajar Rumus Konversi Suhu
ppi-tuts.blogspot.com

Rumus Suhu Lingkungan Dari Kelvin Ke Reamur Adalahhh Brainly Co Id
brainly.co.id

Rumus C R F K Konversi Suhu Dari Semua Skala
www.utakatikotak.com

273 Kelvin Ke Reamur Brainly Co Id
brainly.co.id

How To Find A Coefficient Of Variation Statistics How To
www.statisticshowto.com

Konversi Skala Suhu Youtube
www.youtube.com

Konversi Suhu For Android Apk Download
apkpure.com

Thermal Equilibrium Definition Formula Example Video Lesson Transcript Study Com
study.com

2

Satuan Suhu Satuan Rumus Dan Contoh Konversi
kumpulanilmu.com

Https Encrypted Tbn0 Gstatic Com Images Q Tbn 3aand9gcqenbkteutrtfg1mpdooglbwbf201zzuavbpgxgbaqckhilnjch Usqp Cau
encrypted-tbn0.gstatic.com

close