Sangat Membantu

Rumus Rotasi 90 Derajat Searah Jarum Jam


Sistem Koordinat Polar Wikipedia Bahasa Indonesia Ensiklopedia Bebas
id.wikipedia.org

Rumus A 3 2 Rotasi Searah Jarum Jam 90 Brainly Co Id
brainly.co.id

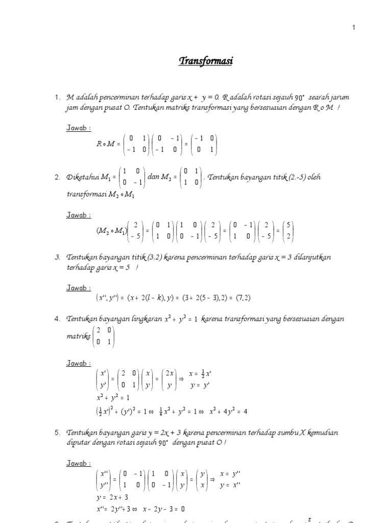
M4 Soaljawab Transformasi
id.scribd.com

Rotasi Titik Pusat O Searah Jarum Jam 270 Derajat Geogebra
www.geogebra.org

Bilangan Imajiner Contoh Soal Dan Jawaban Pinterpandai
www.pinterpandai.com

Doc Bab 4 Rotasi Febr 2014 Refisi Aziz Murtadlo Academia Edu
www.academia.edu

T 8.

Rumus rotasi 90 derajat searah jarum jam. F 2 menyebabkan batang berotasi berlawanan jarum jam sehingga t 3 positif. Jadi besar torsi di sumbu rotasi p 1 sebagai berikut. 1 sin 90.

2 sin 300 4. Rotasi titik pusat o searah jarum jam 90 derajat rotasi titik pusat o searah jarum jam 90 derajat new resources. Cara penghitungan rotasi pada transformasi geometri untuk mencari bayangan oleh suatu rotasi menggunakan rumus umum transformasi geometri yaitu.

Besarnya rotasi dalam transformasi geometri sebesar a disepakati untuk arah yang berlawanan dengan arah jalan jarum jam. A bernilai jika arah putaran berlawanan dengan arah jarum jam a bernilai jika araha putaran searah dengan arah jarum jam. T1 adalah pencerminan terhadap sumbu x sehingga memiliki matriks.

T f 1 l 1 f 2 l 2 f 3 l 3. Standing on the shoulders of giants. Rotasi dengan titik pusat ab dengan sudut putar a.

Untuk menentukan bayangan titik yang di rotasi dengan pusat 00 sejauh 90 o dapat dengan menggunakan matriks transformasi dimana o 90 o. Rotasi atau perputaran merupakan perubahan kedudukan objek dengan cara diputar melalui pusat dan sudut tertentu. Matriks disebut matriks rotasi dengan pusat di o00 dan sudut putar sebesar o radian.

Di sumbu rotasi p 1 gaya f 1 dan f 3 menyebabkan batang berotasi searah jarum jam sehingga t 1 dan t 3 negatif. Matriks transformasinya sebagai berikut. Masih ingatkah kalian rumus mencari persamaan garis yang melalui 2 titik.

Dan t2 adalah rotasi 90 derajat berlawanan arah jarum jam sehingga memiliki matriks. Jika arah perputaran rotasi suatu benda searah dengan jarum jam maka sudut yang dibentuk adalah a. Jika sobat punya sebuah titik xy yang diputar sebesar a derajat dengant titik pusat p ab maka.

Rotasi dinyatakan positif jika arahnya berlawanan jarum jam dan bernilai negatif jika searah jarum jam. Artinya rotasi dengan pusat ab 2 3 dan searah jarum jam dengan sudut sebesar 90circ nilai theta 90circ. Secara matriks dapat ditulis sebagai.

Rotasi atau perputaran merupakan transformasi geometri berupa pergeseran atau pemindahan semua titik pada bidang geometri sepanjang busur lingkaran yang memiliki titik pusat lingkaran sebagai titik rotasi. T t 1 t 2 t 3.

Yuk Bahasa Secara Mendalam Tentang Trigonometri Tambah Pinter
tambahpinter.com

Http Jurnal Unswagati Ac Id Index Php Jnpm Article Viewfile 1744 1467

Rotasi
www.emaze.com

Katalog Media Bpmpk
m-edukasi.kemdikbud.go.id

Katalog Media Bpmpk
m-edukasi.kemdikbud.go.id

Lebih Mengenal Transformasi Geometri Rumus Matematika
rumus-matematika.com

Uncategorized Math Learning
mathlearning967335280.wordpress.com

Https Jurnal Umj Ac Id Index Php Fbc Article Download 2093 2017

Katalog Media Bpmpk
m-edukasi.kemdikbud.go.id

Rotasi Geometri Transformasi
www.slideshare.net

Pdf Studi Tentang Konsep Konsep Transformasi Geometri Pada Kain Besurek Bengkulu
www.researchgate.net

Https Core Ac Uk Download Pdf 158626225 Pdf

Rumus Rotasi 180 Derajat Berlawanan Arah Jarum Jam The Best Nude Bikini Images
dvdcdplayerbestprice.blogspot.com

F8auhatumg6zgm

Rotasi Pada Transformasi Geometri Konsep Matematika Koma
www.konsep-matematika.com

Soal Dilatasi Dan Rotasi Titik Un Smk Akuntansi Dan Pemasaran 2018 Youtube
www.youtube.com

Rotasikan Segitiga Jkl Dengan Sudut Rotasi 90 Searah Jarum Jam Dengan Pusat Rotasi Titik Asal Brainly Co Id
brainly.co.id

Diketahui Segitiga Rst Dengan Koordinat Titik Sudut Di R 3 6 S 5 2 Dan T 3 3 Gambar Brainly Co Id
brainly.co.id

Titik P 3 1 Dirotasikan Terhadap Titik O 0 0 Sejauh 90 Berlawanan Arah Putaran Jam Bayangan Brainly Co Id
brainly.co.id

2

Transformasi Geometri Rotasi Jawaban Soal Sma Tvri 14 Mei 2020 Halaman All Kompas Com
www.kompas.com

Katalog Media Bpmpk
m-edukasi.kemdikbud.go.id

Bab 3 Bab 3 Operasi Dasar Pengolahan Citra 3 1 Tujuan Intruksional Khusus Setelah Menyelesaikan Materi Ini Diharapkan Mahasiswa Mampu Menjelaskan Dan Course Hero
www.coursehero.com

Gambar Bayangan Hasil Rotasi Bangun Datar Tersebut Terhadap Titik P Dengam Sudut Rotasi Yang Brainly Co Id
brainly.co.id

Contoh Soal Torsi Dan Penyelesaiannya Soalfismat Com
soalfismat.com

Http Digilib Uin Suka Ac Id 22516 1 12600027 Bab I Iv Atau V Daftar Pustaka Pdf

Contoh Soal Transformasi Geometri Rotasi Searah Jarum Jam
contohsoal.netlify.app

Soal Dan Pembahasan Super Lengkap Transformasi Geometri Mathcyber1997
mathcyber1997.com

Doc Rotasi Transformasi Geometri Taufik Akbar Firmansyah Academia Edu
www.academia.edu

Rumus Transformasi Geometri
rumushitung.com

Pembuktian Rumus Transformasi Rotasi
maths.id

Transformasi Rotasi Persamaan Garis
maths.id

Simetri Putar Bangun Datar Rumushitung Com
rumushitung.com

Transformasi Rotasi Persamaan Garis Cute766
cute766.info

Mathematics Terms For Junior High School Rotasi Perputaran
jacksperokendal.blogspot.com

Transformasi Geometri Pengertian Jenis Rumus Dan C
www.seputarpengetahuan.co.id

Bayangan Garis 2x 3y 5 0 Oleh Rotasi Dengan Pusat O 0 0 Sebesar 90 Derajat Berlawanan Arah Brainly Co Id
brainly.co.id

Transformasi
www.slideshare.net

Contoh Soal Transformasi Geometri Translasi Refleksi Rotasi Dilatasi
soalkimia.com

Modul Transformasi
www.slideshare.net

Azimut Wikipedia Bahasa Indonesia Ensiklopedia Bebas
id.wikipedia.org

Osn All Catatan Olimpiade Informatika
studylibid.com

Transformasi Geometri Translasi Refleksi Rotasi Dilatasi Idschool
idschool.net

Balasan Dari Problem Solving Tempat Bertanya Pr Kaskuser Sd Smp Sma Part 3 Kaskus
www.kaskus.co.id

Transformasi Geometri Rotasi Berbantuan Software Geogebra Pdf Download Gratis
docplayer.info

Materi Matematika Kelas Xi Semester 2 Bab V Transformasi
tomyherawansman48jkt.blogspot.com

Rotasi Titik Pusat O Searah Jarum Jam 90 Derajat Geogebra
www.geogebra.org

Rotasi 90 Derajat Searah Jarum Jam Dan Berlawanan Arah Jarum Jam Jangan Lupa Disubscribe Youtube
www.youtube.com

Doc Bab 18 Transformasi Geometri Fixs Atsnan Fajar Academia Edu
www.academia.edu

Materi Arus Dan Tegangan Listrik Bolak Balik
fisikakontekstual.com

Http Digilib Uin Suka Ac Id 22516 1 12600027 Bab I Iv Atau V Daftar Pustaka Pdf

Transformasi Geometri Translasi Refleksi Rotasi Dilatasi Idschool
idschool.net

Rotasi Titik Pusat O Searah Jarum Jam 180 Derajat Geogebra
www.geogebra.org

Operasi Dasar Pengolahan Citra Ppt Download
slideplayer.info

Transformasi Geometri Translasi Refleksi Rotasi Dilatasi Idschool
idschool.net

Materi Arus Dan Tegangan Listrik Bolak Balik
fisikakontekstual.com

Transformasi Geometri Translasi Rotasi Dilatasi Rumus Contoh Soal
www.studiobelajar.com

Katalog Media Bpmpk
m-edukasi.kemdikbud.go.id

Mtk
id.scribd.com

Lengkap Kunci Jawaban Buku Paket Matematika Uji Kopetensi 3 Halaman 191 192 193 194 195 196 197 198 Kelas 9 Kurikulum 2013 Jawaban Buku Paket
www.jawabanbukupaket.com

Bayangan Garis 3x 5 Y 8 0 Setelah Diputar Sejauh 90 Berlawanan Arah Jarum Jam Dengan Pusat Brainly Co Id
brainly.co.id

Segitiga Bola Dan Arah Kiblat Pdf Free Download
docplayer.info

Ukuran Sudut Derajat Radian Putaran Edumatik Net
edumatik.net

Transformasi Geometri Mathematic Education
rizkanandafebriani.wordpress.com

Http Jurnal Unswagati Ac Id Index Php Jnpm Article Viewfile 1744 1467

Http Repository Uinjkt Ac Id Dspace Bitstream 123456789 47947 1 Ticha 20putri 20solicha Fitk

Modul Transformasi
www.slideshare.net

Makalah Geometri Transformasi Docx
id.scribd.com

Soal Dan Pembahasan Rotasi Perputaran Dengan Matriks Ilmuku Duniaku
ilmuku-duniaku14.blogspot.com

Segiempat Pqrs Berkoordinat Di P 2 2 Q 4 1 R 4 3 S 2 4 Gambarlah Bayangan Pqrs Pd Rotasi Brainly Co Id
brainly.co.id

Geometri Translasi Vi C Pagi Fix Docx
id.scribd.com

Transformasi Geometri Translasi Refleksi Rotasi Dilatasi Idschool
idschool.net

Jika Persamaan Garis Bayangan 3x 2y 3 0 Akibat Dirotasi Dg Pusat P 2 1 Dan Sudut 90 Derajat Searah Brainly Co Id
brainly.co.id

Transformasi Geometri Untuk Sma Kelas Xii Ipa
id.scribd.com

2

Tugas Matematika Ketut Docx Tugas Matematika U201ctransformasi Geometri Refleksi Dan Rotasi U201d Oleh Ni Ketut Artini 24 Xii Pmia 5 Sekolah Menengah Atas Course Hero
www.coursehero.com

Ukuran Sudut Derajat Radian Putaran Edumatik Net
edumatik.net

Transformasi Geometri Translasi Rotasi Dilatasi Rumus Contoh Soal
www.studiobelajar.com

Workshop Manual Ford Ranger Everest 2500 Cc Nl2p9j8r7m08
doku.pub

Transformasi Geometri Mathematic Education
rizkanandafebriani.wordpress.com

Katalog Media Bpmpk
m-edukasi.kemdikbud.go.id

Matriks Transformasi Geometri Smatika
smatika.blogspot.com

Geometri Transformasi
www.slideshare.net

Materi Arus Dan Tegangan Listrik Bolak Balik
fisikakontekstual.com

Transformasi Geometri Translasi Refleksi Rotasi Dilatasi Idschool
idschool.net

Transformasi Geometri Translasi Rotasi Dilatasi Rumus Contoh Soal
www.studiobelajar.com

Berapa Derajat Sudut 1 4 Putaran 1 2 Putaran 3 4 Putaran Dan A B Putaran Ukuran Dan Satuan
ukurandansatuan.com

Gambar Bayangan Hasil Rotasi Bangun Datar Tersebut Terhadap Titik P Dengam Sudut Rotasi Yang Brainly Co Id
brainly.co.id

Pin Di Matematika
www.pinterest.com

Presentasi Pada Bidang Astronomi Langit Pelajaran Koordinat Langit
nt-csm.ru

Memutar Gambar Dan Objek Pada Halaman Di Onenote Onenote
support.microsoft.com

Rotasi Transformasi Geometri
www.slideshare.net

Transformasi Geometri Translasi Rotasi Dilatasi Rumus Contoh Soal
www.studiobelajar.com

Http Repository Its Ac Id 48745 1 2412201021 Master Thesis Pdf

close