Sangat Membantu

Rumus Struktur Dari Isooktana Adalah


Proses Pembentukan Minyak Bumi Ppt Download
slideplayer.info

Bensin Dan Bilangan Oktan Kimia
www.slideshare.net

Soal Hidrokarbon
www.slideshare.net

Ada Yg Bisa Membantu Brainly Co Id
brainly.co.id

Bagaimana Cara Mencari Bilangan Oktan Pada Bensin Brainly Co Id
brainly.co.id

Belajar Kimia Dengan Praktis Hidrokarbon Dan Alkana
basukitry.blogspot.com

Bentuk struktur bagian ini memiliki sayatan melintang pada dikotil maupun monokotil.

Rumus struktur dari isooktana adalah. Massa atom isotop soal. Jadi rumus kimia dari bensin sebenarnya tidak ada karena yang namanya bensin bukan merupakan suatu senyawa tetapi terdiri dari dua atau lebih senyawa karbon yang dicampur. Bensin adalah salah satu bahan bakar minyak yang paling banyak dikonsumsi di dunia.

Selamat malam sobat hitung kali ini kita akan belajar kimia tentang struktur lewis. Sama seperti hidrokarbon suku rendah lainnya oktana. Untuk lebih jelasnya marilah kita simak penjelasan dalam artikel kami berikut ini.

Bahan bakar ini adalah sejenis campuran bukan senyawa. Struktur lewis adalah salah satu alternatif untuk menggambarkan bagaiman susunan atom atom dalam suatu senyawa yang didalmanya tergambar susunan elektron berikut inti atomnya. Rumus struktur atau rumus bangun suatu senyawa dapat ditulis dengan melihat rumus molekulnya.

Bilangan oktan atau disebut juga octane number merupakan ukuran dari kemampuan bahan bakar untuk mengatasi ketukan sewaktu terbakar dalam bensin. Oktana adalah senyawa hidrokarbon jenis alkana dengan rumus kimia c 8 h 18oktana mempunyai banyak jenis isomer struktur yang perbedaannya terletak pada jumlah dan lokasi percabangan dari rantai karbonnya. Struktur atom adalah unit dasar materi yang terdiri dari inti atom awan elektron yang bermuatan negatif di sekelilingnya.

Buat sobat yang sudah duduk di kelas xii sma jurusan ipa pasti akan mempelajari materi ini. Nilai bilangan 0 ditetapkan sebagai untuk n heptana yang sngat mudah terbakar dan nilai 100 untuk isooktana yang tidak mudah terbakar. Campuran pada bensin bukan campuran sederhana seperti pada air.

Halo sobat berjumpa lagi dengan artikel kami rumuscoid pada pembahasan kali ini kami akan sedikit mengulas tentang kromosom meliputi pengertian struktur jenis bentuk dan fungsi kromosom yang akan dibahas secara detail. Adapun beberapa bagian yang dari luar kedalam diantaranya adalah. Dan juga di lengkapi dengan gambar untuk artikel terbaru.

Epidermis akar kulit luar bagian ini adalah bagian pada lapisan akar luar yang memiliki susunan lapisan sel tersusun sangat rapi. Namun tidak banyak orang yang mengetahui sebenarnya apa itu kromosom. By angga murjana posted on 13032020.

Rumus oktana bilangan oktan. 224 trimetilpentana juga dikenal sebagai isooktana adalah senyawa organik dengan rumus kimia ch 3 3 cch 2 chch 3 2senyawa ini merupakan salah satu isomer dari oktana c 8 h 18senyawa ini digunakan sebagai standar untuk 100 poin pada penghitungan bilangan oktan 0 poin adalah n heptanamerupakan senyawa utama pada bensin proporsinya yang semakin besar akan meningkatkan kualitas. Rumus struktur oktana dan bilangan oktan.

Selamat Datang Tata Nama Senyawa Alkana
rahmalitatiariputri.blogspot.com

Soal Un Kimia 2016 Skl 4
studylibid.com

Tutorial Menjawab Soal Tentang Minyak Bumi Dan Gas Alam Your Chemistry A
www.avkimia.com

Search Q Octane Tbm Isch

Https Encrypted Tbn0 Gstatic Com Images Q Tbn 3aand9gcqodsofvqdgrknxyqftbmnau3mrixo6xqeimqqi9ne Bmdhiuon Usqp Cau
encrypted-tbn0.gstatic.com

Kimia Kelas 11 Jangan Asal Isi Bensin Sesuaikan Bilangan Oktan Dengan Kompresi Sepeda Motor
blog.ruangguru.com

Media Pembelajaran Elektronik
www.slideshare.net

Shintiaputriamalia Berbagi Ilmu Kimia
shintiaputriamalia.wordpress.com

Bensin Dan Bilangan Oktan Kimia
www.slideshare.net

By Puspita Handayani Fraksi Minyak Bumi Dan Mutu Bensin Ppt Download
slideplayer.info

Kimia Kelas X Komunitas Kimia Sma
esdikimia.wordpress.com

Hidrokarbon N Minyak Bumi Doc
pdfslide.net

Kenapa Bensin Punya Nomor Oktan
blog.ruangguru.com

2 2 4 Trimetilpentana Wikipedia Bahasa Indonesia Ensiklopedia Bebas
id.wikipedia.org

Alkana Alkena Dan Alkuna Bab Ix Siap Belajar
www.yumpu.com

Soal Uh Doc
id.scribd.com

40 Soal Hidrokarbon Pilihan Ganda Dan Jawaban Pembahasan
soalkimia.com

Rumus Struktur Oktana Dan Bilangan Oktan
rumusrumus.com

Buku Kimia Hidrokarbon Simli
www.yumpu.com

Pengembangan Media Pembelajaran Kimia Berbasis Android Pada Materi Senyawa Hidrokarbon Dan Minyak Bumi Untuk Peserta Didik Sma Ma Kelas Xi Skripsi Pdf Download Gratis
docplayer.info

Komponen Utama Minyak Bumi Dan Gas Alam Alkana Sikloalkana Aromatik Senyawa Kimia
www.nafiun.com

Uh Hidrokarbon Tipe A
id.scribd.com

2 2 4 Trimetilpentana Wikiwand
www.wikiwand.com

Rangkuman Komponen Dan Komposisi Minyak Bumi Secara Umum
zuniyahya.com

Soal Hidrokarbon Doc Senyawa Hidrokarbon Minyak Bumi 1 Gas Asitilen Termasuk Deret Homolog A Alkana B Alkena C Alkuna D Alka Diena E Siklo Alkana 2 Course Hero
www.coursehero.com

Alkana Wikipedia Bahasa Indonesia Ensiklopedia Bebas
id.wikipedia.org

Minyak Bumi Ega Yoza
egayoza.wordpress.com

Doc 1 Docx Mr Byone Nickname Academia Edu
www.academia.edu

7 Hidrokarbon Dan Minyak Bumi
www.slideshare.net

Kunci Jawaban Pr Kimia 11
id.scribd.com

Http Repo Darmajaya Ac Id 1311 5 12 20bab 20iv Pdf

Enormous Energy Dibalik Minyak Bumi Struktur Hidrokarbon Candu Ekonomi Dunia
energy-techno.blogspot.com

E16wz4xkpgdpwm

Hidrokarbon Dan Minyak Bumi Romiyafadila
romiyafadila.wordpress.com

Minyak Bumi Dan Gas Alam
www.slideshare.net

Komposisi Minyak Bumi Materi Lengkap Hedi Sasrawan
hedisasrawan.blogspot.com

Minyak Bumi Proses Pembentukan Pengolahan Fraksi Manfaat
www.studiobelajar.com

Heptana Wikipedia Bahasa Indonesia Ensiklopedia Bebas
id.wikipedia.org

Http Temanbelajar Id Assets Collections Content Kimia 11 1 Hidrokarbon Dan Minyak Bumi Pdf

Apa Angka Oktan Itu Taufiqur Rokhman
taufiqurrokhman.wordpress.com

Ummul Khairat E1m008027 Pdf Document
fdokumen.com

Pdf Hidrokarbon Dan Minyak Bumi Yeni Ratnasari Academia Edu
www.academia.edu

Http Temanbelajar Id Assets Collections Content Kimia 11 1 Hidrokarbon Dan Minyak Bumi Pdf

Hidrokarbon Dan Minyak Bumi Romiyafadila
romiyafadila.wordpress.com

4 Bensin Zonalia Kimia Pasca Unp
zonaliakimiapasca.wordpress.com

Rumus Struktur Oktana Dan Bilangan Oktan
rumusrumus.com

Https Core Ac Uk Download Pdf 293475092 Pdf

Rpp Hidrokarbon Amp Minyak Bumi
www.slideshare.net

Materi Kimia Kelas Xi Semester Gasal Smk Ma Arif 1 Kebumen 1
studylibid.com

Hidrokarbon Dan Minyak Bumi
www.slideshare.net

Hidrokarbon Dan Minyak Bumi
www.slideshare.net

40 Soal Hidrokarbon Pilihan Ganda Dan Jawaban Pembahasan
soalkimia.com

Bensin Premium Dengan Kadar Oktan 80 Memiliki Komposisia A 20 N Heptana Dan 80 Course Hero
www.coursehero.com

Soal Hidrokarbon Key Key Pdf
www.yumpu.com

Rpp Hidrokarbon Amp Minyak Bumi
www.slideshare.net

7 Hidrokarbon Dan Minyak Bumi
www.slideshare.net

Rumus Struktur Iso Oktana Matidodo Ml
matidodo.ml

Soal Uh Doc
id.scribd.com

Doc Soal 1 1 Dewi Wulandari Academia Edu
www.academia.edu

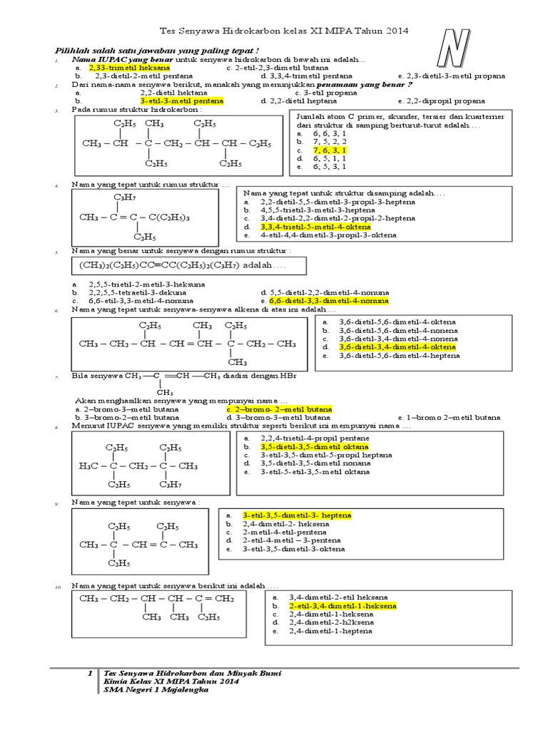
Kunci Tes Senyawa Hidrokarbon Kelas Xi Mipa Tahun 2014 Doc Document
fdokumen.site

Contoh Soal Dan Pembahasan Uas Kimia Kelas 11 Semester 1 Chemistry Is Fun
chemistryisfun87.blogspot.com

Alkana Wikiwand
www.wikiwand.com

Tutorial Menjawab Soal Tentang Minyak Bumi Dan Gas Alam Your Chemistry A
www.avkimia.com

Tolong Bantu Kimia Saya Kak Bang Jawab Pake Caranya Dari No 6 Dan 7 Terimakasi Brainly Co Id
brainly.co.id

Soal Uh Hidrokarbon
id.scribd.com

Soal Latihan Hidrokarbon
id.scribd.com

1 Alkana Pdf Document
fdokumen.com

Bensin Sebagai Bahan Bakar
www.kokim.konsep-matematika.com

Rumus Struktur Isooktana Adalah Brainly Co Id
brainly.co.id

Rumus Struktur Iso Oktana Matidodo Ml
matidodo.ml

Rpp Hidrokarbon Amp Minyak Bumi
www.slideshare.net

Oktana Wikiwand
www.wikiwand.com

Alkana Wikiwand
www.wikiwand.com

Soal Hidrokarbon
www.slideshare.net

Komponen Utama Minyak Bumi Dan Gas Alam Alkana Sikloalkana Aromatik Senyawa Kimia
www.nafiun.com

Proxsis Surabayaproses Konversi Pada Fraksi Minyak Bumi
surabaya.proxsisgroup.com

40 Soal Hidrokarbon Pilihan Ganda Dan Jawaban Pembahasan
soalkimia.com

Kumpulan Soal Hidrokarbon Minyak Bumi
id.scribd.com

Isopentana Wikipedia Bahasa Indonesia Ensiklopedia Bebas
id.wikipedia.org

Kunci Jawaban Pr Kimia 11 Pdf Document
fdokumen.com

Geologi Mania Minyak Bumi Dan Produk Produknya
geologimania.blogspot.com

Cara Mudah Menentukan Nama Iupac Alkana Latihan Hidrokarbon Part 4 Kimia Sma Youtube
m.youtube.com

B Teori Anisa Wiranda138
sites.google.com

01 Kunci Kimia 11a K 13 Edisi 2017
studylibid.com

7 Hidrokarbon Dan Minyak Bumi
www.yumpu.com

Soal Hots
id.scribd.com

Soal Hidrokarbon
www.slideshare.net

Kimia Kelas 1 Semester 1c
id.scribd.com

Minyak Bumi Proses Pembentukan Pengolahan Fraksi Manfaat
www.studiobelajar.com

Materi Kimia Kelas X Bensin
www.slideshare.net

Tolong Gambarkan Struktur Senyawa Isomer C8h18 Brainly Co Id
brainly.co.id

Tugas Kelas X 8 Dikerjakan Di Kertas Guru Indonesia
www.yumpu.com

Kunci Tes Senyawa Hidrokarbon Kelas Xi Mipa Tahun 2014 Kode N Doc
id.scribd.com

Cara Mudah Menentukan Nama Iupac Alkana Latihan Hidrokarbon Part 4 Kimia Sma Youtube
m.youtube.com

Belajar Kimia Dengan Praktis Hidrokarbon Dan Alkana
basukitry.blogspot.com

B Teori Anisa Wiranda138
sites.google.com

close